相关产品推荐更多 >
万千商家帮你免费找货
0 人在求购买到急需产品
- 详细信息
- 文献和实验
- 技术资料
- 库存:
566
- 英文名:
Cucurbitacin B
- CAS号:
6199-67-3
- 保质期:
长期
- 供应商:
北京百奥莱博科技有限公司
- 保存条件:
室温
特别声明:本产品及我公司所售其他产品均为科研类试剂产品,严禁用于药物、医疗及其他非科研用途。
葫芦素B标准品北京厂家现货由专业试剂供应商北京百奥莱博提供,用于科研目的生化试验项目,本产品质量好,且极具价格优势,深为用户称道,了解更多葫芦素B等标准品对照品产品请联*(代"系")我司咨询订购。
名称:葫芦素B标准品北京厂家现货
规格:20mg
英文名:Cucurbitacin B
产地:国产|进口
编号:BP1481
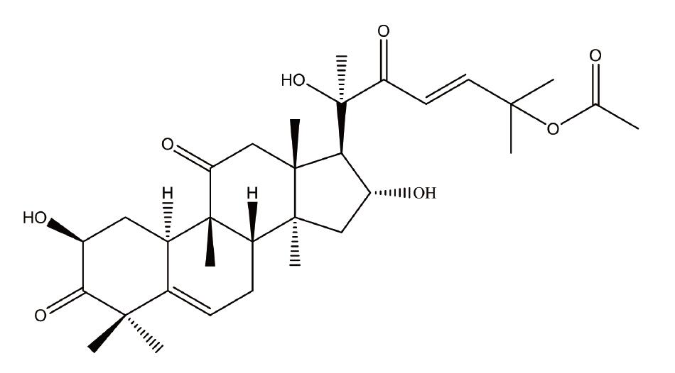
本品为葫芦素B化学对照品,供鉴别和含量测定用,含量以96.9%计。
CAS号:6199-67-3
分子式:C32H46O8
分子量:558
结构式:

包装及装量:棕色安瓿瓶,约20mg/支
储存条件:室温干燥保存。
注意事项:使用前无需处理。
葫芦素B标准品北京厂家现货正在火爆热销,除此之外,为您推荐下别热销产品:
002003 无菌脱纤维牛血
顺-15-二十四碳单烯酸 Fructo-oligosaccharide 506-37-6
ARB10529 人鸟苷酸交换因子(GEF)ELISA代测服务 Human guanine exchange factor,gef ELISA KIT
ARB11424 人载脂蛋白E(Apo-E)免费代测 Human apolipoprotein e,apo-e ELISA KIT
ARB13288 小鼠凝血因子Ⅸ(FⅨ)酶联免疫定量检测 Mouse fcoagulation factor Ⅸ,fⅨ ELISA KIT
A3601-15 马血清Horse Serum
ARB11739 人酪*酸羟化酶(TH)Elisa分析 Human tyrosine hydroxylase,th ELISA KIT
ARB10025 人5羟基吲哚乙酸(5-HIAA)血清中含量检测 Human 5-hydroxyindolacetic acid,5-hiaa ELISA KIT
DNaseⅠ(RNase free) 2000U
F050302 人IgG抗体 Human IgG
ARB13505 罗氏沼虾诺达病毒(MrNV)酶免分析 Macrobrachium rosenbergⅡ nodavirus,mrnv ELISA KIT
PY01-132 碱性蛋白酶(1:200000) 250克
ARB11553 人恙虫病抗体IgM(STA-IgM)elisa检测
F040321 猫IgG抗原 The cat IgG
ARB11708 人黑色素细胞刺激素(MSH)elisa检测操作说明书 Human melanocyte stimulating hormone,msh ELISA KIT
潮霉素B溶液(50mg/ml) Hygromycin B 50mg/ml 10ml|20ml
F050309 小鼠IgG2b抗体 Mouse IgG2b
BTN100837 EDTA溶液,0.5M,蛋白级 EDTA Solution
BL0286 α-MEM
TESCA缓冲液(pH7.4,无菌) 100ml|500ml
ARB12967 小鼠全段甲状旁腺素(I-PTH)血清中含量检测 Mouse intact paRathormone ,i-pth ELISA KIT
葫芦素B标准品北京厂家现货关键词:6199-67-3,葫芦素B,Cucurbitacin B
ARB14222 人肌酸激酶同工酶MM(CK-MM)酶免分析
乙酰胆碱酯酶 SDP 9000-81-1
BTN80910 X-Gal溶液 X -Gal Solution
A0301 优级新生牛血清(无菌采制) 100ml/200ml/500ml
9007-34-5 胶原蛋白Ⅱ型 Collagen TypeⅡ
ARB12860 小鼠心肌肌*蛋白I(cTn-I)含量分析 Mouse cardiac troponin i,ctn-i ELISA KIT
E0202 抗凝山羊血(无菌 袋装) 500ml/1000ml/2000ml
BL0915 FITC标记BSA抗体
ARB12816 小鼠乙酰胆碱受体抗体(AChRAb)血清中含量检测 Mouse acetylcholine receptor antibody,achrab ELISA KIT
碱性磷酸酶缓冲液(pH9.5) 500ml
PY08-068 改良马丁培养基 225ml 20瓶/箱,用于生物制品霉菌检验
SJ0676 Marker Ⅱ
葫芦素B标准品北京厂家现货关键词:6199-67-3,葫芦素B,Cucurbitacin B
我公司向您保证所售葫芦素B等产品均为正品,并开具正规机打增值税普通发票,请您放心订购!
·异维A酸
编号:BP0183
英文名称:Isotretinoin
规格:100mg/支
本品为异维A酸的化学对照品,供含量测定用,使用前不需干燥处理。按C20H28O2计,供HPLC法测定,含量为99.7%,供UV法测定,含量为99.9%。
分子式:C20H28O2
结构式:

分子量:300.44
CAS号:4759-48-2
包装:棕色西林瓶装
规格:100毫克/支。
储存条件:遮光,充惰性气体,2~8℃密闭保存。
注意事项
·二磷酸腺苷二*
编号:BP1905
英文名称:Adenosine disodiu*(代"m") diphosphate
规格:20mg/瓶
本品为二磷酸腺苷二*化学对照品,含量以C10H13N5Na2O10P2计为85.3%,供磷酸肌酸*杂质检查使用。
CAS号:16178-48-6
分子式:C10H13N5Na2O10P2
分子量:471.16
包装:棕色西林瓶
规格:约20mg/瓶
储存条件:-20℃,避光
·雷酚内酯
编号:BP1503
英文名称:Triptophenolide
规格:20mg/支
本品为雷酚内酯化学对照品,供含量测定用,含量以94.4%计,使用前不需干燥处理。
CAS号:74285-86-2
分子式:C20H24O3
分子量:312.40
结构式:

包装:棕色安瓿瓶
规格:约20mg/支
储存条件:冷处(2-10℃)保存
葫芦素B等试剂产品仅用于科研实验使用,拥有一流的技术指导及完善的售后服务体系,来保证我们产品的使用效果,欢迎广大科研学者来电咨询、选购。
我公司所售商品均为100%厂家供货,品质保证,价格优惠!
1.试剂包装:1g、5g、10g、25g、100g、500g等不同包装,欢迎来电咨询:葫芦素B,生化试剂
2.试剂纯度:97%-99%以上
3.库存均有现货。
4.产品订购以订货当日最新价格为准。
5.所有产品为确保质量,出库均复检。
我公司生产供应销*(代"售")的标准品对照品正全品类优惠促销,十分期待您的咨询选购葫芦素B标准品北京厂家现货。
风险提示:丁香通仅作为第三方平台,为商家信息发布提供平台空间。用户咨询产品时请注意保护个人信息及财产安全,合理判断,谨慎选购商品,商家和用户对交易行为负责。对于医疗器械类产品,请先查证核实企业经营资质和医疗器械产品注册证情况。
文献和实验清白蛋白。 二、各等级BSA 说明 1、 等级最低的BSA,这个是普通意义上的BSA,只要主要成分是BSA的产品都可以成为牛血清白蛋白,所以他也涵盖了其他等级的BSA,所以客户要注意其纯度。 作用:一般是工业生产用。 2、 牛血清白蛋白第五组分,英文名称:BSAV,这个是生物技术级的产品,适用范围是最广的,有些厂家的BSAV脂肪酸和内毒素很低,可直接用于细胞培养,纯度高甚至可以用于任何相关实验。常用的有Roche公司的10735078001,Sigma公司
清白蛋白第五组分,英文名称:BSAV,这个是生物技术级的产品,适用范围是最广的,有些厂家的BSAV脂肪酸和内毒素很低,可直接用于细胞培养,纯度高甚至可以用于任何相关实验。常用的有Roche公司的10735078001,Sigma公司的A7906,Amresco公司的0332。 作用:Elisa实验,WB实验,因BSA分子量为66KDa,纯度高的还可用作蛋白质marker。 3、 牛血清白蛋白(无必须脂肪酸),脂肪酸含量极低,脂肪酸含量≤
100 % 2 、试剂标准化 (1)分级 ① WHO 国际标准品 ② WHO 国际参考品 ③国家标准品 按国际标准品复制的标准品,效力单位与①严格一致。 ④研究室或厂家标准品 暂时用于工作的标准品,自行效价,但有国际标准品后,必须标化。 ⑤免疫学质控标准品和参考
技术资料暂无技术资料 索取技术资料










