相关产品推荐更多 >
万千商家帮你免费找货
0 人在求购买到急需产品
- 详细信息
- 文献和实验
- 技术资料
- 库存:
949
- 英文名:
Tenacigenoside A
- CAS号:
920502-42-7
- 保质期:
长期
- 供应商:
北京百奥莱博科技有限公司
- 保存条件:
常温
特别声明:本产品及我公司所售其他产品均为科研类试剂产品,严禁用于药物、医疗及其他非科研用途。
百奥莱博公司致力于为全国科研单位提供药典标准品、对照品、标准溶液、标准样品、对照培养基、国家标准品等可靠标准物质,其中通光散苷A对照品大量库存促销的品质过硬,在广大科研人员中有口皆碑!
名称:通光散苷A对照品大量库存促销
产地:国产|进口
英文名:Tenacigenoside A
品牌:百奥莱博
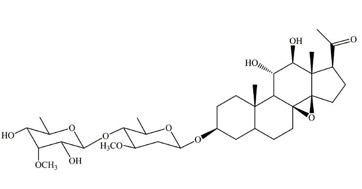
本品为通光散苷A化学对照品,供鉴别和含量测定用,含量以98.8%计。
CAS号:920502-42-7
分子式:C35H56O12
分子量:668.81
结构式:

包装及装量:棕色安瓿瓶,约20mg/支
储存条件:常温干燥、密闭遮光保存。
注意事项:使用前无需处理。
欲咨询购买通光散苷A对照品大量库存促销,请致电北京百奥莱博科技有限公司,为您提供最全面周到的产品服务,除此之外,我公司正在促销以下产品:
·乙酰缬草三酯
编号:BP1403
英文名称:Acevaltrate
规格:10mg
本品为乙酰缬草三酯化学对照品,供相关物质鉴别用,使用前无需处理。
CAS号:25161-41-5
分子式:C24H32O10
分子量:480
结构式:

包装及装量:棕色西林瓶,约10mg/支
储存条件:冷冻遮光保存。
·门冬*酸鸟*酸
编号:BP1872
英文名称:Ornithine Aspartate
规格:50mg/瓶
本品为门冬*酸鸟*酸化学对照品,含量以C9H19N3O6计为96.6%,供门冬*酸鸟*酸鉴别使用,以及门冬*酸鸟*酸制剂的含量测定使用。
CAS号:3230-94-2
分子式:C9H19N3O6
分子量:265.27
结构式:

包装:棕色西林瓶
装量:50mg/瓶
储存条件:4℃
·杆菌肽
编号:BP1558
英文名称:Bacitracin
规格:100mg
本品为杆菌肽标准品,供抗生素微生物效价测定用,使用前不需干燥处理。
CAS号:1405-87-4
包装:白色安瓿
规格:约100毫克/支
储存条件:2-8℃保存
·D-无水葡萄糖
编号:BP1118
英文名称:D-Glucose anhydrous
规格:100mg/支
本品为D-无水葡萄糖化学对照品,供含量测定用,含量以99.9%计,使用前不需干燥处理。
CAS号:50-99-7
分子式:C6H12O6
分子量:180.16
结构式:

包装:棕色安瓿瓶
规格:约100mg/支
储存条件:冷处(2-10℃)保存
通光散苷A对照品大量库存促销关键词:通光散苷A,920502-42-7,Tenacigenoside A
我公司在保证产品质量的同时,以价格优、到货快、服务周到,致力于通光散苷A的研发、销*(代"售")。售前、售中、售后免费技术指导,质量保证,可放心购买!
3,3-二*基联*(代"*")*(代"胺")四盐*(代"酸")盐 Resazurin sodiu*(代"m") salt 868272-85-9
*化*(代"*")溶液(1mol/L) 500ml
"
ARB13422 鸡β内酰胺酶(β-lActAmAse)Elisa定量检测 Chicken β-lactamase ELISA KIT
HEPES溶液(pH6.8-8.0) 1mol/L 100ml
73049-73-7 胰蛋白胨 Tryptone
ARB12556 大鼠脂多糖结合蛋白(LBP)酶标法分析 Rat lipolysaccharide binding protein,lbp ELISA KIT
纤粘连蛋白 QAE Sephadex A-25 86088-83-7
D-葡萄糖-1-磷酸二* Bleomycin sulfate 150399-99-8、56401-20-8
5486-84-0 固蓝BB盐 Fast Blue BB Salt
SJ0733 鸡细胞分离液
BTN60705 一管式植物DNAOUT One-Tube Plant DNAOUT
BOC-L-*甘*酸 Diaphorase 2900-27-8
BTN130621 Taq DNA连接酶 Taq DNA Ligase
ARB13445 鸡白介素2(IL-2)elisa检测说明书 Chicken interleukin 2,IL-2 ELISA KIT
氧化型谷胱甘肽(GSSG)检测试剂盒(DTNB速率比色法) 100T
ARB10037 人I型胶原(Col I)含量分析 Human collagen type i,col i ELISA KIT
L-天门冬*酸* Eosin B 39162-75-9
福尔马林固定液(10%,RNase free) 500ml
ARB14216 人核因子κB受体活化因子配基(RANKL)含量检测
通光散苷A对照品大量库存促销关键词:通光散苷A,920502-42-7,Tenacigenoside A
我公司生产的通光散苷A纯度高价格低,质量有保证,客户更放心。我们为科研用户提供上千种生物试剂现货及sigma全线产品原装期货,货期短,价格低,质量好。用我们100%的真诚、热情换取您100%的信任与支持!
·丹蒽醌
编号:BP0314
规格:100mg
·(+)2-*基丁醇
编号:BP0003
英文名称:(+)2-Aminobutanol
规格:100mg/支
本品为(+)2-*基丁醇。供盐*(代"酸")乙*(代"胺")丁醇品种(+)2-*基丁醇项下TLC法检查用。
分子式:C4H11NO
分子量:89.1
CAS号:5856-63-3
包装:棕色安瓿
规格:约100mg/支
储存条件:置常温遮光保存。
·2-乙基己酸
编号:BP1696
英文名称:2-Ethylhexanoic Acid
规格:0.5ml
本品为2-乙基己酸化学对照品,供GC法检查2-乙基己酸残留量用。
使用方法:精密量取本品适量,按有关的质量标准要求使用。
储存条件:置5℃低温避光保存。
·双硫化合物
编号:BP0449
英文名称:2,2’-(disulfanediyl)bis(ethanesulfonic acid)
规格:50mg
本品为双硫化合物化学对照品,供TLC检查用,使用前不需干燥处理。
CAS号:45127-11-5
分子式:C4H10O6S4
分子量:282.38
包装及装量:棕色安瓿瓶装,每支约50毫克。
储存条件:避光,密封保存。
注意事项:使用前不需干燥处理。
·维A酸
编号:BP0245
英文名称:Tretinoin
规格:100mg/支
本品为维A酸的化学对照品,供含量测定用,使用前不需干燥处理。按C20H28O2计,供HPLC法测定,含量为99.9%,供UV法测定,含量为100.0%。
分子式:C20H28O2
结构式:

分子量:300.44
CAS号:302-79-4
包装:棕色安瓿瓶
规格:约100毫克/支
储存条件:遮光,密封,冷处保存。
·诺*沙星杂质A
编号:BP1726
英文名称:Norfloxacin impurity A
规格:50mg/支
本品为诺*沙星杂质A化学对照品,供HPLC法有关物质测定用,以C12H9ClFNO3计,含量为99.7%,使用前不需干燥处理。
分子式:C12H9ClFNO3
分子量:269.0
结构式:

包装:安瓿熔封
规格:50mg/支
储存条件:2-8℃遮光保存。
通光散苷A特价促销,价格合理,售后服务完善,确属质量问题可包换包退,免除您的后顾之忧。工作时间内可免费技术咨询和指导,我们将竭尽我们的全力为您服务,争取包您100%满意,欢迎新老客户来电订购!
北京百莱博科技有限公司专业生产供应销*(代"售")生物试剂、化学试剂、抗原抗体、血清血浆、Elisa试剂盒,更多试剂产品需求,欢迎来电咨询选购通光散苷A对照品大量库存促销。
风险提示:丁香通仅作为第三方平台,为商家信息发布提供平台空间。用户咨询产品时请注意保护个人信息及财产安全,合理判断,谨慎选购商品,商家和用户对交易行为负责。对于医疗器械类产品,请先查证核实企业经营资质和医疗器械产品注册证情况。
文献和实验。 第二节 细胞培养基的基本要求 体外培养的细胞直接生活在培养基中,因此培养基应能满足细胞对营养成分、促生长因子、激素、渗透压、pH等诸多方面的要求。 一、营养成分 维持细胞生长的营养条件一般包括以下几个方面: 1、氨基酸:是细胞合成蛋白质的原料。所有细胞都需要12种必须氨基酸:缬氨酸、亮、异亮、苏、赖、色、苯丙、蛋、组、酪、精氨酸、胱氨酸。此外还需要谷氨酰胺,它在细胞代谢过程中有重要作用,所含的氮是核酸中嘌令和嘧啶合成的来源,同样也是合成三、二、一磷酸酰苷所需要的基本物质。 体外
技术资料暂无技术资料 索取技术资料









