相关产品推荐更多 >
万千商家帮你免费找货
0 人在求购买到急需产品
- 详细信息
- 文献和实验
- 技术资料
- 库存:
424
- 英文名:
Thiamphenicol
- 保质期:
长期
- 供应商:
北京百奥莱博科技有限公司
- 保存条件:
置 5℃
特别声明:本产品及我公司所售其他产品均为科研类试剂产品,严禁用于药物、医疗及其他非科研用途。
百奥莱博公司致力于为全国科研单位提供药典标准品、对照品、标准溶液、标准样品、对照培养基、国家标准品等可靠标准物质,其中甲砜霉素标准品(国产,进口)的品质过硬,在广大科研人员中有口皆碑!
名称:甲砜霉素标准品(国产,进口)
英文名:Thiamphenicol
规格:100mg/支
编号:BP1615
产地:国产|进口
品牌:百奥莱博
本品为甲砜霉素化学对照品,供高效液相含量测定用,含量以甲砜霉素(C12H15Cl2NO5S)计。
使用方法:精密称取适量,按规定的方法,配制至所需浓度的对照品溶液,立即使用。
储存条件:置 5℃以下条件低温避光保存。启开安瓿后严密保持干燥以防吸水。
注意事项:使用前不需干燥处理。最小取样量:10mg。
我公司的甲砜霉素标准品(国产,进口),性价比高,货期短,送货上门,欢迎您来电咨询购买,另外,我公司还生产供应销*(代"售")下列产品:
· γ-*酪酸
编号:BP1856
英文名称:γ-Aminobutyric Acid
规格:20mg/支
本品为γ-*酪酸化学对照品,供γ-*酪酸鉴别用,使用前不需干燥处理。
分子式:C4H9NO2
分子量:103.12
包装:白色西林瓶
规格:每支20mg
储存条件:避光,密封在干燥处保存
·拉米夫定杂质Ⅲ
编号:BP0931
英文名称:Lamivudine Impurity Ⅲ 1-[(2R,5S)-2-(hydroxymethyl)-1,3-oxathiolan-5-yl]pyrimidine-2,4(1H, 3H)-dione
规格:20mg/支
本品为拉米夫定杂质Ⅲ化学对照品,供HPLC法系统适用性试验用,使用前不需干燥处理
CAS号:145986-07-8
分子式:C8H10N2O4S
分子量:230.23
结构式:


胞嘧啶、尿嘧啶、拉米夫定、水杨酸、拉米夫定杂质Ⅰ-Ⅴ混合物色谱图
·高三尖杉酯碱
编号:BP1189
英文名称:Homoharringtonine
规格:20mg
本品为高三尖杉酯碱化学对照品,供含量测定用。
分子式:C29H39NO9
分子量:545.62
结构式:

包装:棕色瓶。
装量:每支约 20 毫克。
保存条件:干燥密闭保存。
甲砜霉素标准品(国产,进口)关键词:BP1615,甲砜霉素,Thiamphenicol
我公司位于北京市海淀区,是一家专业从事生化试剂、分子生物学试剂、实验耗材研发、销*(代"售")、服务为一体的生物科技公司,公司主要经营的进口品牌包括Sigma,Invitrogen,Roche,Abcam,BD, R&D,GE,Amresco,Merck等;产品涉及化工原料、生化试剂、分子克隆相关试剂、细胞培养及检测常用试剂、实验室常用耗材等。百奥莱博秉承博采众长、诚信为本、德行天下的宗旨服务于客户。公司合作单位及客户包括各大医院、科研机构、大专院校、制药单位、医学检验单位、卫生防疫、生物技术公司、食品单位等诸多领域,正逐步成长为一流的生化试剂和耗材供应商。 我们将一如既往的为您提供优质的产品和完善的售后服务。
·二苄基乙二*(代"胺")
编号:BP1740
英文名称:N,N"-Dibenzylethylenediamin*(代"e")
规格:约0.5mL
本品为二苄基乙二*(代"胺")化学对照品,供含量测定用,使用前不需干燥处理。
使用方法:精密称取本品适量,按苄星青霉素含量测定项下方法,溶解稀释制成约0.2mg/ml的溶液,立即使用。
储存条件:置5℃以下低温避光保存。开启安瓿后严封保持干燥,以防吸水。
·布地奈德
编号:BP0736
英文名称:Budesonide
规格:100mg/支
本品为布地奈德化学对照品,供HPLC法鉴别和含量测定用。本品无需干燥,以C25H34O6计,含量为98.9%。
CAS号:51333-22-3
分子式:C25H34O6
分子量:430.54
结构式:

包装:棕色西林瓶
规格:约100毫克/支
储存条件:密闭避光保存
注意事项:本品配制成溶液后不稳定,应临用临配,避免长时间室温放置。
·碘海醇杂质Ⅱ
编号:BP0872
英文名称:Iohexol related Compound II
规格:50mg
本品为布地奈德化学对照品,供HPLC法鉴别和含量测定用。本品无需干燥,以C25H34O6计,含量为98.9%。
CAS号:51333-22-3
分子式:C25H34O6
分子量:430.54
结构式:

包装:棕色西林瓶
规格:约100毫克/支
储存条件:密闭避光保存
注意事项:本品配制成溶液后不稳定,应临用临配,避免长时间室温放置。
·门冬酰胺酶(埃希)
编号:BP1863
英文名称:门冬酰胺酶(埃希)
规格:约5mg/瓶
本品为布地奈德化学对照品,供HPLC法鉴别和含量测定用。本品无需干燥,以C25H34O6计,含量为98.9%。
CAS号:51333-22-3
分子式:C25H34O6
分子量:430.54
结构式:

包装:棕色西林瓶
规格:约100毫克/支
储存条件:密闭避光保存
注意事项:本品配制成溶液后不稳定,应临用临配,避免长时间室温放置。
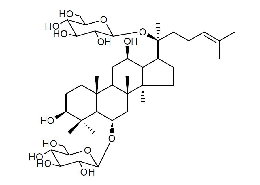
·人参皂苷Rg1
编号:BP1015
英文名称:Ginsenoside Rg1
规格:20mg/支
本品为人参皂苷Rg1化学对照品,供鉴别及含量测定用,使用前不需干燥处理,含量以93.6%计。
CAS号:22427-39-0
分子式:C42H72O14
分子量:801.01
结构式:

包装:棕色安瓿瓶
规格:约20mg/支
储存条件:冷冻保存
注意事项:本品有引湿性,打开包装后一次使用完毕。
甲砜霉素标准品(国产,进口)关键词:BP1615,甲砜霉素,Thiamphenicol
我公司生化试剂产品种类丰富,涵盖溶剂、培养基、*基酸及其衍生物、组织学试剂、电泳试剂、核苷酸及其衍生物、糖类、纯化试剂、分子生物学用试剂、抗生素、生物缓冲试剂、染色剂、甲砜霉素等。我公司作为一家以客户为中心的生产厂家和全球分销商,生产经营品种齐全的高质量化学品,实验室耗品和器材。在百奥莱博,质量是我们第一关注的要点。欢迎咨询选购!
BTN70601 粪便DNAOUT Stool DNAOUT
DP214 Universal DNA 纯化回收试剂盒
PY04-007 靛基质柯凡克试剂 10ml×1支 将试剂滴加入蛋白胨水培养基中2-3滴观察结果,用于细菌的靛基质试验结果判断
黑色素清除液 2×100ml
ARB11447 人破骨细胞分化因子(ODF)尿液中含量检测 Human osteoclast differentiation factor,odf ELISA KIT
ARB12420 大鼠细胞周期素D2(CyclIn-D2)代做ELISA实验 Rat cyclin-d2 ELISA KIT
ARB13868 猪白介素12(IL-12/P40)含量测试 Porcine interleukin 12,IL-12/p40 ELISA KIT
BL1045 营养琼脂
ARB12283 大鼠抑瘤素M(OSM)含量检测 Rat oncostatin-m,osm ELISA KIT
ARB13478 鸡肾上腺髓质素(ADM)elisa检测 Chicken adrenomedullin,adm ELISA KIT
HC0336 12道道雷勃彩色移液器(全彩)
PY02-097 沙氏琼脂培养基 250克
维多利亚蓝弹力纤维染色液 4×50ml
BTN81203 SDS-PAGE电泳液 SDS-PAGE Running Buffer
ARB11360 人类组织相容性复合体I类相关基因B(MICA)ELISA检测服务 Human micb ELISA KIT
ARB13038 小鼠补体1抑制物抗体(C1INH)定量分析 Mouse complement 1 inhibitor autoantibody,c1inh ELISA KIT
ARB12997 小鼠抗甲状腺过氧化物酶抗体(TPO-Ab)检测服务 Mouse anti-thyroid-peroxidase antibody,tpo-ab ELISA KIT
DP422 DNA RNA共提试剂盒
ARB12445 大鼠幽门螺旋菌IgG(Hp-IgG)Elisa方法检测 Rat helicobacter pylori igg,hp-igG ELISA KIT
ARB11801 人雌三醇(E3)elisa检测说明书 Human estriol,e3 ELISA KIT
8-16%RealPAGE预制胶 1盒
ARB10035 人I型前胶原N端前肽(PINP)含量分析 Human procollagen i n-terminal Peptide,pinp ELISA KIT
甲砜霉素上架一个月之内参与新品促销活动,新老客户订购此产品均可享受会员优惠,若您是我们的诚信会员,还可享受我司的VIP专线服务与优惠,欢迎来电咨询、订购您所需产品。
我公司正在优惠促销标准品对照品等系列产品,期待您的咨询选购甲砜霉素标准品(国产,进口)。
风险提示:丁香通仅作为第三方平台,为商家信息发布提供平台空间。用户咨询产品时请注意保护个人信息及财产安全,合理判断,谨慎选购商品,商家和用户对交易行为负责。对于医疗器械类产品,请先查证核实企业经营资质和医疗器械产品注册证情况。
文献和实验国产新冠药物登顶 NEJM,疗效不输 Paxlovid,且不良事件更少
病毒的药物——VV116,其作为对严重急性呼吸综合征具有有效活性的口服抗病毒药物,同时是我国首个国产靶向新冠病毒 RNA 复制酶的小分子药物抑制剂。 2022 年 12 月 28 日,上海瑞金医院赵任教授、宁光院士、上海仁济医院皋源教授等团队联合在国际医学顶刊 NEJM 杂志上发表研究论文 VV116 versus Nirmatrelvir–Ritonavir for Oral Treatment of Covid-19。 该研究首次报告感染奥密克戎病毒且具有高危症状的患者的 3 期临床
的。 实验室常用的蛋白标准品多是来自NEB、MBI、GE、Bio-Rad 、Invitrogen、Novagen、Promega、MRESCO、Pierce Bio. 等品牌,生物帮2-D 蛋白 MW Markers产品推荐:Marker for 2D Electrophoresis 、ColorBurst(TM) Electrophoresis Marker 、Myoglobin, Carbamylated 2D Electrophoresis Marker from equine heart
11 月 13 日,首都机场出入境检验检疫局检疫人员对一批申报为「塑胶板」(申报货值 50 美元,收货人显示为北京美术学院)的快件进行查验,传说中的塑胶板长这样:此「塑胶板」实际上为 36 瓶胎牛血清、生物试剂等产品。检验检疫部门对发货和收获人的情况进行排查布控,共查获牛血清 93 瓶,其中美国牛血清 21 瓶,新西兰牛血清 1 瓶,墨西哥牛血清 1 瓶,澳大利亚牛血清 70 瓶。检验检疫部门将 4 批涉案牛血清做了相关实验室检测,结果发现牛病毒性腹泻病毒核酸阳性和抗体阳性。牛病毒性腹泻是农业
技术资料暂无技术资料 索取技术资料










