万千商家帮你免费找货
0 人在求购买到急需产品
- 详细信息
- 文献和实验
- 技术资料
- 库存:
560
- 英文名:
Sodium Gluconate
- CAS号:
527-07-1
- 保质期:
长期
- 供应商:
北京百奥莱博科技有限公司
- 保存条件:
遮光,密闭,10~30℃
特别声明:本产品及我公司所售其他产品均为科研类试剂产品,严禁用于药物、医疗及其他非科研用途。
百奥莱博公司致力于为全国科研单位提供药典标准品、对照品、标准溶液、标准样品、对照培养基、国家标准品等可靠标准物质,其中北京葡萄糖酸*标准品价格的品质过硬,在广大科研人员中有口皆碑!
名称:北京葡萄糖酸*标准品价格
产地:国产|进口
品牌:百奥莱博
编号:BP0568
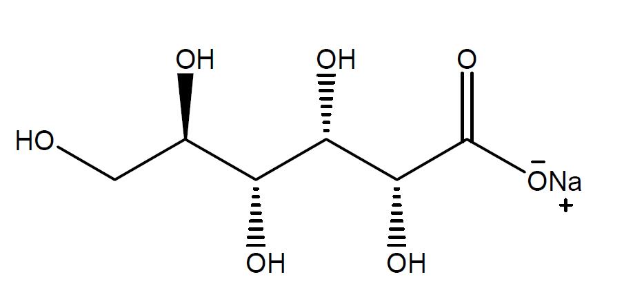
本品为葡萄糖酸*化学对照品,使用前不需干燥处理,供HPLC法测定,按C6H11NaO7计,含量为99.4%。
CAS号:527-07-1
分子式:C6H11NaO7
分子量:218.14
结构式:

包装:棕色小瓶装
规格:每支约100毫克。
储存条件:遮光,密闭,10~30℃干燥处保存。
北京葡萄糖酸*标准品价格极具性价比,此外,我公司正火爆促销以下产品:
J0314 山羊抗人IgM(H+L)抗血清
F030839 BIOTIN标记山羊抗人IgG Fab抗体 Polyclonal Goat Anti-Human IgG Fab*BIOTIN
3-(环己*基)2-羟基-1-丙磺酸*盐 2-Hydroxy-1-naphthoic acid 102601-34-3
P:C(25:24,pH﹥7.8) 100ml
四盐*(代"酸")精胺 DL3000 DNA Marker 306-67-2
D-*甘*酸 RNA 875-74-1
ARB13498 鸡流行性乙型脑炎抗体IgG(JE IgG)Elisa定量检测 Chicken japanese encephalitis igg,je igG ELISA KIT
*甲*(代"酚")紫* Maltose 62625-30-3
丙*(代"烯")酰胺 Thionin 79-06-1
CYB163065 兔抗豚鼠IgG-FITC
320-95-4 脱氧胆酸* Deoxycholic acidsodiu*(代"m") salt
73049-73-7 胰蛋白胨 Tryptone
Earle"s平衡盐溶液(无**糖,含酚红) 1×EBSS|10×EBSS 500ml
9007-71-9 Casein 酪蛋白
86-87-3 NAA α*乙酸
ARB12710 大鼠磷脂酶C(PLC)ELISA代测服务 Ratphospholipase c,plc ELISA KIT
DAB法显色试剂盒"
9012-90-2 Taq DNA 聚合酶
5-胞苷三磷酸三*盐 Acridine red 123334-07-6
PY02-343 CIN-Ⅰ培养基基础 250克
ARB13621 兔子促黄体激素(LH)代做ELISA实验 Rabbit luteotropic hormone,lh ELISA KIT
北京葡萄糖酸*标准品价格关键词:527-07-1,葡萄糖酸*,Sodium Gluconate
滑石粉 BES sodiu*(代"m") salt 14807-96-6
多聚甲醛溶液(6% PFA) 500ml
*化溶菌酶 Tannase 9066-59-5
ARB10675 人血管紧张素Ⅵ(ANGⅥ)elisa检测
石蜡包埋组织DNA快速提取试剂盒
ARB11207 人组蛋白H2b(Histon-H2b)血清中含量检测 Human Histon-h2b ELISA KIT
D-正亮*酸 DL-Trytophan 327-56-0
ZCNXQ04 特级胎牛血清 500ml
双[三(羟甲基)*基丙*(代"烷")] MOPS 64431-96-5
L-酪*酸 L-Glutamic acid 60-18-4
2-磺基*甲*(代"酸")酐 Potassium pyroantimonate 81-08-3
ARB11314 人促胰液素/分泌素受体(SR)免费代测 Human secretin receptor,sr ELISA KIT
聚乙*(代"烯")醇甘油封片剂 5ml|10ml
北京葡萄糖酸*标准品价格关键词:527-07-1,葡萄糖酸*,Sodium Gluconate
葡萄糖酸*上架一个月之内参与新品促销活动,新老客户订购此产品均可享受会员优惠,若您是我们的诚信会员,还可享受我司的VIP专线服务与优惠,欢迎来电咨询、订购您所需产品。
·盐*(代"酸")非那吡*(代"啶")
编号:BP0598
规格:100mg
·α-对羟基*甘*酸
编号:BP1616
英文名称:α-p-hydroxyphenylglycine
规格:30mg
本品为α-对羟基*甘*酸化学对照品,供有关物质测定用。
使用方法:精密称取本品适量,按相关质量标准溶解并稀释至所需浓度的对照品溶液,立即使用。
储存条件:置 5℃以下低温避光保存。开启安瓿后严密保持干燥,以防吸水。
注意事项:使用前不需干燥处理。
·呱西替柳杂质A(水杨酸愈创木酚酯)
编号:BP0719
英文名称:Guaiacol salicylate
规格:50mg
本品为α-对羟基*甘*酸化学对照品,供有关物质测定用。
使用方法:精密称取本品适量,按相关质量标准溶解并稀释至所需浓度的对照品溶液,立即使用。
储存条件:置 5℃以下低温避光保存。开启安瓿后严密保持干燥,以防吸水。
注意事项:使用前不需干燥处理。
·吗替麦考酚酯杂质A
编号:BP0960
英文名称:Mycophenolate Mofetil Impurity A〔2-(morpholin-4-yl)ethyl(4E)-6-(4,6-dihydroxy-7-methyl-3-oxo-1,3-dihydroisobenzofuran-5-yl)-4-methylhex-4-enoate〕
规格:20mg/支
本品为吗替麦考酚酯杂质A化学对照品,使用前不需干燥处理,供HPLC法系统适用性试验用。
分子式:C22H29NO7
分子量:419.47
包装:棕色西林瓶
规格:约20毫克/支
储存条件:遮光,密闭,10~30℃保存。
·*乙酰谷*酰胺
编号:BP1870
英文名称:Phenylacetyl Glutamine
规格:40mg/支
本品为*乙酰谷*酸胺化学对照品,供尿多酸肽及制剂HPLC鉴别与含量测定用。使用前60℃减压干燥4小时。
分子式:C13H16N2O4
分子量:264.28
结构式:

包装:西林瓶
规格:每支约40mg
储存条件:密封4℃保存
我公司生化试剂产品种类丰富,涵盖溶剂、培养基、*基酸及其衍生物、组织学试剂、电泳试剂、核苷酸及其衍生物、糖类、纯化试剂、分子生物学用试剂、抗生素、生物缓冲试剂、染色剂、葡萄糖酸*等。我公司作为一家以客户为中心的生产厂家和全球分销商,生产经营品种齐全的高质量化学品,实验室耗品和器材。在百奥莱博,质量是我们第一关注的要点。欢迎咨询选购!
葡萄糖酸*由我公司长期专业供应,公司为广大顾客提供 葡萄糖酸*产品说明,生产厂家,价格,规格,哪里买 。公司遵循高品质的产品,高质量的技术服务,合理的价格,是国内研发与生产,销*(代"售")合为一体的一家大型企业,我们承诺:以最少的经费,最高的效率,得到您最需要的实验结果,同时我们承诺,若有质量问题,无条件退换。
北京百莱博科技有限公司专业生产标准品对照品产品,欢迎来电咨询选购北京葡萄糖酸*标准品价格。
风险提示:丁香通仅作为第三方平台,为商家信息发布提供平台空间。用户咨询产品时请注意保护个人信息及财产安全,合理判断,谨慎选购商品,商家和用户对交易行为负责。对于医疗器械类产品,请先查证核实企业经营资质和医疗器械产品注册证情况。
文献和实验北京时间 7 月 12 日,中国科学院深圳先进技术研究院司同课题组与伊利诺伊大学厄巴纳-香槟分校 Jonathan V. Sweedler 教授团队合作,在 FASEB J 国际学术期刊上发表研究论文 Profiling of D-alanine production by the microbial isolates of rat gut microbiota。 文章建立了酶法定性快筛和手性色谱-质谱联用(chiral LC-MS/MS)准确定量的两级分析方法,对 38 株大鼠肠菌产
了此抗体检测标准系统,完成了标准阳性血清中特异性抗Hp尿素酶抗体的定量工作。 1 材料和方法 1.1 材料 抗Hp抗体阳性及阴性血清各50份,经实验室酶联免疫吸附实验(ELISA)和免疫印迹分析(Western blots)证实。10736份其它血清采自北京和河南的四个人群现场。Hp尿素酶抗原(HpU)由本实验室分离纯化。酶标板采用美国Linbro/Titertek酶标板。IgG标准品购自百泰生物技术公司,为日本北里研究所产品,IgG含量为15.5g/L。参考血清由多份抗
检测站抽样样品另加4O×0.000001浓度的DM.A。 1.2 主要药品及仪器 硅胶G:青岛海洋化工有限公司制造(CP)。DM.A标准品:中国兽医药品监察所提供。0.25%茚三酮溶液:0.25 g茚三酮溶于100 ml95%乙醇中,避光保存。0.1%蒽酮溶液:0.1g蒽酮溶于100ml浓硫酸中,现配现用。邻苯二甲醛溶液:0.2 g邻苯二甲醛溶于4O ml pHl0乙醇中加2-巯基乙醇0.4 mlpHl0乙醇:5Oμl 45%NaOH水溶液加到195 ml95%乙醇中制得。
技术资料暂无技术资料 索取技术资料










