相关产品推荐更多 >
万千商家帮你免费找货
0 人在求购买到急需产品
- 详细信息
- 文献和实验
- 技术资料
- 库存:
514
- 英文名:
Plantamajoside
- CAS号:
104777-68-6
- 保质期:
长期
- 供应商:
北京百奥莱博科技有限公司
特别声明:本产品及我公司所售其他产品均为科研类试剂产品,严禁用于药物、医疗及其他非科研用途。
北京百奥莱博公司供应包括大车前苷标准品优惠在内的化学标准品,化学对照品,杂志对照品,HPLC标准品,UV标准品等高品质标准品、对照品
名称:大车前苷标准品优惠
编号:BP1454
英文名:Plantamajoside
规格:约20mg/支
产地:国产|进口
品牌:百奥莱博
本品为大车前苷化学对照品,供鉴别及含量测定用,含量以90.2%计,使用前不需干燥处理。
CAS号:104777-68-6
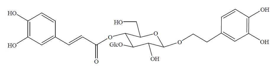
分子式:C29H36O16
分子量:640
结构式:

包装:棕色安瓿瓶
规格:约20毫克/支
储存条件:冷冻保存
注意事项:本品不稳定,且有引湿性,打开包装后一次使用完毕。
除大车前苷标准品优惠外,我公司正在打折促销以下产品:
·瑞格列奈
编号:BP0579
英文名称:Repaglinide
规格:100mg/支
本品为瑞格列奈化学对照品,供含量测定用。105℃干燥2小时后使用。供HPLC法测定,按C27H36N2O4计,含量为99.8%。
CAS号:135062-02-1
分子式:C27H36N2O4
分子量:452.59
包装及装量:棕色西林瓶,每支约100毫克。
储存条件:遮光,密封保存。
·20(S)-人参皂苷Rg2
编号:BP1358
英文名称:20(S)-Ginsenoside Rg2
规格:20mg
本品为瑞格列奈化学对照品,供含量测定用。105℃干燥2小时后使用。供HPLC法测定,按C27H36N2O4计,含量为99.8%。
CAS号:135062-02-1
分子式:C27H36N2O4
分子量:452.59
包装及装量:棕色西林瓶,每支约100毫克。
储存条件:遮光,密封保存。
·卡比多巴
编号:BP0770
英文名称:Carbidopa
规格:100mg
本品为瑞格列奈化学对照品,供含量测定用。105℃干燥2小时后使用。供HPLC法测定,按C27H36N2O4计,含量为99.8%。
CAS号:135062-02-1
分子式:C27H36N2O4
分子量:452.59
包装及装量:棕色西林瓶,每支约100毫克。
储存条件:遮光,密封保存。
·胰激肽原酶
编号:BP1881
英文名称:Pancreatic kininogenase
规格:约329单位
本品为瑞格列奈化学对照品,供含量测定用。105℃干燥2小时后使用。供HPLC法测定,按C27H36N2O4计,含量为99.8%。
CAS号:135062-02-1
分子式:C27H36N2O4
分子量:452.59
包装及装量:棕色西林瓶,每支约100毫克。
储存条件:遮光,密封保存。
·硫*(代"酸")普拉睾酮*
编号:BP0264
英文名称:Sodium Prasterone Sulfate
规格:100mg/支
本品为硫*(代"酸")普拉睾酮*的化学对照品,供HPLC法鉴别和含量测定用。本品60℃减压干燥3小时后使用,以C19H27NaO5S计,含量为99.8%。
分子式:C19H27NaO5S·2H2O
分子量:426.51
CAS号:1099-87-2
包装:棕色西林瓶
规格:约100毫克/支
储存条件:密闭避光保存
·*芬那酸丁酯
编号:BP0921
英文名称:Butyli Flufenamatum
规格:200mg
本品为*芬那酸丁酯化学对照品,供含量测定用,使用前不需干燥处理,按C18H18F3NO2计,供UV法测定,含量为100%。
CAS号:67330-25-0
分子式:C18H18F3NO2
分子量:337.33
结构式:

包装及装量:棕色安瓿瓶,约200mg/支
储存条件:遮光,密封保存。
大车前苷标准品优惠关键词:大车前苷,104777-68-6,Plantamajoside
生物化工学科起始于第二次世界大战时期,以抗生素的深层发酵和大规模生产技术的研究为标志。20世纪60年代末至80年代中期,转基因技术、生物催化与转比技术、动植物细胞培养技术、新型生物反应器和新型生物分离技术等开发和研究的成功,使本学科进入了新的发展时期,学科体系逐步完善。20世纪后期,随着以基因工程为代表的高新技术的迅速崛起,为本学科的进一步发展开辟了新领域,无数前人的工作和我公司的不懈奋斗。造就了高品质的大车前苷。
ARB12833 小鼠天冬*酸*基转移酶(AST)elisa检测 Mouse aspartate aminotransferase ,ast ELISA KIT
血液基因组DNA提取试剂盒(柱式法)
ARB13227 小鼠脱氧吡*(代"啶")酚/脱氧吡*(代"啶")啉(DPD)elisa检测操作说明书 Mouse deoxypyridinoline,dpd ELISA KIT
2,2-二羟甲基丁酸 2,6-Dimethylphenol 10097-02-6
ARB13888 猪皮质醇(CortIsol)定量分析 Porcine cortisol ELISA KIT
ARB13665 兔白介素17(IL-17)Elisa分析 Rabbit interleukin 17,IL-17 ELISA KIT
ARB13312 山羊β内啡肽(β-EP)血清中含量检测 Goat beta-endorphin,β-ep ELISA KIT
碳酸*溶液(1mol/L) 100ml|500ml
ARB10941 人低密度脂蛋白受体(LDLR)含量分析 Human very low density lipoprotein receptor,vldlr ELISA KIT
ARB12822 小鼠三碘甲状腺原*酸(T3)Elisa定量检测 Mouse tri-iodothyronine,t3 ELISA KIT
BL0901 FITC标记羊抗小鼠IgG抗体
J0103 抗圆环病毒(PCV)蓝耳病病毒(PRRSV)血清 10000ml/25000ml
SJ0650 pGEM-T
ARB13425 鸡乙酰乙酸检测(ACAC)elisa检测操作说明书 Chicken acetoacetic acid,acac ELISA KIT
SDS裂解液 50ml|100ml
SJ0333 Gelred
ARB13371 牛结核病(TB)代做ELISA实验
Tris缓冲盐溶液(10×TBS,pH7.4) 500ml
大车前苷标准品优惠关键词:大车前苷,104777-68-6,Plantamajoside
我公司是一家集研发、销*(代"售")、实验室技术服务于一体的高科技企业。 多年来一直处于行业前沿。我们专业经营培养基、生化试剂、大车前苷、进口ELISA试剂盒、化工产品、实验室消耗品、实验室耗材以及实验室器材。产品涉及分子生物学、细胞生物学、细菌学、遗传学、免疫学、生物化学、蛋白质学、细胞治疗等领域。
·盐*(代"酸")甲*芬酯
编号:BP0638
英文名称:Meclofenoxate Hydrochloride
规格:100mg/支
本品为盐*(代"酸")甲*芬酯化学对照品,供HPLC法含量测定用,以C12H16ClNO3·HCl计,含量为99.73%,使用前不需干燥处理。
CAS号:3685-84-5
分子式:C12H16ClNO3·HCl
分子量:294.18
包装:棕色安瓿瓶
规格:约100毫克/支
储存条件:遮光,充氮气,密封保存
注意事项:临用新制。本品极具引湿性,在相对湿度60%以下使用,建议打开包装一次性使用完。
·盐*(代"酸")酚苄明
编号:BP0179
英文名称:Phenoxybenzamine Hydrochloride
规格:100mg/支
本品为盐*(代"酸")酚苄明的化学对照品,供含量测定用。按 C18H22ClNO·HCl计,供HPLC法测定,含量为99.5%,供UV法测定,含量为99.9%。本品溶液应临用新制。
分子式:C18H22ClNO·HCl
分子量:340.29
CAS号:63-92-3
包装及装量:棕色西林瓶装,每支约100毫克。
储存条件:避光,密封保存。
注意事项:使用前不需干燥处理。
·第三代人激肽释放酶原激活剂(PKA)国家标准品
编号:BP2109
英文名称:3rd National Standard for Prekallikrein Activator,Human
规格:1.0ml/支
本品为第三代人激肽释放酶原激活剂标准品,由人血白蛋白成品分装冻干而成。用于人血液制品中激肽释放酶原激活剂含量测定。每支标准品用1.0ml无菌水复溶后,人激肽释放酶原激活剂含量为30IU/ml,标准品线性范围在1~5IU/ml之间,稀释后双孔平行作标准曲线,标准品与待测样品同时进行检测,根据标准曲线确定待测样品人激肽释放酶原激活剂的含量。
储存条件:-20℃
大车前苷特价促销,价格合理,售后服务完善,确属质量问题可包换包退,免除您的后顾之忧。工作时间内可免费技术咨询和指导,我们将竭尽我们的全力为您服务,争取包您100%满意,欢迎新老客户来电订购!
北京百莱博科技有限公司专业生产供应销*(代"售")生物试剂、化学试剂、抗原抗体、血清血浆、Elisa试剂盒,更多试剂产品需求,欢迎来电咨询选购大车前苷标准品优惠。
风险提示:丁香通仅作为第三方平台,为商家信息发布提供平台空间。用户咨询产品时请注意保护个人信息及财产安全,合理判断,谨慎选购商品,商家和用户对交易行为负责。对于医疗器械类产品,请先查证核实企业经营资质和医疗器械产品注册证情况。
文献和实验保存 5.准备好所有实验额外所需物品,如试管、吸头、移液器、离心机等 6.根据检测标本数量确定所需试剂的量 7.按说明书将所用试剂平衡至室温,配制所需试剂 8.若有问题,应与我公司或代理商的技术支持联系 博士德生产的ELISA试剂盒特点: 可靠性:博士德公司提供一系列细胞因子和其它蛋白质类ELISA试剂盒。这些试剂盒的标准品、检测抗体和显色剂等辅助试剂/耗材全部为进口产品。其中标准品主要来自SIGMA, R&D和PIERCE公司,保证了定量分析的准确性。检测抗体均已做过特异性和交叉反应的详细
技术资料暂无技术资料 索取技术资料










