相关产品推荐更多 >
万千商家帮你免费找货
0 人在求购买到急需产品
- 详细信息
- 技术资料
- 库存:
664
- 英文名:
Ursodeoxycholic acid
- CAS号:
128-13-2
- 保质期:
长期
- 供应商:
北京百奥莱博科技有限公司
- 保存条件:
冷处(2-10℃
特别声明:本产品及我公司所售其他产品均为科研类试剂产品,严禁用于药物、医疗及其他非科研用途。
北京熊去氧胆酸标准品价格厂家由专业试剂供应商北京百奥莱博提供,用于科研目的生化试验项目,本产品质量好,且极具价格优势,深为用户称道,了解更多熊去氧胆酸等标准品对照品产品请联*(代"系")我司咨询订购。
名称:北京熊去氧胆酸标准品价格厂家
产地:国产|进口
品牌:百奥莱博
英文名:Ursodeoxycholic acid
规格:约20mg/支
编号:BP1052
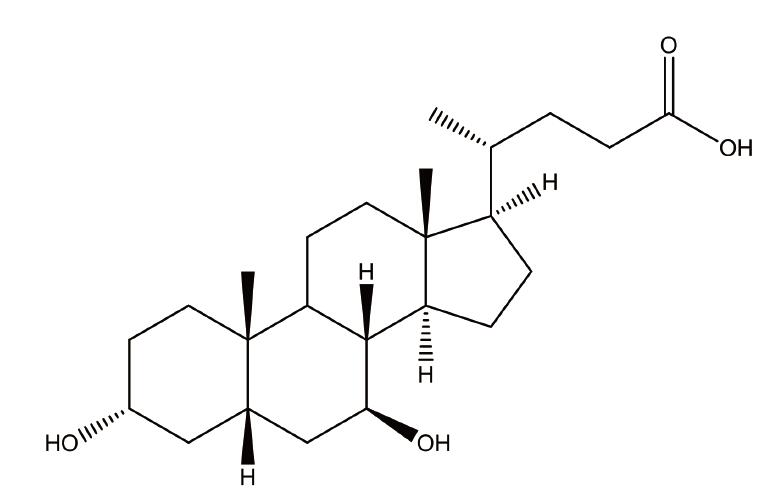
本品为熊去氧胆酸化学对照品,供鉴别或含量测定用,含量99.4%。置五氧化二磷干燥器中减压干燥12小时后使用。
CAS号:128-13-2
分子式:C24H40O4
分子量:392.57
结构式:

包装:棕色安瓿
装量:约20mg/支
储存条件:冷处(2-10℃)保存
北京熊去氧胆酸标准品价格厂家极具性价比,此外,我公司正火爆促销以下产品:
·小豆蔻明
编号:BP1060
英文名称:Cardamonin
规格:20mg/支
本品为小豆蔻明化学对照品,供薄层鉴别及含量测定用,使用前不需干燥处理。含量以99.8%计。
CAS号:19309-14-9
分子式:C16H14O4
分子量:270.28
结构式:

包装:棕色安瓿瓶
装量:约20mg/支
储存条件:冷处(2-10℃)保存
·达那唑
编号:BP0100
英文名称:Danazol
规格:100mg
本品为达那唑(Danazol)化学对照品。按C22H27NO2计,供HPLC法测定,含量为99.2%;供UV法测定,含量为99.9%。
分子式:C22H27NO2
分子量:337.46
CAS号:17230-88-5
包装及装量:棕色小瓶装,每支约100毫克。
储存条件:遮光,密封保存。
注意事项:使用前不需干燥处理。
·阿替洛尔
编号:BP0091
英文名称:Atenolol
规格:100mg/支
本品为阿替洛尔(Atenolol)的化学对照品,105℃干燥2小时后使用,按C14H22N2O3计,供HPLC法测定,含量为99.7%;供UV法测定,含量为99.9%。
分子式:C14H22N2O3
分子量:266.34
CAS号:29122-68-7
包装:棕色西林瓶。
规格:约100mg/支。
储存条件:遮光,密闭,10~30℃保存。
·盐*(代"酸")平阳霉素
编号:BP1609
英文名称:Bleomycin A5 Hydrochloride
规格:8mg
本品为盐*(代"酸")平阳霉素化学对照品,供盐*(代"酸")平阳霉素品种高效液相含量测定用,含量以盐*(代"酸")平阳霉素(C57H89N19O21S2·nHCl)计。
使用方法:精密称取适量,按质量标准所规定的方法,配制至所需浓度的对照品溶液,立即使用。
储存条件:置 5℃以下条件低温避光保存。启开安瓿后严密保持干燥以防吸水。
注意事项:使用前不需干燥处理。
北京熊去氧胆酸标准品价格厂家关键词:128-13-2,熊去氧胆酸,Ursodeoxycholic acid
·β-多西环素
编号:BP1592
英文名称:6-epidoxycycline
规格:50mg/支
本品为β-多西环素标准品,供含量及有关物质检查项下系统适用性实验用,使用前不需干燥处理。
分子式:C22H24N2O8
分子量:444.1
结构式:

包装:棕色安瓿
规格:约50mg/支
储存条件:2-8℃遮光保存。
·青阳参苷元
编号:BP1224
英文名称:Cynanchagenin
规格:20mg
本品为β-多西环素标准品,供含量及有关物质检查项下系统适用性实验用,使用前不需干燥处理。
分子式:C22H24N2O8
分子量:444.1
结构式:

包装:棕色安瓿
规格:约50mg/支
储存条件:2-8℃遮光保存。
·月桂酰聚氧乙*(代"烯")(6)甘油酯
编号:BP2085
英文名称:Lauroyl Macrogolglycerides(6)
规格:50mg/瓶
本品为月桂酰聚氧乙*(代"烯")(6)甘油酯化学对照品,仅供月桂酰聚氧乙*(代"烯")(6)甘油酯品种项下红外鉴别和薄层色谱鉴别用。
包装:棕色西林瓶
规格:约50mg/瓶
储存条件:阴凉处遮光保存
注意事项:建议打开包装一次性使用完
·银杏内酯A
编号:BP1138
英文名称:Ginkgolide A
规格:约20mg/支
本品为银杏内酯A化学对照品,供鉴别和含量测定用,含量以97.4%计,使用前不需干燥处理。
CAS号:15291-75-5
分子式:C20H24O9
分子量:408.40
结构式:

包装:棕色安瓿
规格:约20mg/支
储存条件:冷冻保存
北京熊去氧胆酸标准品价格厂家关键词:128-13-2,熊去氧胆酸,Ursodeoxycholic acid
我公司先后与天津中医学院、北京军区总医院、复旦大学、北京大学、上海交通大学、华东师范大学、第二军医大学、南京大学、清华大学、复兴医院、南京工业大学、301医院、中科院上海分院等多家单位建立了良好的合作关系。本公司可为您提供高品质的熊去氧胆酸等科研试剂。 公司秉承“专注品质、信守承诺、积极沟通、创新服务”的企业文化积极参与生物领域的技术创新和技术服务,力求为我国科研事业更好的,更专业的服务!
·盐*(代"酸")*环壬酯杂质
编号:BP0549
英文名称:Phencynonate Hydrochloride impurity
规格:50mg
·鼠李糖
编号:BP1289
英文名称:Rhamnose
规格:约50mg/支
本品为鼠李糖化学对照品,使用前不需干燥处理。
CAS号:10030-85-0
分子式:C6H12O5
分子量:164.07
结构式:

包装:棕色瓶
规格:约50毫克/支
储存条件:冷处(2~10℃)保存
·异鼠李素
编号:BP1136
英文名称:Isorhamnetin
规格:20mg/支
本品为异鼠李素化学对照品,供鉴别或含量测定用,含量以99.8%计,使用前不需干燥处理。
CAS号:480-19-3
分子式:C16H12O7
分子量:316.26
结构式:

包装:棕色安瓿瓶
规格:约20mg/支
储存条件:冷处(2-10℃)保存
·枸橼酸
编号:BP0313
英文名称:Citric Acid
规格:200毫克/支
本品为枸橼酸化学对照品,供含量测定用。105℃干燥2小时后使用。按C6H8O7计,含量为100.0%。
CAS号:77-92-9
分子式:C6H8O7
分子量:192.12
包装:棕色西林瓶。
规格:约200毫克/支。
储存条件:遮光,密闭,10~30℃保存。
注意事项:本品高湿度易潮解,建议环境RH70%以下一次性使用完毕。
·呋*(代"喃")妥因
编号:BP0850
英文名称:Nitrofurantoin
规格:100mg
本品为呋*(代"喃")妥因化学对照品,供高效液相含量测定用,含量以呋*(代"喃")妥因(C8H6N4O5)计,使用前不需要干燥处理。
1、储存条件:置5℃以下条件低温避光保存。启开安瓿后密闭保持干燥以防吸水。
2、使用方法:精密称取适量,按标准规定的方法,配制至所需浓度的对照品溶液,立即使用。
熊去氧胆酸的纯度及用途:纯度高质含量低,适用于研究和配制标准液; 纯度较高,杂质含量较低,适用于定性和定量分析 重量略低于二级试剂,用途近似二级试剂 化学试剂按纯度由低到高可分为工业纯、实验纯(LR)、化学纯(CP)、分析纯(AR)、优级纯(GR)和超纯等多种规格。
我公司所售商品均为100%厂家供货,品质保证,价格优惠!
1.试剂包装:1g、5g、10g、25g、100g、500g等不同包装,欢迎来电咨询:熊去氧胆酸,生化试剂
2.试剂纯度:97%-99%以上
3.库存均有现货。
4.产品订购以订货当日最新价格为准。
5.所有产品为确保质量,出库均复检。
我公司生产供应销*(代"售")的标准品对照品正全品类优惠促销,十分期待您的咨询选购北京熊去氧胆酸标准品价格厂家。
风险提示:丁香通仅作为第三方平台,为商家信息发布提供平台空间。用户咨询产品时请注意保护个人信息及财产安全,合理判断,谨慎选购商品,商家和用户对交易行为负责。对于医疗器械类产品,请先查证核实企业经营资质和医疗器械产品注册证情况。
技术资料暂无技术资料 索取技术资料









