相关产品推荐更多 >
万千商家帮你免费找货
0 人在求购买到急需产品
- 详细信息
- 文献和实验
- 技术资料
- 保存条件:
冷藏
- 保质期:
长期
- 英文名:
Cefoperazone S isomer
- 库存:
231
- 供应商:
北京百奥莱博科技有限公司
特别声明:本产品及我公司所售其他产品均为科研类试剂产品,严禁用于药物、医疗及其他非科研用途。
头孢哌酮S异构体标准品促销的品牌:百奥莱博,是优质的标准品对照品产品,用于科研实验,本产品质量好,且极具价格优势,深为用户称道,了解更多头孢哌酮S异构体等标准品对照品产品请联系我司咨询订购。
名称:头孢哌酮S异构体标准品促销
产地:国产|进口
编号:BP1598
英文名:Cefoperazone S isomer
规格:50mg
本品为头孢哌酮S异构体标准品,供头孢哌酮及头孢哌酮*品种系统适用性试验用。
使用方法:精密称取本品适量,按相关质量标准的规定,溶解并稀释至所需浓度的溶液,立即使用
储存条件:置5℃以下低温避光保存。开启安瓿后严密保持干燥,以防吸水。
注意事项:使用前不需干燥处理。
头孢哌酮S异构体标准品促销极具性价比,此外,我公司正火爆促销以下产品:
·丹蒽醌
编号:BP0314
规格:100mg
·盐*(代"酸")*海拉明
编号:BP0057
英文名称:Diphenhydramine Hydrochloride
规格:100mg
本品为盐*(代"酸")*海拉明(Diphenhydramine Hydrochloride) 的化学对照品,供HPLC法测定,按C17H21NO·HCl计,含量为99.9%。
分子式:C17H21NO·HCl
分子量:291.82
CAS号:147-24-0
包装及装量:棕色瓶,约100mg/支
储存条件:遮光,密封保存
注意事项:105℃干燥2小时后使用
·小牛血去蛋白提取物
编号:BP1838
英文名称:Deproteinized Calf Blood Extractives
规格:2ml/支
本品为小牛血去蛋白提取物化学对照品,供活力测定系统适用性试验用,使用时将总固体含量稀释至40mg/ml。
包装:棕色安瓿
规格:194mg/ml(总固体),2ml/支
储存条件:遮光,2-8℃保存
·舒林酸
编号:BP0270
英文名称:Sulindac
规格:50mg
本品为小牛血去蛋白提取物化学对照品,供活力测定系统适用性试验用,使用时将总固体含量稀释至40mg/ml。
包装:棕色安瓿
规格:194mg/ml(总固体),2ml/支
储存条件:遮光,2-8℃保存
·*甲*酸
编号:BP0695
英文名称:Aminomethylbenzoic Acid
规格:100mg
本品为小牛血去蛋白提取物化学对照品,供活力测定系统适用性试验用,使用时将总固体含量稀释至40mg/ml。
包装:棕色安瓿
规格:194mg/ml(总固体),2ml/支
储存条件:遮光,2-8℃保存
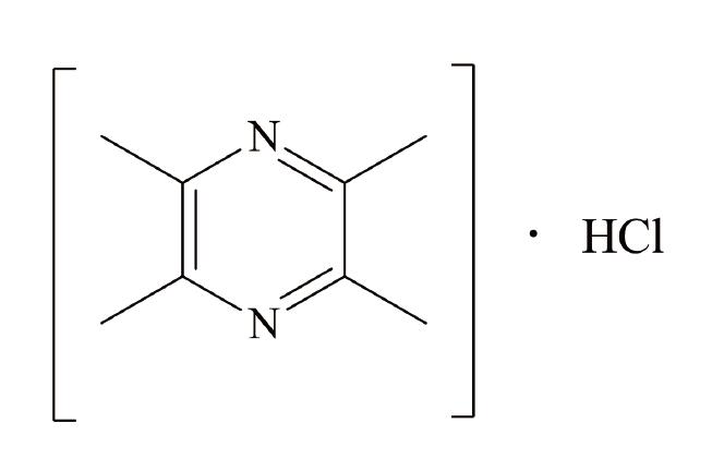
·盐*(代"酸")川芎嗪
编号:BP1104
英文名称:Ligustrazine hydrochloride
规格:30mg/支
本品为盐*(代"酸")川芎嗪化学对照品,供含量测定用,含量以83.4%计,使用前不需干燥处理。
分子式:C8H12N2·HCl
分子量:172.66
结构式:

包装:棕色安瓿瓶
规格:约30mg/支
储存条件:冷处(2-10℃)保存
注意事项:本品具有引湿性,建议打开包装一次性使用完。
头孢哌酮S异构体标准品促销关键词:Cefoperazone S isomer,头孢哌酮S异构体,BP1598
·豆腐果苷
编号:BP0308
英文名称:Helicid
规格:100mg
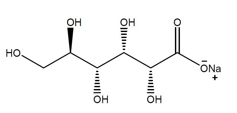
·葡萄糖酸*
编号:BP0568
英文名称:Sodium Gluconate
规格:100mg/支
本品为葡萄糖酸*化学对照品,使用前不需干燥处理,供HPLC法测定,按C6H11NaO7计,含量为99.4%。
CAS号:527-07-1
分子式:C6H11NaO7
分子量:218.14
结构式:

包装:棕色小瓶装
规格:每支约100毫克。
储存条件:遮光,密闭,10~30℃干燥处保存。
·肝素*
编号:BP1929
英文名称:Heparin Sodium, Porcine Mucosal
规格:约18mg
本品为肝素*化学对照品,系肝素*干燥粉末,熔封于硬质玻璃管中,供肝素制剂生物检定用。
效价:本品每毫克相当于197国际单位(IU)
储存条件:本品应避光冷藏。
溶液的配制:精密称取本品适量,用新鲜煮沸放冷后的蒸馏水配成每毫升含100个单位(IU)的溶液,分装熔封于2ml安瓿中(安瓿洗净)置冰箱内贮存,如无沉淀析出,可使用六个月。
·阿莫西林系统适用性对照品
编号:BP1725
英文名称:Amoxicillin for system suitability
规格:30mg
本品为阿莫西林系统适用性对照品,供HPLC系统适用性用,使用前不需干燥处理。
包装:安瓿
规格:约30毫克/支
储存条件:置2~8℃保存。
标准图谱:
1.阿莫西林含量测定用标准图谱:

色谱柱:COSMOSIL5C18-PAQ150×4.6mm,5μm(GLScience)
2.阿莫西林有关物质用标准图谱:
头孢哌酮S异构体标准品促销关键词:Cefoperazone S isomer,头孢哌酮S异构体,BP1598
我公司先后与天津中医学院、北京军区总医院、复旦大学、北京大学、上海交通大学、华东师范大学、第二军医大学、南京大学、清华大学、复兴医院、南京工业大学、301医院、中科院上海分院等多家单位建立了良好的合作关系。本公司可为您提供高品质的头孢哌酮S异构体等科研试剂。 公司秉承“专注品质、信守承诺、积极沟通、创新服务”的企业文化积极参与生物领域的技术创新和技术服务,力求为我国科研事业更好的,更专业的服务!
·*甲醛
编号:BP1264
英文名称:Benzaldehyde
规格:约0.5ml/支
本品为*甲醛化学对照品,供含量测定用,含量以99.9%计。
分子式:C7H6O
分子量:106.13
包装及装量:棕色安瓿瓶每支约0.5ml
储存条件:室温保存。
注意事项:使用前无需处理。本品挥发性强,打开包装后立即使用,一次使用完毕。
·马来酸桂哌齐特
编号:BP0729
英文名称:"Cinepazide Maleate "
规格:200mg/支
本品为*甲醛化学对照品,供含量测定用,含量以99.9%计。
分子式:C7H6O
分子量:106.13
包装及装量:棕色安瓿瓶每支约0.5ml
储存条件:室温保存。
注意事项:使用前无需处理。本品挥发性强,打开包装后立即使用,一次使用完毕。
·甲基多巴
编号:BP0155
英文名称:Methyldopa
规格:100mg
本品为甲基多巴倍半水合物(Methyldopa Sesquihydrate)的化学对照品,供UV法含量测定用,按C10H13NO4计,含量为100.0%。
分子式:C10H13NO4·3/2H2O
分子量:238.24
CAS号:41372-08-1
包装及装量:棕色小瓶装,每支约100毫克。
储存条件:遮光,密封保存。
注意事项:称量时相对湿度不得过 60%。125℃干燥4 小时后使用。
·甲磺酸加贝酯
编号:BP0723
英文名称:Gabexate Mesylate (Mesilate)
规格:100mg
本品为甲基多巴倍半水合物(Methyldopa Sesquihydrate)的化学对照品,供UV法含量测定用,按C10H13NO4计,含量为100.0%。
分子式:C10H13NO4·3/2H2O
分子量:238.24
CAS号:41372-08-1
包装及装量:棕色小瓶装,每支约100毫克。
储存条件:遮光,密封保存。
注意事项:称量时相对湿度不得过 60%。125℃干燥4 小时后使用。
·苄达赖*酸
编号:BP0428
英文名称:Bendazac Lysine
规格:100mg
本品为甲基多巴倍半水合物(Methyldopa Sesquihydrate)的化学对照品,供UV法含量测定用,按C10H13NO4计,含量为100.0%。
分子式:C10H13NO4·3/2H2O
分子量:238.24
CAS号:41372-08-1
包装及装量:棕色小瓶装,每支约100毫克。
储存条件:遮光,密封保存。
注意事项:称量时相对湿度不得过 60%。125℃干燥4 小时后使用。
·盐*(代"酸")金霉素
编号:BP1641
英文名称:Chlorteracycline Hydrochloride
规格:200mg/支
本品为盐*(代"酸")金霉素化学对照品,供高效液相含量测定用,含量以盐*(代"酸")金霉素(C22H23ClN2O8·HCl)计。
CAS号:64-72-2
分子式:C22H23ClN2O8·HCl
分子量:515.35
结构式:

包装:棕色安瓿
规格:200mg/支
储存条件:置4℃以下条件低温避光保存。
头孢哌酮S异构体为高校实验室,各大科研单位专用试剂,不得用于生产或者其它用途,本公司提供各种品牌的进口的试剂来满足不同客户的需求,欢迎前来订购!
头孢哌酮S异构体是我们热销产品之一,品牌代理,品质保证,专业性强,实验全程无忧。我公司已为中国市场提供数万种高端试剂,我们有能力提供毫克级,克级,甚至公斤级。试剂产品相关信息齐全,欢迎来电咨询、选购。
我公司强烈推荐标准品对照品系列产品,热情期待您的咨询选购头孢哌酮S异构体标准品促销。
风险提示:丁香通仅作为第三方平台,为商家信息发布提供平台空间。用户咨询产品时请注意保护个人信息及财产安全,合理判断,谨慎选购商品,商家和用户对交易行为负责。对于医疗器械类产品,请先查证核实企业经营资质和医疗器械产品注册证情况。
文献和实验我最近在网上看到有公司在ELISA试剂盒的促销,好划算啊 我想把这个好消息,好资源与大家分享 几年来,博士德的ELISA试剂盒以优良的品质、卓越的性价比和良好的售后服务受到广大科研工作者的青睐。更因其品种齐全、操作简单、检测时间短、所需样品少而成为细胞因子检测的经典产品。公司生产的近270多种 ELISA 试剂盒,涉及分子生物学、分子免疫学、细胞生物学等生命科学研究的各个领域。公司总部位于武汉,代理商经销商遍及全国各地,形成了覆盖全国的有效服务网络,训练有素的专业人员能为客户提供技术
剂不能含有甲醇;2)不同的酮类化合物使用不同的标准品。可使用库仑法和容量法检测酮类产品,根据检测对象选择检测方法及适用试剂。 下面非活性羰基化合物可以使用含有甲醇的脱水溶剂(GEX/MS)直接滴定:对异丙基酮、樟脑、二苯酮、脱氧安息香、苄基、安息香、茜素、醌茜素、茚三酮。 其他物质,须使用酮类试剂。如下: 应用实例 1、容量法滴定 滴定剂:AQUAMICRON® Titrant SS-Z (or SS) 酮类脱水溶剂:AQUAMICRON ®
技术资料暂无技术资料 索取技术资料










