相关产品推荐更多 >
万千商家帮你免费找货
0 人在求购买到急需产品
- 详细信息
- 文献和实验
- 技术资料
- 保存条件:
冷藏
- 保质期:
长期
- 英文名:
Plantamajoside
- 库存:
869
- 供应商:
北京百奥莱博科技有限公司
- CAS号:
104777-68-6
特别声明:本产品及我公司所售其他产品均为科研类试剂产品,严禁用于药物、医疗及其他非科研用途。
百奥莱博公司致力于为全国科研单位提供药典标准品、对照品、标准溶液、标准样品、对照培养基、国家标准品等可靠标准物质,其中北京大车前苷标准品促销的品质过硬,在广大科研人员中有口皆碑!
名称:北京大车前苷标准品促销
编号:BP1454
品牌:百奥莱博
产地:国产|进口
规格:约20mg/支
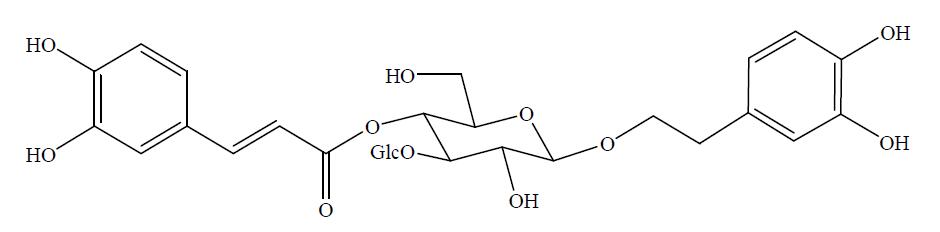
本品为大车前苷化学对照品,供鉴别及含量测定用,含量以90.2%计,使用前不需干燥处理。
CAS号:104777-68-6
分子式:C29H36O16
分子量:640
结构式:

包装:棕色安瓿瓶
规格:约20毫克/支
储存条件:冷冻保存
注意事项:本品不稳定,且有引湿性,打开包装后一次使用完毕。
欲了解更多北京大车前苷标准品促销的品牌、产地、价格及说明书等产品信息,请致电北京百奥莱博科技有限公司,我们将竭诚为您服务,另外,以下产品正在火爆促销:
*酚AS-TR磷酸盐 Dcdp 2616-72-0
BTN130595 双荧光素酶活性检测试剂盒 Dual Luciferase Assay Kit
NF-241 兔抗绵羊红细胞(溶血素)
ARB13045 小鼠尿微量蛋白(mALB)酶联免疫定量检测 Mouse microalbunminuria,malb ELISA KIT
Tris*盐缓冲液(1×,pH7.8) 500ml
117-39-5 槲皮素 Meletin或Sophretin
ARB13492 鸡透明质酸(HA)Elisa定量检测 Chicken hyaluronic acid,ha ELISA KIT
青霉素-链霉素混合溶液 100×双抗 100ml
ARB10814 人抗血小板抗体IgG/M/A(PA-IgG/M/A)含量测试 Human platelet antibodies igg/m/a,pa-igg/m/a ELISA KIT
巴比*(代"妥")*缓冲液(0.1mol/L,pH8.6) 100ml|500ml
4,5-二*基咪唑 5(6)?-?Carboxy-?di-?O-?acetylfluorescein 1122-28-7
BFD059 磺胺类快速检测卡
73049-73-7 蛋白胨
F040322 绵羊IgG抗原 Sheep IgG
CYB164043 人白蛋白-HRP
PY08-061 10%*化*胰蛋白胨大豆肉汤 225ml 20瓶/箱,用于金黄色葡萄球菌的选择性增菌培养
ARB14054 猴载脂蛋白A1(Apo-A1)血清中含量检测 Monkey apoprotein a1,apo-a1 ELISA KIT
E0102 抗凝新生牛血(无菌 袋装)
乳酸脱*酶(LDH)检测试剂盒(二硝基*(代"*")肼微板法) 50T|100T
ARB10455 人生长调节致癌基因β(GRO-β)含量分析 Human growth-regulated oncogeneβ,gro-βELISA KIT
北京大车前苷标准品促销关键词:104777-68-6,大车前苷,Plantamajoside
KT207 2x PCR Reagent
58-58-2 嘌呤霉素
乙酸纤维素薄膜 Xylene cyanole FF
F020209 兔抗小鼠IgG抗体 Rabbit Anti-Mouse IgG
醛试剂 Agar 126-81-8
PY02-284 EC-MUG培养基 100克
1,1,3,3-四乙氧基丙*(代"烷") Acetylthiocholine iodide 122-31-6
ARB13846 猪弓形虫抗原(Tox-Ab)尿液中含量检测
TEA溶液(0.05mol/L) 100ml
BL1048 LB营养琼脂
ARB10887 人抗流行性脑膜炎病毒(PV-Ab)Elisa分析 Human anti-encephalitis virus pv,ep-ab ELISA KIT
Caspase 8 活性检测试剂盒 20T|50T|100T
ARB10806 人抗甲状腺微粒体抗体(ATMA/TMAB)酶联免疫定量检测 Human anti-thyroid microsome antibody,atma/tmab ELISA KIT
甲*(代"酚")红 CAMP 1733-12-6
BTN131090 中性亲和素蛋白 Nuetral Avidin
BTN131080 重组蛋白G Recombinant Protein G
PY01-126 3-吲哚乙酸 1克
BL1300 pUC18
BL1223 GoldViewⅠ型核酸染色剂(10000×)
蚯蚓酶 Trizol Reagent
*化乙锭溶液(EB,RNase free) 1mg/ml|10mg/ml 10ml
北京大车前苷标准品促销关键词:104777-68-6,大车前苷,Plantamajoside
我公司提供多种购买方式:登陆网站联系客服查询!(您可通过电话/传真/QQ/邮件等方式咨询,订购或索取大车前苷最新报价)
我们专业供应科研试剂多年,品质保证 售前,售中,售后服务一条*(代"龙"),无效果、免费退换。您只需告诉我们您的需要或要求,我们的客户服务代表将会给您提供专业的咨询和解答。优质服务让您更省心,更舒心,更放心。敬请关注!
·盐*(代"酸")*哌丁
编号:BP0405
英文名称:Cloperastine Hydrochloride
规格:50mg
本品为盐*(代"酸")*哌丁化学对照品。供TLC鉴别用。
分子式:C20H24ClNO·HCl
分子量:366.33
CAS号:3703-76-2(*哌丁)
包装及装量:棕色小瓶装,每支约50毫克。
储存条件:遮光,密封保存。
注意事项:使用前不需干燥处理。
·苏*酸
编号:BP1158
英文名称:Threonine
规格:100mg
本品为盐*(代"酸")*哌丁化学对照品。供TLC鉴别用。
分子式:C20H24ClNO·HCl
分子量:366.33
CAS号:3703-76-2(*哌丁)
包装及装量:棕色小瓶装,每支约50毫克。
储存条件:遮光,密封保存。
注意事项:使用前不需干燥处理。
·盐*(代"酸")替扎尼定
编号:BP0498
英文名称:Tizanidine Hydrochloride
规格:50mg
本品为盐*(代"酸")*哌丁化学对照品。供TLC鉴别用。
分子式:C20H24ClNO·HCl
分子量:366.33
CAS号:3703-76-2(*哌丁)
包装及装量:棕色小瓶装,每支约50毫克。
储存条件:遮光,密封保存。
注意事项:使用前不需干燥处理。
·莪术二酮
编号:BP1371
英文名称:Curdione
规格:约20mg/支
本品为莪术二酮化学对照品,供鉴别或含量测定用,含量以99.8%计。
分子式:C15H24O2
分子量:236.35
结构式:

包装及装量:棕色安瓿瓶,约20mg/支
储存条件:冷藏保存
注意事项:使用前无需处理,打开包装后一次使用完毕。
·富马酸卢帕他定
编号:BP0899
英文名称:Rupatadine Fumarate
规格:100mg
本品为富马酸卢帕他定化学对照品,供HPLC法测定,按C26H26ClN3·C4H4O4计,含量为99.5%。
分子式:C26H26ClN3·C4H4O4
分子量:532.04
包装及装量:棕色小瓶装,每支约100毫克。
储存条件:遮光,密封,阴凉处保存。
注意事项:105℃干燥2 小时后使用。
附图——富马酸卢帕他定典型图谱:

·酮缬*酸*
编号:BP1900
英文名称:Ketovaline Calcium
规格:220mg/瓶
本品为酮缬*酸*化学对照品,含量以C10H14CaO6计为93.4%,供鉴别与含量测定。
CAS号:51828-94-5
分子式:C10H14CaO6
分子量:270.29
结构式:

包装及装量:2ml棕色西林瓶轧铝盖220mg/瓶。
储存条件:2-8℃保存。
注意事项:使用前不需干燥处理。
大车前苷等试剂产品的使用注意事项:
(1)、所有试剂、溶液以及样品的包装上必须要有标签。标签要完整、清晰,表明试剂的名称、规格、质量。
(2)、溶液除了表明品名外,还应表明浓度、配置日期等。万一标签脱落,应照原样贴牢。决定不允许在容器内装入与标签不相符的物品。
(3)、无标签的试剂必须取小样检定后才可使用。不能使用的化学试剂要慎重处理,不能随意乱倒。为了保证试剂不受污染,应当用清洁的牛角勺或不锈钢小勺从试剂瓶中取出试剂,绝不可以用手抓取。若试剂结块,可用洁净的玻璃棒或瓷药铲将其捣碎后取出。
(4)液体试剂可用洗干净的量筒到取,不要用吸管伸入原试剂中吸取液体。从试剂瓶中取出的、没有用完的声誉药品,不可再倒回原瓶。
我公司以高效的产品质量,完善的销*(代"售")体系、快速、安全的产品渠道,优质的客户服务,以诚信的态度,真诚的对待客户、合作伙伴以及各位同仁,欢迎来电咨询大车前苷!
我公司生产供应销*(代"售")的标准品对照品产品正全系列现货促销,满分期待您的垂询选购北京大车前苷标准品促销。
风险提示:丁香通仅作为第三方平台,为商家信息发布提供平台空间。用户咨询产品时请注意保护个人信息及财产安全,合理判断,谨慎选购商品,商家和用户对交易行为负责。对于医疗器械类产品,请先查证核实企业经营资质和医疗器械产品注册证情况。
文献和实验【求助】克隆100个已知序列的基因于带有绿色荧光蛋白的载体中需要多少时间和经费?
个和12,000个,其中11,000个克隆的表达已经通过Western Blot的验证。这些克隆以2种形式提供:一种是在表达的蛋白C末端带Myc-DDK(即FLAG)标签,一种是带GFP标签。这些cDNA克隆均构建于pCMV6入门载体上,可方便转换至其他目的载体。 按照其网页上的促销价:900RMB/clone × 100 = 9万RMB, 直接买,不用等时间,就可搞定,批量买估计还可以讲价,关键的是品质有保证。 注:非公司托儿,因前段时间帮朋友筹划项目专门研究
至010-80485460或E-mail至 liuyu@genomics.cn。010-80485460或E-mail至liuyu@genomics.cn。培训费用:全程培训(讲座+实验): 3500元/人,学生为 2900元/人。 注:学生报到请带学生证培训费用包含会务费、资料费、餐费。培训期间公司协助安排住宿,费用自理。 三、相关促销政策 参加本届培训班的学员可以享受公司提供的常规技术服务八折优惠。优惠有效时间2013.10.17-2013.12.31 四、汇款信息 账号
北京时间 7 月 12 日,中国科学院深圳先进技术研究院司同课题组与伊利诺伊大学厄巴纳-香槟分校 Jonathan V. Sweedler 教授团队合作,在 FASEB J 国际学术期刊上发表研究论文 Profiling of D-alanine production by the microbial isolates of rat gut microbiota。 文章建立了酶法定性快筛和手性色谱-质谱联用(chiral LC-MS/MS)准确定量的两级分析方法,对 38 株大鼠肠菌产
技术资料暂无技术资料 索取技术资料










