万千商家帮你免费找货
0 人在求购买到急需产品
- 详细信息
- 文献和实验
- 技术资料
- 库存:
577
- 英文名:
Tetracycline Hydrochloride
- CAS号:
64-75-5
- 保质期:
长期
- 供应商:
北京百奥莱博科技有限公司
- 保存条件:
2-8℃
特别声明:本产品及我公司所售其他产品均为科研类试剂产品,严禁用于药物、医疗及其他非科研用途。
百奥莱博公司致力于为全国科研单位提供药典标准品、对照品、标准溶液、标准样品、对照培养基、国家标准品等可靠标准物质,其中盐*(代"酸")四环素对照品优惠促销的品质过硬,在广大科研人员中有口皆碑!
名称:盐*(代"酸")四环素对照品优惠促销
英文名:Tetracycline Hydrochloride
产地:国产|进口
品牌:百奥莱博
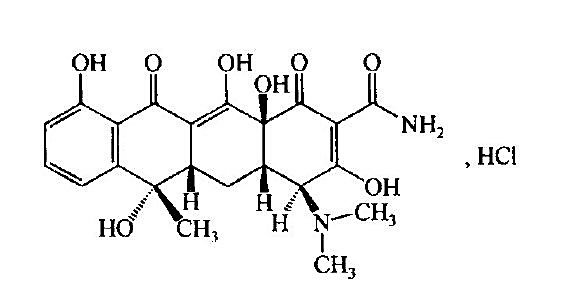
本品为盐*(代"酸")四环素化学对照品,供HPLC法含量测定用,以C22H24N2O8·HCl计,含量为98.4%,使用前不需干燥处理。
CAS号:64-75-5
分子式:C22H24N2O8·HCl
分子量:480.90
结构式:

包装:棕色安瓿
规格:200mg/支
储存条件:2-8℃避光保存
欲咨询购买盐*(代"酸")四环素对照品优惠促销,请致电北京百奥莱博科技有限公司,为您提供最全面周到的产品服务,除此之外,我公司正在促销以下产品:
·路路通酸
编号:BP1327
英文名称:Liquidambaric acid
规格:约20mg/支
本品为路路通酸化学对照品,供鉴别和含量测定用,含量以96.8%计,使用前不需干燥处理。
CAS号:4481-62-3
分子式:C30H46O3
分子量:454.68
结构式:

包装:棕色安瓿
规格:约20mg/支
储存条件:冷处(2-10℃)保存
·邻*二甲*(代"酸")二正辛酯
编号:BP2181
英文名称:Dioctyl Phthalate
规格:1ml
本品为邻*二甲*(代"酸")二正辛酯化学对照品,供GC法含量测定用,按C24H38O4计,含量为98.7%,使用前不需干燥处理。
CAS号:117-84-0
分子式:C24H38O4
分子量:390.56
结构式:

包装及装量:棕色安瓿瓶装,每支约 1毫升。
储存条件:遮光,密封保存。
·蒿甲醚
编号:BP0217
英文名称:Artemether
规格:100mg
本品为蒿甲醚的化学对照品,五氧化二磷减压干燥器干燥24小时后使用。以C16H26O5计,供HPLC法测定,含量为99.7%。供UV法测定,含量为100.0%。
分子式:C16H26O5
结构式:

分子量:298.37
CAS号:71963-77-4
包装:棕色安瓿瓶。
规格:约100毫克/支。
储存条件:遮光,10-20℃密闭保存。
盐*(代"酸")四环素对照品优惠促销关键词:Tetracycline Hydrochloride,盐*(代"酸")四环素,64-75-5
我公司竭诚为广大科研用户提供最全面,最优质,价格最具优势的盐*(代"酸")四环素,免费为您提供全程技术指导,解决您的后顾之忧。公司供应各种高品质科研试剂及各种规格包装定制,如有所需请联*(代"系")我们。
ARB12068 大鼠巨噬细胞替代激活相关化学因子1(AmAC-1)免费代测 Rat alternative macrophage activation-associated cc chemokine 1,amac-1 ELISA KIT
ARB12654 大鼠催乳素(PRL)Elisa分析 Rat prolactin,prl ELISA KIT
BTN100812 BLOTTO溶液 BLOTTO Solution
BTN100502 高效E.coli感受态细胞制备试剂盒 High Efficiency E.coli Competent Cell Preparation Kit
PY04-071 柠檬酸铁铵 0.1125g/支×10支 每支添加于225mlFraser增菌液中制成FraserⅠ培养基,用于李斯特氏菌选择性增菌培养
5-鸟苷一磷酸二*盐 H-Phe-OMe?HCl 5550-12-9
BTN120690 红霉素溶液 Erythromycin Solution
M0108 胶体金标记物保存稀释液
全血丙*(代"酮")酸检测试剂盒(乳酸脱*酶比色法) 50T
β-丙内酯 IPC-TBA-HS 57-57-8
ARB10595 人血小板衍化生长因子BB(PDGF-BB)含量测试 Human platelet-derived growth factor-bb,pdgf-bb ELISA KIT
Hoechst33342/PI细胞凋亡染色试剂盒 100T
ARB13507 鱼卵黄高磷蛋白(PV)含量检测 Fish pv ELISA KIT
硬脂酸* Potassium titanyl oxalate dihydrate 822-16-2
ARB12206 大鼠丝*酸/苏*酸蛋白*(代"磷")酸酶(STK)elisa测定使用说明书 reat serine/threonine protein kinase,stk ELISA KIT
PY02-159 麦芽浸膏汤 250克
BL0810 HRP标记羊抗人白蛋白抗体
A3308-22 驴血清 100ml|500ml
盐*(代"酸")四环素对照品优惠促销关键词:Tetracycline Hydrochloride,盐*(代"酸")四环素,64-75-5
我公司是一家集研发、销*(代"售")、实验室技术服务于一体的高科技企业。 多年来一直处于行业前沿。我们专业经营培养基、生化试剂、盐*(代"酸")四环素、进口ELISA试剂盒、化工产品、实验室消耗品、实验室耗材以及实验室器材。产品涉及分子生物学、细胞生物学、细菌学、遗传学、免疫学、生物化学、蛋白质学、细胞治疗等领域。
·银杏内酯C
编号:BP1140
英文名称:Ginkgolide C
规格:约20mg/支
本品为银杏内酯C化学对照品,供鉴别或含量测定用,含量以99.8%计,使用前不需干燥处理。
CAS号:15291-76-6
分子式:C20H24O11
分子量:440.40
结构式:

包装:棕色安瓿瓶
装量:约20mg/支
储存条件:冷冻保存
·3-甲基黄酮-8-羧酸
编号:BP0722
英文名称:3-methylflavone-8-carboxylic acid
规格:100mg
本品为银杏内酯C化学对照品,供鉴别或含量测定用,含量以99.8%计,使用前不需干燥处理。
CAS号:15291-76-6
分子式:C20H24O11
分子量:440.40
结构式:

包装:棕色安瓿瓶
装量:约20mg/支
储存条件:冷冻保存
·阿拉伯糖
编号:BP1172
英文名称:Arabinose
规格:30mg
本品为银杏内酯C化学对照品,供鉴别或含量测定用,含量以99.8%计,使用前不需干燥处理。
CAS号:15291-76-6
分子式:C20H24O11
分子量:440.40
结构式:

包装:棕色安瓿瓶
装量:约20mg/支
储存条件:冷冻保存
·盐*(代"酸")塞利洛尔
编号:BP0617
英文名称:Celiprolol Hydrochloride
规格:100mg
本品为银杏内酯C化学对照品,供鉴别或含量测定用,含量以99.8%计,使用前不需干燥处理。
CAS号:15291-76-6
分子式:C20H24O11
分子量:440.40
结构式:

包装:棕色安瓿瓶
装量:约20mg/支
储存条件:冷冻保存
·*鲁米特
编号:BP0220
英文名称:Aminoglutethimide
规格:50mg
本品为银杏内酯C化学对照品,供鉴别或含量测定用,含量以99.8%计,使用前不需干燥处理。
CAS号:15291-76-6
分子式:C20H24O11
分子量:440.40
结构式:

包装:棕色安瓿瓶
装量:约20mg/支
储存条件:冷冻保存
·3,5-二*基-6-*吡嗪-2-羧酸甲酯
编号:BP0248
英文名称:3,5-diamino-6-chloropyrazine-2-carboxylic-methyl ester
规格:50mg
本品为银杏内酯C化学对照品,供鉴别或含量测定用,含量以99.8%计,使用前不需干燥处理。
CAS号:15291-76-6
分子式:C20H24O11
分子量:440.40
结构式:

包装:棕色安瓿瓶
装量:约20mg/支
储存条件:冷冻保存
·*碘羟喹
编号:BP0260
英文名称:Clioquinol
规格:100mg
本品为银杏内酯C化学对照品,供鉴别或含量测定用,含量以99.8%计,使用前不需干燥处理。
CAS号:15291-76-6
分子式:C20H24O11
分子量:440.40
结构式:

包装:棕色安瓿瓶
装量:约20mg/支
储存条件:冷冻保存
·山柰素(山柰酚)
编号:BP1137
英文名称:Kaempferol
规格:20mg/支
本品为山柰素(山柰酚)化学对照品,供鉴别或含量测定用,含量以95.5%计,使用前不需干燥处理。
CAS号:520-18-3
分子式:C15H10O6
分子量:286.23
结构式:

包装:棕色安瓿瓶
规格:约20mg/支
储存条件:冷处(2-10℃)保存
·碘海醇杂质Ⅰ
编号:BP0761
英文名称:Iohexol related Compound I
规格:50mg
本品为山柰素(山柰酚)化学对照品,供鉴别或含量测定用,含量以95.5%计,使用前不需干燥处理。
CAS号:520-18-3
分子式:C15H10O6
分子量:286.23
结构式:

包装:棕色安瓿瓶
规格:约20mg/支
储存条件:冷处(2-10℃)保存
·3-羟基巴戟醌(暂行)
编号:BP1495
英文名称:3-Hydroxymorindone
规格:20mg
本品为3-羟基巴戟醌化学对照品,供鉴别和含量测定用,含量以93.7%计。
分子式:C15H10O6
分子量:286.24
结构式:

包装及装量:棕色安瓿瓶,约20mg/支
储存条件:常温干燥、密闭遮光保存。
注意事项:使用前无需处理。本品有引湿性,打开包装后一次使用完毕。
本公司免费技术支持,由专业的技术人员和销*(代"售")人员为科研用户提供全面的技术支持和完善的售前、售中、售后服务。百奥莱博暑期大促,凡够买我司各种生物试剂、抗体、ELISA试剂盒、抗原、血清、血浆、盐*(代"酸")四环素、脱纤维血、抗凝血、裂解血、分子生物学试剂、培养基等优质试剂,均可享受超低会员价,各种高品质科研试剂及各种规格包装均可定制,如有需要请联*(代"系")我们。
北京百莱博科技有限公司专业生产供应销*(代"售")生物试剂、化学试剂、抗原抗体、血清血浆、Elisa试剂盒,更多试剂产品需求,欢迎来电咨询选购盐*(代"酸")四环素对照品优惠促销。
风险提示:丁香通仅作为第三方平台,为商家信息发布提供平台空间。用户咨询产品时请注意保护个人信息及财产安全,合理判断,谨慎选购商品,商家和用户对交易行为负责。对于医疗器械类产品,请先查证核实企业经营资质和医疗器械产品注册证情况。
文献和实验【信息】【新年促销】德国IBL儿茶酚胺类ELISA试剂盒优惠大促销 5.5~7.5折优惠
德国IBL国际有限公司是一家有着近30年经验的专业医疗诊断试剂研发制造商,其产品均已经通过ISO9001、ISO13485和欧洲CE认证,并且通过了美国FDA的认证。公司产品系列包括生物胺系列、传染病系列、新生儿筛查系列及不孕系列等ELISA产品及放免产品。深圳市科润达生物工程有限公司,为德国IBL公司中国(含港澳地区)独家代理商!现我公司推出德国IBL儿茶酚胺/生物胺类检测试剂优惠大促销活动,即日起,通过深圳科润达生物购买德国IBL儿茶酚胺/生物胺类产品,即可获得5~7.5折优惠! 活动时间
至010-80485460或E-mail至 liuyu@genomics.cn。010-80485460或E-mail至liuyu@genomics.cn。培训费用:全程培训(讲座+实验): 3500元/人,学生为 2900元/人。 注:学生报到请带学生证培训费用包含会务费、资料费、餐费。培训期间公司协助安排住宿,费用自理。 三、相关促销政策 参加本届培训班的学员可以享受公司提供的常规技术服务八折优惠。优惠有效时间2013.10.17-2013.12.31 四、汇款信息 账号
【原创】Lipofectamine? 2000 promega
试剂,由专利配方的脂质体和组蛋白混合物,溶在80%的酒精中。适用于在各种不同构建类型的细胞中转染TrueClone®/TrueORF®克隆 (基因过表达) 以及 HuSH-29® (用于基因沉默的shRNA)。 性能优越: 与FuGENE®6 相媲美的高转染效率和低毒性 应用广泛: 使用TurboFectin 8.0 已经成功转染超过100种细胞系及原代细胞类型 价格优惠: 比FuGENE®价格便宜 了解
技术资料暂无技术资料 索取技术资料









