万千商家帮你免费找货
0 人在求购买到急需产品
- 详细信息
- 文献和实验
- 技术资料
- 库存:
970
- 英文名:
β-Alanine
- 保质期:
长期
- 供应商:
北京百奥莱博科技有限公司
特别声明:本产品及我公司所售其他产品均为科研类试剂产品,严禁用于药物、医疗及其他非科研用途。
北京百奥莱博公司供应包括β-丙*酸对照品哪里卖在内的化学标准品,化学对照品,杂志对照品,HPLC标准品,UV标准品等高品质标准品、对照品
名称:β-丙*酸对照品哪里卖
规格:20mg
产地:国产|进口
英文名:β-Alanine
品牌:百奥莱博
本品为β-丙*酸化学对照品,供帕米膦酸二*检查用。
分子式:C3H7NO2
分子量:89.09
包装及装量:棕色瓶,约20mg/支
储存条件:避光、密闭保存
注意事项:使用前不需干燥。
想要了解更多关于β-丙*酸对照品哪里卖的价格、品牌、厂家、说明书、促销信息,请和我们联*(代"系")。此外我公司还销*(代"售")下面的产品:
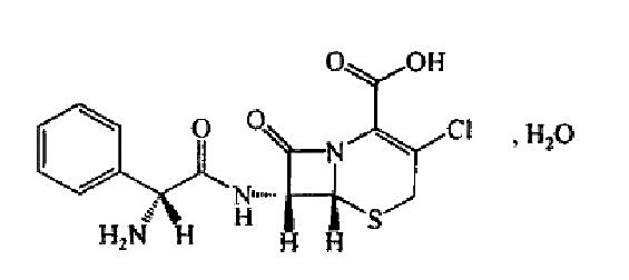
·头孢克洛
编号:BP1634
英文名称:Cefaclor
规格:100mg/支
本品为头孢克洛化学对照品,供HPLC法含量测定用,以C15H14ClN3O4S计,含量为94.4%,使用前不需干燥处理。
CAS号:70356-03-5
分子式:C15H14ClN3O4S·H2O
分子量:385.82
结构式:

包装:安瓿
规格:约100mg/支
储存条件:2-8℃保存
注意事项:本品建议打开包装一次性使用完毕。注意避光
·盐*(代"酸")赛洛唑啉
编号:BP0572
英文名称:Xylometazoline Hydrochloride
规格:100mg
本品为头孢克洛化学对照品,供HPLC法含量测定用,以C15H14ClN3O4S计,含量为94.4%,使用前不需干燥处理。
CAS号:70356-03-5
分子式:C15H14ClN3O4S·H2O
分子量:385.82
结构式:

包装:安瓿
规格:约100mg/支
储存条件:2-8℃保存
注意事项:本品建议打开包装一次性使用完毕。注意避光
·滨蒿内酯
编号:BP1176
英文名称:Scoparone
规格:20mg
本品为滨蒿内酯化学对照品,供鉴别或含量测定用,含量以99.2%计,使用前无需干燥处理。
CAS号:120-08-1
分子式:C11H10O4
分子量:206
结构式:

包装及装量:棕色安瓿瓶,约 20mg/支
储存条件:冷冻保存
注意事项:本品略有引湿性。
β-丙*酸对照品哪里卖关键词:β-Alanine,β-丙*酸,BP1885
我公司生产的β-丙*酸纯度高价格低,质量有保证,客户更放心。我们为科研用户提供上千种生物试剂现货及sigma全线产品原装期货,货期短,价格低,质量好。用我们100%的真诚、热情换取您100%的信任与支持!
·脱氧核糖核酸
编号:BP1857
英文名称:Deoxyribonucleic Acid
规格:10mg/瓶
本品为脱氧核糖核酸化学对照品,含量以脱氧核糖核酸计为75.2%,开封后一次用完。
CAS号:73049-39-5
包装:2ml棕色西林瓶
规格:10mg/瓶
储存条件:4℃保存
·*曲南
编号:BP1656
英文名称:Aztrenom
规格:100mg
本品为脱氧核糖核酸化学对照品,含量以脱氧核糖核酸计为75.2%,开封后一次用完。
CAS号:73049-39-5
包装:2ml棕色西林瓶
规格:10mg/瓶
储存条件:4℃保存
·吴茱萸碱
编号:BP1091
英文名称:Evodiamine
规格:约20mg/支
本品为吴茱萸碱化学对照品,供鉴别及含量测定用。置五氧化二磷干燥器中减压干燥12小时后使用。含量以99.6%计。
CAS号:67909-49-3
分子式:C19H17N3O
分子量:303.36
结构式:

包装:棕色瓶
规格:约20毫克/支
储存条件:冷处(2~10℃)保存。
·戈那瑞林
编号:BP1876
英文名称:Gonadorelin
规格:15mg
本品为戈那瑞林化学对照品,供HPLC法鉴别和含量测定用,以C55H75N17O13计,含量为87.7%。使用前不需干燥处理。
CAS号:33515-09-2
分子式:C55H75N17O13
分子量:1182.3
结构式:

包装:棕色安瓿瓶
规格:约15毫克/支
储存条件:遮光,密封,-20℃保存。
注意事项:本品具有引湿性,临用前将安瓿
β-丙*酸对照品哪里卖关键词:β-Alanine,β-丙*酸,BP1885
β-丙*酸如何储存?
化学试剂的变质,大多数情况是因为受外界条件的影响,如空气中的氧气、二氧化碳、水蒸气、空气中的酸碱性物质以及环境 温度、光照等,都可使化学试剂发生氧化、还原、潮解、风化、析晶、稀释、锈蚀、分解、挥发、升华、聚合、发霉、变色以及燃爆等变化。经常检查储存中的化学 试剂的存放状况发现实际起过的储存期或变质应及时报告,并按规定妥善处理 ( 降级使用或报废) 和销帐。在正常储存条件下,一般化学试剂贮有不宜超过2年,基准试剂不超1年。为了避免环境和其他因素的干扰,所有化学试剂一经取出不得放回贮有容器: 属于必须回收的试剂或指定、退库、的试剂,必须另设专用容器回收或贮存,具有吸潮性或易氧化,易变质的化学试试剂必须密封保存,避免吸湿解,氧化或变质。 定期盘点,核对出现差错应及时检查原因,并报主管领导或部门处理。
PY02-352 假单胞菌琼脂基础培养/CN琼脂基础 250克
卡托普利 Maleic acid sodiu*(代"m") salt 62571-86-2
ARB12032 大鼠β淀粉样蛋白1-40(Aβ1-40)酶标法分析 Rat amyloid beta Peptide 1-40,aβ1-40 ELISA KIT
ARB11540 人高敏甲状腺素(u-T4)血清中含量检测 Human ultrasensitivity thyroxine,u-t4 ELISA KIT
戊二醛固定液(4%) 100ml|500ml
ARB11397 人神经肽Y(NPY)含量分析 Human neuroPeptide y,np-y ELISA KIT
ARB10486 人白介素27(IL-27)ELISA代测服务 Human interleukin 27,IL-27 ELISA KIT
BL0907 FITC标记兔抗山羊IgG抗体
ARB10134 人P53(P53)Elisa方法检测 Human p53/tumor protein, p53/tp53 ELISA KIT
ARB11204 人组织蛋白酶K(cAth-K)elisa测定使用说明书 Human cathepsin k,cath-k ELISA KIT
ARB11390 人冠状病毒(CoronAvIruses IgG)Elisa分析 Human coronaviruses igG ELISA KIT
ARB10945 人谷*酸脱羧酶(GAD)免费代测 Human glutamic acid decarboxylase,gad ELISA KIT
甘油PBS封片剂 10ml|50ml
ARB11679 人超敏C反应蛋白(hs-CRP)含量分析 Human high sensitivity c-reactive protein,hs-crp ELISA KIT
猪胆盐 POPSO 8008-63-7
PY01-048 羟基磷灰石 5克
β-丙*酸为高校实验室,各大科研单位专用试剂,不得用于生产或者其它用途,本公司提供各种品牌的进口的试剂来满足不同客户的需求,欢迎前来订购!
我公司正在优惠促销标准品对照品等系列产品,期待您的咨询选购β-丙*酸对照品哪里卖。
风险提示:丁香通仅作为第三方平台,为商家信息发布提供平台空间。用户咨询产品时请注意保护个人信息及财产安全,合理判断,谨慎选购商品,商家和用户对交易行为负责。对于医疗器械类产品,请先查证核实企业经营资质和医疗器械产品注册证情况。
文献和实验H2 NCH2 CH2 COOH。β -氨基酸的一种。虽然在蛋白质的水解物中尚未发现,但与组氨酸等结合形成肌肽。鹅肌肽则存在于动物肌肉中,是尿嘧啶的分解产物。此外,它也是组成泛酸、 CoA等的成分,这在生物学上是很重要的。在豆科植物的根瘤中以游离状态存在,在茶叶、哺乳类的脑水解物中也存在。天冬氨酸经细菌的天冬氨酸脱羧酶的作用下脱羧可生成β -丙氨酸。
维生素B 2复合物之一。是 R.J.Williams 等( 1933 )从某种生物活素( bios )中分离出来的。亦称抗鸡糙皮病维生素、细菌增殖因子、滤液因子( filtrate factor )。为α,γ - 二羟基 - β,β' - ,二甲基丁酰 - β - 丙氨酸。对酸、碱均不稳定。水解时,肽键被切断,而变成羟酸和β - 丙氨酸。 D 型有效。其定量法主要是利用微生物法 [ 干酪乳杆菌( Lactobacilluscasei )、阿拉伯聚糖乳杆菌( L.arabinosus
着(例如:β -丙氨酸,γ -氨基丁酸)。氨基酸是本世纪初由费歇尔等( E. Fisher etal.)阐明的。构成一般蛋白质的有 23种(半胱氨酸和胱氨酸另计),立体构型均属 L-型。这些氨基酸的简称详见“氨基酸合成”词目中。氨基酸根据氨基与羧基数分类为中性即一氨基一羧酸(如丙氨酸、亮氨酸等),酸性即一氨基二羧酸(如天冬氨酸、谷氨酸),碱性的即二氨基一羧酸(如赖氨酸)等。此外还把含有芳香环、羟基、巯基的氨基酸分别分类为芳香族氨基酸(如酪氨酸、苯丙氨酸、色氨酸)、含羟基氨基酸(如丝氨酸、苏氨酸)、含硫
技术资料暂无技术资料 索取技术资料










