相关产品推荐更多 >
万千商家帮你免费找货
0 人在求购买到急需产品
- 详细信息
- 文献和实验
- 技术资料
- 保存条件:
阴凉干燥
- 保质期:
长期
- 英文名:
Amphotericin B
- 库存:
485
- 供应商:
北京百奥莱博科技有限公司
特别声明:本产品及我公司所售其他产品均为科研类试剂产品,严禁用于药物、医疗及其他非科研用途。
北京百奥莱博公司供应包括北京两性霉素B对照品品牌在内的化学标准品,化学对照品,杂志对照品,HPLC标准品,UV标准品等高品质标准品、对照品
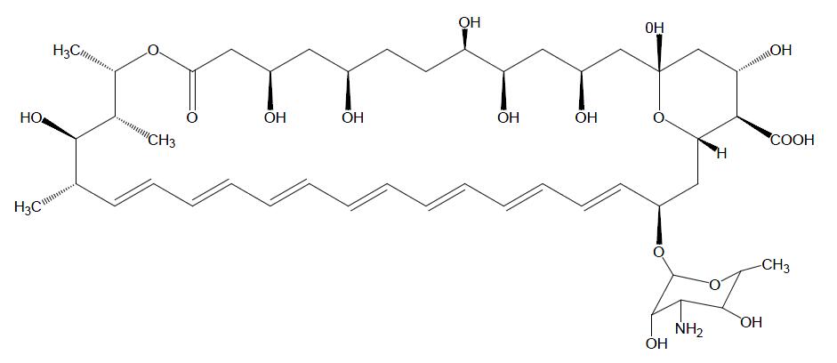
名称:两性霉素B
编号:BP1737
英文名:Amphotericin B
产地:国产|进口
本品为两性霉素B化学对照品,供HPLC含量测定用,以C47H73NO17计含量为88.4%,使用前不需干燥处理。
分子式:C47H73NO17
分子量:924.09
结构式:

包装:棕色安瓿
规格:约50mg/支
储存条件:2-8℃遮光保存
注意事项:本品溶液建议配制后立即使用。
关键词:BP1737,Amphotericin B,两性霉素B
更多有关北京两性霉素B对照品品牌的价格及使用说明等,请联系我们的业务经理王欣女士咨询,我公司还销*(代"售")以下产品:
| 编号 | 名称 |
| BP0042 | 马来酸**那敏 |
| BP0899 | 富马酸卢帕他定 |
| BP2177 | 邻*二甲*(代"酸")二异戊酯 |
| BP1488 | 新品红 |
| BP0651 | 乙酰谷酰胺 |
| BP1194 | 反丁烯二酸(富马酸) |
| BP0338 | **蝶啶 |
| BP2082 | 环甲基硅酮4 |
| BP0143 | 丙谷胺 |
| BP1070 | 青藤碱 |
| BP1393 | 去甲异波尔定 |
| BP1657 | 头孢米诺 |
| BP0133 | 盐*(代"酸")异丙肾上腺素 |
| BP1906 | 3’-去氧肌苷 |
| BP0700 | 三尖杉宁碱(紫杉醇杂质I) |
| BP1183 | 木犀草素 |
| BP1882 | L-肌肽 |
| BP1012 | 盐*(代"酸")*己新杂质F |
| BP1670 | 麦迪霉素 |
| BP1311 | 竹节香附素A |
| BP0743 | 利可君 |
| BP1309 | 升麻素 |
| BP1808 | 前列地尔 |
| BP1996 | 二缩三丙二醇 |
| BP2169 | 莫西沙星杂质I |
| BP0753 | 艾拉莫德 |
| BP0326 | 芬布芬 |
| BP1663 | 地红霉素 |
| BP1557 | 卡那霉素 |
| BP0077 | 酚酞 |
| BP0411 | 果糖二磷酸* |
| BP0226 | 吉非罗齐 |
| BP1574 | 阿奇霉素 |
| BP1527 | 异贝壳杉烯酸 |
风险提示:丁香通仅作为第三方平台,为商家信息发布提供平台空间。用户咨询产品时请注意保护个人信息及财产安全,合理判断,谨慎选购商品,商家和用户对交易行为负责。对于医疗器械类产品,请先查证核实企业经营资质和医疗器械产品注册证情况。
文献和实验SPB-50型中等极性柱 醇,香料,咖啡,食品添加剂等。 (键合,50%二苯基,50%二甲基聚硅氧烷) 对照品牌:HP-50,HP-17,DB-17,RTx-50,AT-50 SPB-5型弱极性柱 类似固定相:OV-17,SP-2250,使用温度:30℃-310℃ (键合,5%苯基,95%甲基聚硅氧烷) 应用范围:烷烃,低沸点芳烃,多环芳烃,醇,甘 对照品牌:HP-5,DB-5,BP-5,CP-SIL
一、 SPB-1型非极性柱(键合,聚二甲基硅氧烷) 对照品牌:HP-1,DB-1,BP-1,CP-SIL 5CB,UItra-1,007-1,RTx-1,AT-1 类似固定相:SE-30,SP-2100,OV-1,OV-101 使用温度:-60℃-320℃ 应用范围:烷烃,芳烃,多环芳烃,醇,酚,酮,酯,醛,胺,卤代
一、对起草单位的要求: 1.HPLC法用于药品的有关物质检查或含量测定时,需提供建立HPLC法的依据及参考文献。 2.应对建立的方法进行论证,按照中国药典2000年版第二部凡例与附录收载的药品质量标准分析方法验证项下所列的要求进行试验。 3.建立方法时,应考虑下列事项: ①首选填料为十八烷基键合硅胶,并至少对两根不同品牌的色谱柱进行比较试验,其中一根为国产柱。 ②流动相首选甲醇-水系统,应尽可能少用含有缓冲液的流动相,如为碱性
技术资料暂无技术资料 索取技术资料










