万千商家帮你免费找货
0 人在求购买到急需产品
- 详细信息
- 文献和实验
- 技术资料
- 库存:
642
- 英文名:
Scutellarin
- CAS号:
27740-01-8
- 保质期:
长期
- 供应商:
北京百奥莱博科技有限公司
- 保存条件:
冷处(2-10℃
特别声明:本产品及我公司所售其他产品均为科研类试剂产品,严禁用于药物、医疗及其他非科研用途。
北京百奥莱博公司供应包括野黄芩苷对照品厂家在内的化学标准品,化学对照品,杂志对照品,HPLC标准品,UV标准品等高品质标准品、对照品
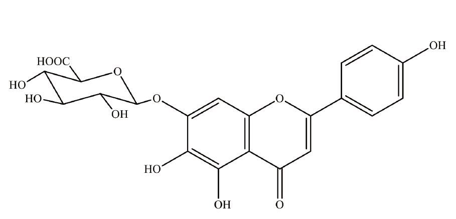
名称:野黄芩苷对照品厂家
产地:国产|进口
编号:BP1124
规格:约20mg/支
英文名:Scutellarin
本品为野黄芩苷化学对照品,供鉴别及含量测定用,含量以91.7%计,使用前不需干燥处理。
CAS号:27740-01-8
分子式:C21H18O12
分子量:462.36
结构式:

包装:棕色安瓿瓶
规格:约20mg/支
储存条件:冷处(2-10℃)保存
注意事项:本品具引湿性,建议打开包装一次性使用完。
欲咨询购买野黄芩苷对照品厂家,请致电北京百奥莱博科技有限公司,为您提供最全面周到的产品服务,除此之外,我公司正在促销以下产品:
·1,3-*二酚
编号:BP1705
英文名称:1,3-Dihydroxynaphthalene
规格:50mg
本品为1,3-*二酚化学对照品,供检查用,使用前不需干燥处理。
CAS号:132-86-5
分子式:C10H6(OH)2
分子量:160.17
包装:白色安瓿
规格:约50毫克/支
储存条件:2-8℃保存
·艾普拉唑磺酰化物
编号:BP0690
英文名称:2-{[(4-methoxy-3-methyl)-2-pyridinyl]methyl}-sulfonyl-5-(1H-pyrrol-1-yl)-1H-benzimidazcle
规格:/
本品为1,3-*二酚化学对照品,供检查用,使用前不需干燥处理。
CAS号:132-86-5
分子式:C10H6(OH)2
分子量:160.17
包装:白色安瓿
规格:约50毫克/支
储存条件:2-8℃保存
·盐*(代"酸")雷尼替丁
编号:BP0131
英文名称:Ranitidine Hydrochloride
规格:100mg/支
本品为盐*(代"酸")雷尼替丁的化学对照品,供HPLC法含量测定用,按C13H22N4O3S·HCl计,含量为99.9%,使用前不需干燥处理。
分子式:C13H22N4O3S·HCl
结构式:

分子量:350.87
CAS号:66357-59-3
包装:棕色安瓿瓶。
规格:100毫克/支。
储存条件:遮光,密封保存。
·美洛西林*
编号:BP1688
英文名称:Mezlocillin Sodium
规格:50mg/支
本品为美洛西林*化学对照品,仅供红外鉴别用。
分子式:C21H24NaN5O8S2
分子量:561.56
结构式:

包装及装量:安瓿,50mg/支
储存条件:置4℃以下条件低温保存。
野黄芩苷对照品厂家关键词:Scutellarin,27740-01-8,野黄芩苷
我公司所售商品均为100%厂家供货,品质保证,价格优惠!
1.试剂包装:1g、5g、10g、25g、100g、500g等不同包装,欢迎来电咨询:野黄芩苷,生化试剂
2.试剂纯度:97%-99%以上
3.库存均有现货。
4.产品订购以订货当日最新价格为准。
5.所有产品为确保质量,出库均复检。
·三(壬基酚)亚磷酸酯(抗氧剂1178)
编号:BP2106
英文名称:Tris(nonylphenyl) phosphite
规格:1ml/支
·脱水差向四环素
编号:BP1590
英文名称:4-epianhydrotetracycline
规格:50mg/支
本品为脱水差向四环素标准品,含量按脱水差向四环素C22H22N2O7计,供盐*(代"酸")四环素品种有关物质及含量测定用。
使用方法:精密称取本品适量,按相关质量标准的规定,溶解并稀释至所需浓度的溶液,立即使用。
储存条件:置5℃以下低温避光保存。开启安瓿后严密保持干燥,以防吸水。
注意事项:使用前不需干燥处理。
·m-甲*(代"酚")-4-磺酸铵(聚甲*(代"酚")磺醛杂质)
编号:BP0739
英文名称:Policresulen Impurity
规格:30mg/支
本品为m-甲*(代"酚")-4-磺酸铵(聚甲*(代"酚")磺醛杂质)化学对照品,供HPLC检查用。供HPLC法测定,按C7H11NO4S计,含量为100%。
分子式:C7H11NO4S
分子量:205.23
包装及装量:棕色瓶,约30mg/支
储存条件:遮光,密封保存
注意事项:使用前不需干燥处理
·人参皂苷Rb2
编号:BP1314
英文名称:Ginsenoside Rb2
规格:约10mg/支
本品为人参皂苷Rb2化学对照品,供供鉴别或含量测定用,含量以93.8%计。
CAS号:11021-13-9
分子式:C53H90O22
分子量:1079.27
结构式:

包装及装量:棕色安瓿瓶,约20mg/支
储存条件:冷冻保存
注意事项:使用前无需干燥处理。本品有引湿性,打开包装后一次使用完毕。
·白鲜碱
编号:BP1267
英文名称:Dictamnine
规格:20mg
本品为人参皂苷Rb2化学对照品,供供鉴别或含量测定用,含量以93.8%计。
CAS号:11021-13-9
分子式:C53H90O22
分子量:1079.27
结构式:

包装及装量:棕色安瓿瓶,约20mg/支
储存条件:冷冻保存
注意事项:使用前无需干燥处理。本品有引湿性,打开包装后一次使用完毕。
·脱水穿心莲内酯琥珀酸半酯
编号:BP1234
英文名称:Dehydroandrographolide Succinate
规格:20mg/支
本品为脱水穿心莲内酯琥珀酸半酯化学对照品,供含量测定用,含量以99.6%计,使用前不需干燥处理。
CAS号:786593-06-4
分子式:C28H36O10
分子量:532
结构式:

包装:棕色安瓿瓶
装量:约20mg/支
储存条件:冷冻保存
野黄芩苷对照品厂家关键词:Scutellarin,27740-01-8,野黄芩苷
野黄芩苷由我公司优惠供应,公司常年现货,欢迎广大科研工作者及经销商同仁前来咨询选购,另外公司专业从事进口科研生化试剂的批发及零售业务,产品涉及分子生物学、细胞生物学、免疫学、生物化学等诸多生命科研领域。因公司业务发展的需要,现诚征各地经销代理商,欢迎有志从事本行业的精英、同行莅临指导。
F030101 HRP标记小鼠抗乙肝核心抗原抗体 Monoclonal Mouse Anti-HBcAg*HRP
ARB12342 大鼠补体片断5A(C5A)Elisa方法检测 Rat complement fragment 5a,c5a ELISA KIT
ARB12635 大鼠硫氧还蛋白还原酶(TrxR)含量检测 Rat thioredoxin reductase,trxr ELISA KIT
植物丙二醛(MDA)检测试剂盒(TBA比色法) 50T|100T
37224-29-6 葡聚糖凝胶G-75 Sephadex G-75medium
BTN100874 DNA尿素-PAGE上样液 DNA Urea-PAGE Loading Buffer
ARB13065 小鼠乳铁传递蛋白/乳铁蛋白(LF/LTF)检测服务 Mouse lactoferrin,ltf/lf ELISA KIT
17372-87-1 伊红Y(水溶) Eosin Y
F030828 BIOTIN标记兔抗猫IgG抗体 Rabbit Anti-Cat IgG*BIOTIN
BL0295 1640培养基
BL0826 HRP标记兔抗HRP抗体
ARB13935 猪组胺(His)Elisa分析 Porcine Histamine,His ELISA KIT
ARB14149 大鼠糖基化终末产物(AGE)elisa检测操作说明书
丁酰胆碱酯酶 Sephacryl S-1000 Superfine 9001-08-5
二甲*青FF溶液(2.5%) 10ml
ARB13635 兔子脂蛋白*(代"磷")脂酶A2(Lp-PL-A2)elisa检测说明书 Rabbit lipoprotein-associated phospholipase a2,lp-pl-a2 ELISA KIT
FMOC-D-丝*酸 5-Bromosalicylic acid 116861-26-8
壮观/奇霉素溶液(50mg/ml) Spectinomycin 50mg/ml 10ml
ARB10820 人抗红细胞抗体(RBC)含量测试 Human anti-red cell antibody ELISA KIT
内源性链亲和素封闭液 100ml
BTN80807 动物细胞裂解液 Animal Cell Lysis Solution
我公司客户遍布大学、研究所、医院、卫生防疫、商品检验检疫、制药公司、生物技术公司和食品工业等单位。公司供应的野黄芩苷获得一致好评。其立足于生命科学领域,全力打造高品质生物科技产品链和技术服务链,也具备丰富的管理经验,同时我们建立了集技术支持、售后服务等多方位的服务体系。我们有激情、有理想,更有责任感,是您科研道路上值得信赖的伙伴。
公司的理念是:以诚信为本,努力打造优质品牌,为您提供全方位的售中、售后服务。
北京百莱博科技有限公司专业生产标准品对照品产品,欢迎来电咨询选购野黄芩苷对照品厂家。
风险提示:丁香通仅作为第三方平台,为商家信息发布提供平台空间。用户咨询产品时请注意保护个人信息及财产安全,合理判断,谨慎选购商品,商家和用户对交易行为负责。对于医疗器械类产品,请先查证核实企业经营资质和医疗器械产品注册证情况。
文献和实验,多是与试剂供应商洽谈,由生产厂家发货,所以这样定性检测质控品就奇货可居了。 质控品来源 我们实验室的免疫ELISA定性质控品也是与试剂供应商洽谈,从试剂生产厂家发货过来的,成本有点高,出于经济因素,我们都是将到货的质控品及时按用量分装到EP管(子弹头)中,依温度要求进行冷冻处理,每天拿出需要用的一小支解冻使用。这样就避免了质控品的反复冻融,防止破坏质控品中蛋白质成份,造成失控。 室内质控品不同于试剂盒中的内部对照品,个别实验室认为试剂盒中内部阴阳对照品即是室内
液相色谱-蒸发光散射检测法测定其黄芪甲苷的含量,报道如下。 1 仪器与试药 LC�10ATvp高效液相色谱仪(日本岛津公司);ELSD�2000蒸发光检测器(美国Alltech);黄芪甲苷对照品(中国药品生物制品检定所提供,批号为110781�200311,为含量测定用);乙腈为色谱纯,水为经Milli�Q过0.22μm膜净化的超纯水,其它试剂均为分析纯。心舒康片样品(厂家提供)。 2 方法与结果 2.1 色谱条件 色谱柱为Agilent HC�
性质稳定,且对浓度准确度要求不是太高的溶液,可长期保存使用。像福尔马林、生理盐水、CMC-Na溶液。 按其纯度可分为: 化学纯:一般化学实验用的,含少量杂质.纯度一般应在98%以上. 分析纯:做分析实验用的,含微量杂质,纯度一般应在99%以上.缩写: A.R 色谱纯:液相流动相的要求.据本人理解应是不出现杂峰.纯度可能在99.9%. 生化纯:好像在一些生化试剂里有这么写的.缩写:B.R 要注意的是,有些厂家有标明 优级纯(G
技术资料暂无技术资料 索取技术资料










