万千商家帮你免费找货
0 人在求购买到急需产品
- 详细信息
- 文献和实验
- 技术资料
- 库存:
598
- 英文名:
Ammonium Glycyrrhizinate
- CAS号:
53956-04-0
- 保质期:
长期
- 供应商:
北京百奥莱博科技有限公司
- 保存条件:
冷处(2-10℃
特别声明:本产品及我公司所售其他产品均为科研类试剂产品,严禁用于药物、医疗及其他非科研用途。
百奥莱博公司致力于为全国科研单位提供药典标准品、对照品、标准溶液、标准样品、对照培养基、国家标准品等可靠标准物质,其中甘草酸铵对照品折扣价的品质过硬,在广大科研人员中有口皆碑!
名称:甘草酸铵对照品折扣价
产地:国产|进口
编号:BP1036
规格:20mg/支
英文名:Ammonium Glycyrrhizinate
品牌:百奥莱博
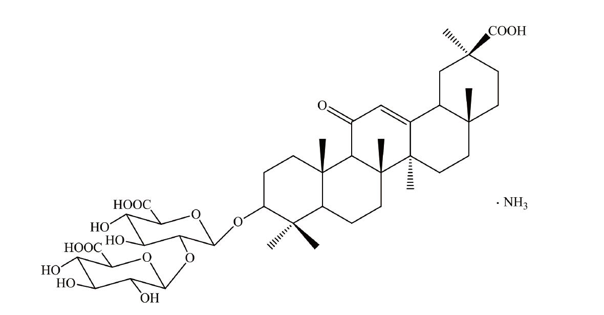
本品为甘草酸铵化学对照品,供含量测定用,含量93.0%,使用前不需干燥处理。
CAS号:53956-04-0
分子式:C42H65NO16
分子量:839.96
结构式:

包装:棕色安瓿瓶
规格:约20mg/支
储存条件:冷处(2-10℃)保存
注意事项:本品有引湿性,建议打开包装一次性使用完。
除甘草酸铵对照品折扣价外,我公司正在打折促销以下产品:
·环黄芪醇
编号:BP1505
英文名称:Cycloastragenol
规格:20mg/支
本品为环黄芪醇化学对照品,置五氧化二磷干燥器中减压干燥12小时后使用,含量以100.0%计。
CAS号:84605-18-5
分子式:C30H50O5
分子量:470.92
结构式:

包装及装量:安瓿,约20mg/支
储存条件:常温干燥、密闭遮光保存。
·卡维丁
编号:BP1265
英文名称:Cavidine
规格:20mg
本品为环黄芪醇化学对照品,置五氧化二磷干燥器中减压干燥12小时后使用,含量以100.0%计。
CAS号:84605-18-5
分子式:C30H50O5
分子量:470.92
结构式:

包装及装量:安瓿,约20mg/支
储存条件:常温干燥、密闭遮光保存。
·替勃龙
编号:BP2122
英文名称:Tibolone
规格:100mg/支
本品为环黄芪醇化学对照品,置五氧化二磷干燥器中减压干燥12小时后使用,含量以100.0%计。
CAS号:84605-18-5
分子式:C30H50O5
分子量:470.92
结构式:

包装及装量:安瓿,约20mg/支
储存条件:常温干燥、密闭遮光保存。
·纤维蛋白原
编号:BP1792
英文名称:Fibrinogen
规格:凝固物含量44%
本品为纤维蛋白原(牛血)标准试剂,供凝血酶效价测定使用。
包装:无色安瓿
规格:凝固物含量为44%
储存条件:-20℃低温密封保存
注意事项:使用前将安瓿放置室温,溶解后尽快使用。开瓶后一次性使用。
·*丙胺太林
编号:BP0370
英文名称:Propantheline Bromide
规格:100mg/支
本品为*丙胺太林化学对照品,供HPLC法测定用,按CHBrNO计,含量为98.6%,使用前不需要干燥处理。
分子式:C23H30BrNO3
分子量:448.40
CAS号:50-34-0
包装:棕色安瓿瓶装。
规格:约100毫克/支。
储存条件:遮光,密封保存。
甘草酸铵对照品折扣价关键词:Ammonium Glycyrrhizinate,甘草酸铵,53956-04-0
·香蒲新苷
编号:BP1215
英文名称:Typhaneoside
规格:20mg
本品为香蒲新苷化学对照品,供鉴别或含量测定用,含量以97.0%计,使用前无需干燥处理。
CAS号:104472-68-6
分子式:C34H42O20
分子量:770
结构式:

包装及装量:棕色安瓿瓶,约20mg/支
储存条件:常温保存
注意事项:本品极具引湿,打开后一次性使用完毕。
·左奥硝唑杂质Ⅱ
编号:BP0957
英文名称:Levornidazole Impurity Ⅱ[1-(2,3-Epoxypropyl)-2-methyl-5-nitroimidazole]
规格:50mg/支
本品为左奥硝唑杂质Ⅱ化学对照品,使用前不需干燥处理,供HPLC法系统适用性用。
CAS号:16773-52-7
分子式:C7H9N3O3
分子量:183.16
结构式:

包装:安瓿瓶装
规格:约50毫克/支
储存条件:遮光,2-8℃密封保存。
·邻甲*磺酰胺
编号:BP0035
英文名称:2-Methylbenzenesulfonamide
规格:100mg/支
本品为邻甲*磺酰胺(2-Methylbenzenesulfonamide),供检查用。供GC法测定用,按C7H9NO2S计,含量为100%。
分子式:C7H9NO2S
分子量:171.21
CAS号:88-19-7
包装及装量:棕色小瓶装,每支约100毫克。
储存条件:遮光,密封保存。
注意事项:105℃干燥2小时后使用。
·商陆皂苷甲
编号:BP1462
英文名称:Esculentoside A
规格:20mg/支
本品为商陆皂苷甲化学对照品,供鉴别及含量测定用,含量以90.1%计。
分子式:C42H66O16
分子量:826
包装及装量:棕色安瓿瓶。
储存条件:冷冻保存。
注意事项:使用前无需处理,本品有引湿性,打开包装后一次使用完毕。
甘草酸铵对照品折扣价关键词:Ammonium Glycyrrhizinate,甘草酸铵,53956-04-0
我公司拥有专业生化试剂实验和销*(代"售")经验,为专业的您提供专业的服务。种类丰富,*基酸类、酶类、维生素类、甘草酸铵、缓冲剂类、色素类、植物激素及核酸类、碳水化合物类、抗生素类均有销*(代"售")。品牌代理,质量保障,其产品涉及生命科学的所有领域,包括生化试剂,抗体,ELISA试剂盒等等。
·*妥英
编号:BP0864
英文名称:Phenytoin
规格:50mg
·格列美脲杂质Ⅳ
编号:BP0978
英文名称:Glimepiride Impurity Ⅳ 1-[3-[2-(3--Ethyl-4-methyl-2-oxo-3-pyrroline-1-carboxamido)ethyl]phenyl]sulfonyl]-3-(trans-4-methylcyclohexyl)urea
规格:30mg/支
本品为格列美脲杂质Ⅳ化学对照品,使用前不需干燥处理。供HPLC法系统适用性试验用。
CAS号:791104-62-6
分子式:C24H34N4O5S
分子量:490.62
结构式:

包装:棕色西林瓶
规格:约30毫克/支
储存条件:遮光,密闭,2~8℃保存
·爱普列特
编号:BP0438
英文名称:Epristeride
规格:50mg
本品为格列美脲杂质Ⅳ化学对照品,使用前不需干燥处理。供HPLC法系统适用性试验用。
CAS号:791104-62-6
分子式:C24H34N4O5S
分子量:490.62
结构式:

包装:棕色西林瓶
规格:约30毫克/支
储存条件:遮光,密闭,2~8℃保存
·松香酸
编号:BP1476
英文名称:Abietic acid
规格:10mg/支
本品为松香酸化学对照品。
分子式:C20H30O2
分子量:302.46
包装及装量:棕色瓶,每支约10毫克。
储存条件:冷冻干燥保存。
注意事项:使用前无需处理。
·非洛地平杂质Ⅰ
编号:BP0854
英文名称:Felodipine impurityⅠ
规格:50mg
本品为非洛地平杂质Ⅰ化学对照品,供检查用,使用前不需干燥处理。供HPLC法测定,按C18H17Cl2NO4计,含量为100%。
分子式:C18H17Cl2NO4
分子量:382.25
结构式:

包装及装量:棕色西林瓶,约50mg/支。
储存条件:遮光,密封保存。
甘草酸铵上架一个月之内参与新品促销活动,新老客户订购此产品均可享受会员优惠,若您是我们的诚信会员,还可享受我司的VIP专线服务与优惠,欢迎来电咨询、订购您所需产品。
我公司是一家集研发、销*(代"售")、实验室技术服务于一体的高科技企业。 多年来一直处于行业前沿。我们专业经营培养基、生化试剂、甘草酸铵、进口ELISA试剂盒、化工产品、实验室消耗品、实验室耗材以及实验室器材。产品涉及分子生物学、细胞生物学、细菌学、遗传学、免疫学、生物化学、蛋白质学、细胞治疗等领域。
我公司正在优惠促销标准品对照品等系列产品,期待您的咨询选购甘草酸铵对照品折扣价。
风险提示:丁香通仅作为第三方平台,为商家信息发布提供平台空间。用户咨询产品时请注意保护个人信息及财产安全,合理判断,谨慎选购商品,商家和用户对交易行为负责。对于医疗器械类产品,请先查证核实企业经营资质和医疗器械产品注册证情况。
文献和实验根据本人的几年薄层层析经验,参考药典等国家药品标准和有关文献,将2000版药典一部里部分有代表性的对照品的薄层层实例按展开剂极性排序,并对其规律做一些分析。以下的分析和介绍是总体描述性的,目的是快速、简便地选择展开剂。如果想了解展开剂选择的各种理论,请参考其他专著。 选择展开剂,要依据溶剂极性和他们的混溶性,溶剂对被分析物的溶解性,以及被分析物的结构。这里只讨论药典里通常使用的以硅胶为固定相主体的正相薄层,也不考虑板的活性。 列出溶剂极性参数表,方便以下比较
技术资料暂无技术资料 索取技术资料










