相关产品推荐更多 >
万千商家帮你免费找货
0 人在求购买到急需产品
- 详细信息
- 文献和实验
- 技术资料
- 库存:
227
- 英文名:
Cefamandole Nafate
- CAS号:
30034-03-8
- 保质期:
长期
- 供应商:
北京百奥莱博科技有限公司
- 保存条件:
2-8℃
特别声明:本产品及我公司所售其他产品均为科研类试剂产品,严禁用于药物、医疗及其他非科研用途。
百奥莱博公司致力于为全国科研单位提供药典标准品、对照品、标准溶液、标准样品、对照培养基、国家标准品等可靠标准物质,其中北京头孢孟多酯对照品促销的品质过硬,在广大科研人员中有口皆碑!
名称:北京头孢孟多酯对照品促销
产地:国产|进口
规格:100mg
编号:BP1676
英文名:Cefamandole Nafate
本品为头孢孟多酯化学对照品,供含量测定用,含量以头孢孟多C19H17N6NaO6S2计,使用前不需干燥处理。
CAS号:30034-03-8
分子式:C19H17N6NaO6S2
分子量:512.49
结构式:

包装:白色安瓿
规格:约100毫克/支
储存条件:2-8℃保存
北京头孢孟多酯对照品促销极具性价比,此外,我公司正火爆促销以下产品:
·塞曲司特
编号:BP0607
英文名称:Seratrodast
规格:100mg
·紫花前胡苷
编号:BP1389
英文名称:Nodakenin
规格:20mg/支
本品为紫花前胡苷化学对照品,含量测定用,使用前不需干燥处理,含量以99.6%计。
CAS号:495-31-8
分子式:C20H24O9
分子量:408.40
结构式:

包装:棕色安瓿瓶
装量:约20mg/支
储存条件:冷处(2-10℃)保存
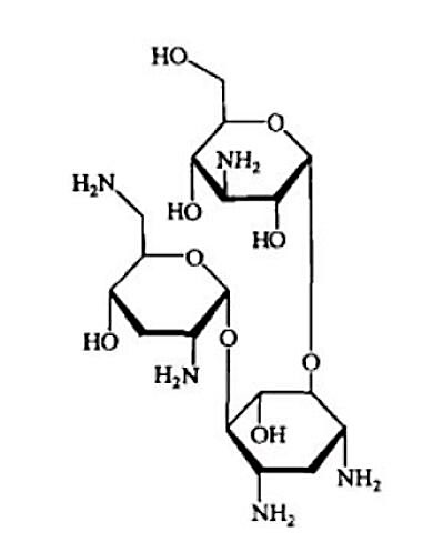
·妥布霉素
编号:BP1566
英文名称:Tobramycin
规格:100mg
本品为妥布霉素标准品,供抗生素微生物效价测定用,使用前不需干燥处理。
CAS号:32986-56-4
分子式:C18H37N5O9
分子量:467.52
结构式:

包装:白色安瓿
规格:约100毫克/支
储存条件:2-8℃保存
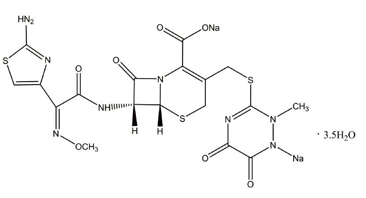
·头孢曲松
编号:BP1633
英文名称:Ceftriaxone
规格:200mg/支
本品为头孢曲松化学对照品,供高效液相法含量测定用,以头孢曲松(C18H16N8Na2O7S3)计,含量为83.9%,使用前不需要干燥处理。
CAS号:74578-69-1
分子式:C18H16N8Na2O7S3·3.5H2O
分子量:661.59
结构式:

包装:安瓿
规格:约200mg/支
储存条件:2-8℃保存
注意事项:本品建议打开
北京头孢孟多酯对照品促销关键词:30034-03-8,头孢孟多酯,Cefamandole Nafate
·纤维蛋白原
编号:BP1792
英文名称:Fibrinogen
规格:凝固物含量44%
本品为纤维蛋白原(牛血)标准试剂,供凝血酶效价测定使用。
包装:无色安瓿
规格:凝固物含量为44%
储存条件:-20℃低温密封保存
注意事项:使用前将安瓿放置室温,溶解后尽快使用。开瓶后一次性使用。
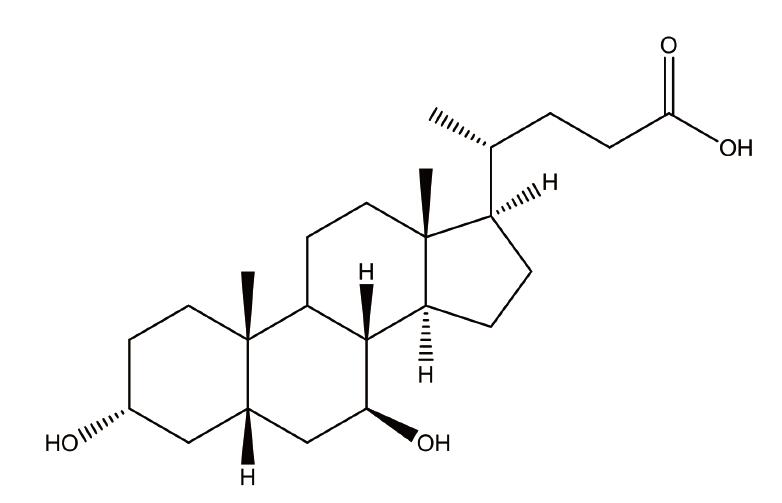
·熊去氧胆酸
编号:BP1052
英文名称:Ursodeoxycholic acid
规格:约20mg/支
本品为熊去氧胆酸化学对照品,供鉴别或含量测定用,含量99.4%。置五氧化二磷干燥器中减压干燥12小时后使用。
CAS号:128-13-2
分子式:C24H40O4
分子量:392.57
结构式:

包装:棕色安瓿
装量:约20mg/支
储存条件:冷处(2-10℃)保存
·地蒽酚
编号:BP0102
英文名称:Dithranol
规格:50mg
本品为地蒽酚(Dithranol)的化学对照品,按C14H10O3计,供HPLC法测定,含量为98.0%
分子式:C14H10O3
分子量:226.23
包装及装量:棕色瓶,约50mg/支
储存条件:遮光,密封保存
注意事项:使用前不需干燥处理
北京头孢孟多酯对照品促销关键词:30034-03-8,头孢孟多酯,Cefamandole Nafate
头孢孟多酯由我公司优惠供应,公司常年现货,欢迎广大科研工作者及经销商同仁前来咨询选购,另外公司专业从事进口科研生化试剂的批发及零售业务,产品涉及分子生物学、细胞生物学、免疫学、生物化学等诸多生命科研领域。因公司业务发展的需要,现诚征各地经销代理商,欢迎有志从事本行业的精英、同行莅临指导。
·左奥硝唑杂质Ⅱ
编号:BP0957
英文名称:Levornidazole Impurity Ⅱ[1-(2,3-Epoxypropyl)-2-methyl-5-nitroimidazole]
规格:50mg/支
本品为左奥硝唑杂质Ⅱ化学对照品,使用前不需干燥处理,供HPLC法系统适用性用。
CAS号:16773-52-7
分子式:C7H9N3O3
分子量:183.16
结构式:

包装:安瓿瓶装
规格:约50毫克/支
储存条件:遮光,2-8℃密封保存。
·麦迪霉素
编号:BP1563
英文名称:Midecamycin
规格:200mg
本品为麦迪霉素标准品,供抗生素微生物效价及组分测定用,使用前不需干燥处理。
CAS号:35457-80-8
分子式:C41H67NO15
分子量:813.97
结构式:

包装:白色安瓿
规格:约200毫克/支
储存条件:2-8℃保存
·商陆皂苷甲
编号:BP1462
英文名称:Esculentoside A
规格:20mg/支
本品为商陆皂苷甲化学对照品,供鉴别及含量测定用,含量以90.1%计。
分子式:C42H66O16
分子量:826
包装及装量:棕色安瓿瓶。
储存条件:冷冻保存。
注意事项:使用前无需处理,本品有引湿性,打开包装后一次使用完毕。
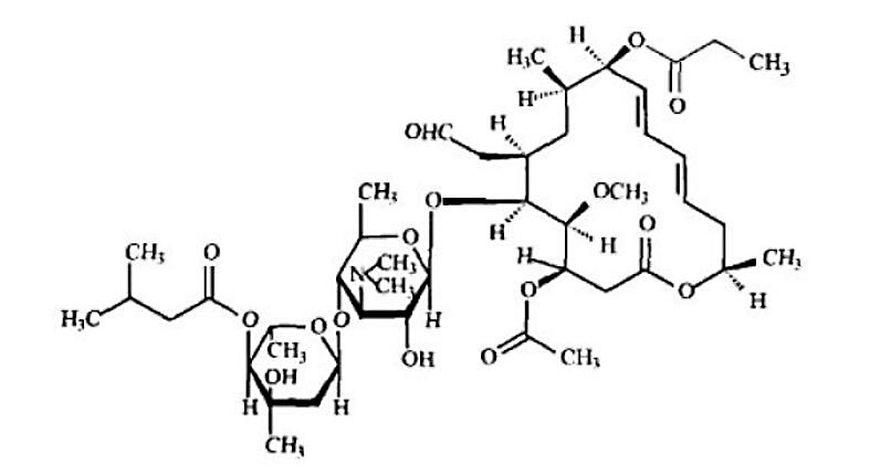
·丙*(代"酸")交沙霉素
编号:BP1582
英文名称:Josamycin propionate
规格:100mg
本品为丙*(代"酸")交沙霉素标准品,供抗生素微生物效价测定用,使用前不需干燥处理。
CAS号:83310-75-2
分子式:C45H73NO16
分子量:884.06
结构式:

包装:白色安瓿
规格:约100毫克/支
储存条件:2-8℃保存
头孢孟多酯等级划分:
我国的试剂规格基本上按纯度(杂质含量的多少)划分,共有高纯、光谱纯、基准、分光纯、优级纯、分析和化学纯等7种。国家和主管部门颁布质量指标的主要优级纯、分级纯和化学纯3种。
(1)优级纯(GR),又称一级品或保证试剂,99.8%,这种试剂纯度最高,杂质含量最低,适合于重要精密的分析工作和科学研究工作,使用绿色瓶签。
(2)分析纯(AR),又称二级试剂,纯度很高,99.7%,略次于优级纯,适合于重要分析及一般研究工作,使用红色瓶签。
(3)化学纯(CP),又称三级试剂,≥ 99.5%,纯度与分析纯相差较大,适用于工矿、学校一般分析工作。使用蓝色(深蓝色)标签。
(4)实验试剂(LR),又称四级试剂。
我公司位于北京市海淀区,是一家专业从事生化试剂、分子生物学试剂、实验耗材研发、销*(代"售")、服务为一体的生物科技公司,公司主要经营的进口品牌包括Sigma,Invitrogen,Roche,Abcam,BD, R&D,GE,Amresco,Merck等;产品涉及化工原料、生化试剂、分子克隆相关试剂、细胞培养及检测常用试剂、实验室常用耗材等。百奥莱博秉承博采众长、诚信为本、德行天下的宗旨服务于客户。公司合作单位及客户包括各大医院、科研机构、大专院校、制药单位、医学检验单位、卫生防疫、生物技术公司、食品单位等诸多领域,正逐步成长为一流的生化试剂和耗材供应商。 我们将一如既往的为您提供优质的产品和完善的售后服务。
我公司强烈推荐标准品对照品系列产品,热情期待您的咨询选购北京头孢孟多酯对照品促销。
风险提示:丁香通仅作为第三方平台,为商家信息发布提供平台空间。用户咨询产品时请注意保护个人信息及财产安全,合理判断,谨慎选购商品,商家和用户对交易行为负责。对于医疗器械类产品,请先查证核实企业经营资质和医疗器械产品注册证情况。
文献和实验【求助】克隆100个已知序列的基因于带有绿色荧光蛋白的载体中需要多少时间和经费?
个和12,000个,其中11,000个克隆的表达已经通过Western Blot的验证。这些克隆以2种形式提供:一种是在表达的蛋白C末端带Myc-DDK(即FLAG)标签,一种是带GFP标签。这些cDNA克隆均构建于pCMV6入门载体上,可方便转换至其他目的载体。 按照其网页上的促销价:900RMB/clone × 100 = 9万RMB, 直接买,不用等时间,就可搞定,批量买估计还可以讲价,关键的是品质有保证。 注:非公司托儿,因前段时间帮朋友筹划项目专门研究
对赤芍和地榆的性状、显微特征、薄层色谱等方面进行了比较鉴别,其中性状和显微特征以比较表形式列出,主要显示二者的区别点,介绍如下。 1 材料 赤芍对照药材粉末,批号121093-200405,地榆对照药材粉末,批号121286-200410,芍药苷对照品批号110736-200527,均为中国药品生物制品检定所提供,供粉末显微特征和薄层色谱鉴别用。赤芍和地榆饮片为宁波明贝中药业有限公司提供样品,赤芍批号20070506,地榆批号20070315,经笔者鉴定为正品赤芍和地榆
液相色谱-蒸发光散射检测法测定其黄芪甲苷的含量,报道如下。 1 仪器与试药 LC�10ATvp高效液相色谱仪(日本岛津公司);ELSD�2000蒸发光检测器(美国Alltech);黄芪甲苷对照品(中国药品生物制品检定所提供,批号为110781�200311,为含量测定用);乙腈为色谱纯,水为经Milli�Q过0.22μm膜净化的超纯水,其它试剂均为分析纯。心舒康片样品(厂家提供)。 2 方法与结果 2.1 色谱条件 色谱柱为Agilent HC�
技术资料暂无技术资料 索取技术资料










