万千商家帮你免费找货
0 人在求购买到急需产品
- 详细信息
- 技术资料
- 保存条件:
阴凉干燥
- 保质期:
长期
- 英文名:
Ipratropium Bromide
- 库存:
426
- 供应商:
北京百奥莱博科技有限公司
特别声明:本产品及我公司所售其他产品均为科研类试剂产品,严禁用于药物、医疗及其他非科研用途。
北京百奥莱博公司供应包括异丙托*铵标准品说明书在内的化学标准品,化学对照品,杂志对照品,HPLC标准品,UV标准品等高品质标准品、对照品
名称:异丙托*铵标准品说明书
英文名:Ipratropium Bromide
产地:国产|进口
编号:BP0400
规格:100mg
品牌:百奥莱博
我公司的异丙托*铵标准品说明书,性价比高,货期短,送货上门,欢迎您来电咨询购买,另外,我公司还生产供应销*(代"售")下列产品:
·月桂酰聚氧乙*(代"烯")(6)甘油酯
编号:BP2085
英文名称:Lauroyl Macrogolglycerides(6)
规格:50mg/瓶
本品为月桂酰聚氧乙*(代"烯")(6)甘油酯化学对照品,仅供月桂酰聚氧乙*(代"烯")(6)甘油酯品种项下红外鉴别和薄层色谱鉴别用。
包装:棕色西林瓶
规格:约50mg/瓶
储存条件:阴凉处遮光保存
注意事项:建议打开包装一次性使用完
·咪喹莫特
编号:BP0488
英文名称:Imiguimode
规格:100mg
本品为月桂酰聚氧乙*(代"烯")(6)甘油酯化学对照品,仅供月桂酰聚氧乙*(代"烯")(6)甘油酯品种项下红外鉴别和薄层色谱鉴别用。
包装:棕色西林瓶
规格:约50mg/瓶
储存条件:阴凉处遮光保存
注意事项:建议打开包装一次性使用完
·十一酸睾酮
编号:BP0195
英文名称:Testosterone Undecanoate
规格:100mg
本品为十一酸睾酮的化学对照品,供HPLC法含量测定用,含量为99.7%。
分子式:C30H48O3
分子量:456.71
CAS号:5949-44-0
包装及装量:棕色小瓶装,每支约100毫克。
储存条件:遮光,密封保存。
注意事项:使用前不需干燥处理
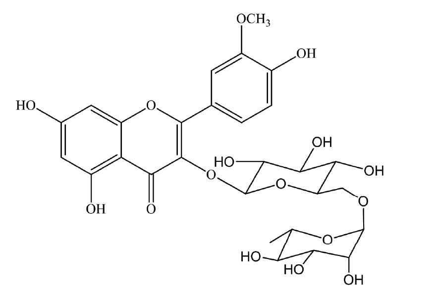
·水仙苷
编号:BP1525
英文名称:Narcissoside
规格:20mg/支
本品为水仙苷化学对照品,供含量测定用,含量93.1%计,使用前不需干燥处理。
CAS号:604-80-8
分子式:C28H32O16
分子量:624.54
结构式:

包装:棕色安瓿瓶
规格:约20mg/支
储存条件:冷处(2-10℃)保存
注意事项:本品具有引湿性,建议打开包装一次性使用完。
·异维A酸
编号:BP0183
英文名称:Isotretinoin
规格:100mg/支
本品为异维A酸的化学对照品,供含量测定用,使用前不需干燥处理。按C20H28O2计,供HPLC法测定,含量为99.7%,供UV法测定,含量为99.9%。
分子式:C20H28O2
结构式:

分子量:300.44
CAS号:4759-48-2
包装:棕色西林瓶装
规格:100毫克/支。
储存条件:遮光,充惰性气体,2~8℃密闭保存。
注意事项
异丙托*铵标准品说明书关键词:异丙托*铵,BP0400,Ipratropium Bromide
异丙托*铵上架一个月之内参与新品促销活动,新老客户订购此产品均可享受会员优惠,若您是我们的诚信会员,还可享受我司的VIP专线服务与优惠,欢迎来电咨询、订购您所需产品。
ARB10512 人白细胞介素29(IL-29)含量检测 Human interleukin 29,IL-29ELISA KIT
ARB11326 人胆碱磷酸甘油酯(PC/CPG)Elisa定量检测 Human choline phosphoglyceride,pc/cpg ELISA KIT
BTN120309 T3 RNA聚合酶 T3 RNA Polymerase
2-羟基*乙酸 L-Phenylalaninol 614-75-5
BOC-O-苄基-L-酪*酸 CIP 2130-96-3
37348-90-4 两性电解质6-9
ARB14064 蝶蛹金小蜂卵黄蛋白原(vtg)Elisa定量检测 Nasoniavitripennis vitellogenin,vtg ELISA KIT
蒽酮 Sulfamethazine 90-44-8
ARB12556 大鼠脂多糖结合蛋白(LBP)代做ELISA实验 Rat lipolysaccharide binding protein,lbp ELISA KIT
604-44-4 4-*-1-*酚(4ClN) 4-Chloro-1 Naphthol
BL0957 胶体金标记兔抗牛IgG抗体
F020206 山羊抗小鼠IgM抗体 Goat Anti-Mouse IgM
异丙托*铵标准品说明书关键词:异丙托*铵,BP0400,Ipratropium Bromide
我公司以高效的产品质量,完善的销*(代"售")体系、快速、安全的产品渠道,优质的客户服务,以诚信的态度,真诚的对待客户、合作伙伴以及各位同仁,欢迎来电咨询异丙托*铵!
·硫*(代"酸")羟喹*(代"啉")
编号:BP2045
英文名称:Oxyquinoline Sulfate
规格:200mg/瓶
本品为硫*(代"酸")羟喹*(代"啉")化学对照品,供硫*(代"酸")羟喹*(代"啉")品种项下红外光吸收图谱鉴别用对照品,使用前不需干燥处理。
CAS号:134-31-6
分子式:(C9H7NO)2·H2SO4·H2O
分子量:406.42
包装:棕色西林瓶
规格:约200mg/瓶
储存条件:遮光、常温保存
·17β-通关藤苷元B
编号:BP1491
英文名称:17β-tenacigenin B
规格:10mg
本品为17β-通关藤苷元B化学对照品,供相关物质鉴别用。
CAS号:863767-79-7
分子式:C21H32O5
分子量:364.48
结构式:

包装及装量:棕色瓶,约10mg/支
储存条件:常温干燥、密闭遮光保存。
注意事项:置五氧化二磷减压干燥器中干燥12小时以上后使用。
·头孢泊肟酯
编号:BP1664
英文名称:Cefpodoxime Proxetil
规格:100mg/支
本品为头孢泊肟酯化学对照品,供HPLC法含量测定及溶出度检查使用,以C21H27N5O9S2计,含量为73.4%,使用前不需干燥处理。
CAS号:87239-81-4
分子式:C21H27N5O9S2
分子量:557.60
结构式:

包装:白色安瓿
规格:约100mg/支
储存条件:置2-8℃遮光保存。
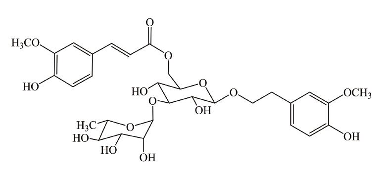
·广防风苷A
编号:BP1483
英文名称:Epimeredinoside A
规格:20mg
本品为广防风苷A化学对照品,供鉴别和含量测定用,含量以96.0%计。
分子式:C31H40O15
分子量:652.64
结构式:

包装及装量:棕色安瓿瓶,约20mg/支
储存条件:冷冻、遮光保存。
注意事项:使用前无需处理。本品极具引湿性,打开包装后一次使用完毕。
我公司主要从事免疫学、分子生物学和常规生化试剂的研发、销*(代"售")。并代理销*(代"售")R&D、Sigma、Amresco 、Gibco、Pharmacia、HyClone、GIBCO等多个国外知名品牌,致力于为广大高校、科研院所和企事业单位提供一流的科研试剂和完善的技术服务,满足生物化学、分子生物学 、细胞生物学、免疫学等生物科技实验需求。 公司主要产品:试剂盒:异丙托*铵、ELISA试剂盒、分子生物学试剂、细胞凋亡试剂盒。各种动物血清:NBQQ、HyClone、GIBCO胎牛血清。抗体:进口原装抗体、进口分装抗体、单克隆抗体、多克隆抗体、一抗、二抗。 我们立足于生命科学领域,全力打造高品质生物科技产品链和技术服务链,立志成为生命科学研究领域的问题解决专家。
我公司生产供应销*(代"售")的标准品对照品正全品类优惠促销,十分期待您的咨询选购异丙托*铵标准品说明书。
风险提示:丁香通仅作为第三方平台,为商家信息发布提供平台空间。用户咨询产品时请注意保护个人信息及财产安全,合理判断,谨慎选购商品,商家和用户对交易行为负责。对于医疗器械类产品,请先查证核实企业经营资质和医疗器械产品注册证情况。
技术资料暂无技术资料 索取技术资料









