相关产品推荐更多 >
万千商家帮你免费找货
0 人在求购买到急需产品
- 详细信息
- 文献和实验
- 技术资料
- 保存条件:
2-10℃
- 保质期:
长期
- 英文名:
Scutellarin
- 库存:
227
- 供应商:
北京百奥莱博科技有限公司
- CAS号:
27740-01-8
特别声明:本产品及我公司所售其他产品均为科研类试剂产品,严禁用于药物、医疗及其他非科研用途。
北京百奥莱博公司供应包括野黄芩苷对照品打折促销在内的化学标准品,化学对照品,杂志对照品,HPLC标准品,UV标准品等高品质标准品、对照品
名称:野黄芩苷对照品打折促销
英文名:Scutellarin
产地:国产|进口
品牌:百奥莱博
编号:BP1124
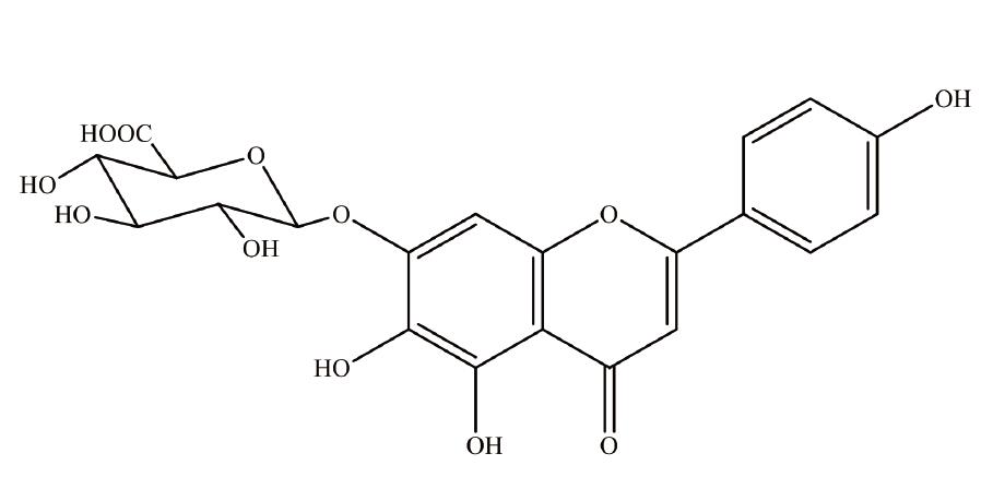
本品为野黄芩苷化学对照品,供鉴别及含量测定用,含量以91.7%计,使用前不需干燥处理。
CAS号:27740-01-8
分子式:C21H18O12
分子量:462.36
结构式:

包装:棕色安瓿瓶
规格:约20mg/支
储存条件:冷处(2-10℃)保存
注意事项:本品具引湿性,建议打开包装一次性使用完。
除野黄芩苷对照品打折促销外,我公司正在打折促销以下产品:
ARB11095 人神经生长因子(NGF)Elisa定量检测 Human nerve growth factor,ngf ELISA KIT
BTN100910 长效期SDS-PAGE还原剂 SDS-PAGE Reducing Agent
D-地衣酸 Phenosafranine 7562-61-0
ARB11567 人基质金属蛋白酶11(MMP11)elisa检测 Human matrix metalloproteinase 11,mmp11 ELISA KIT
BTN131114 ABTS溶液 ABTS Solution
无水偏钒酸* Anthrone 13718-26-8
HC0240 大龙游标瓶口分液器
PY01-023 琼脂粉 250|100克
ARB13573 兔子白介素1可溶性受体I(IL-1sR I)酶免分析 Rabbit soluble interleukin-1 receptor i,IL-1sr i ELISA KIT
BTN90308 亲和硅烷 Binding Silane
辣椒素 Cyclo-C 2444-46-4
BTN120684 噻孢霉素溶液 Cefotaxime Solution
9007-71-9 Casein 酪蛋白
ARB11907 人癌胚抗原(CEA)酶标法分析 Human carcinoembryonic antign,cea ELISA KIT
ARB13295 小鼠糖原合成酶激酶(GSK)Elisa方法检测 Mouse glycogen synthase kinase,gsk ELISA KIT
*代磺酚C Cinchonine 2103-73-3
F040307 小鼠IgG1抗原 Mouse IgG1
ARB13759 鸭子碳酸酐酶(CA)elisa检测说明书 Duck carbonic anhydrase,ca ELISA KIT
野黄芩苷对照品打折促销关键词:27740-01-8,野黄芩苷,Scutellarin
ARB10298 人不对称二甲基精*酸(ADMA)免费代测 Human asymmetrical dimethylarginine,adma ELISA KIT
BL1351 次高分子量蛋白MARKER
F050307 小鼠IgG1抗体 Mouse IgG1
J0311 兔抗鸭IgY(H+L)抗血清
59-30-3 叶酸(维生素B9)Folic acid(Vitamin M)
SJ0684 100bp
ARB12554 大鼠胱天蛋白酶9(CAsp-9)血清中含量检测 Rat caspase-9,casp-9 ELISA KIT
ARB12261 大鼠肌肝(Cr)定量分析 Rat creatinine,cr ELISA KIT
ARB10158 人Selenoprotein P(SE-P)尿液中含量检测
碘化丙啶 DAB 25535-16-4
多效唑 Phosphotransacetylase from Bacillus stearothermophilus 76738-62-0
SJ0722 伊红染色液
BL1373 10%SDS
4.1-66kDa低范围分子量MARK Tylosin tartrate
ARB10895 人抗麻疹病毒抗体(MVAb)代做ELISA实验 Human anti-measles virus antibody ELISA KIT
气溶胶OT Iron(III) phosphate tetrahydrate 577-11-7
"
ARB13507 鱼卵黄高磷蛋白(PV)酶联免疫定量检测 Fish pv ELISA KIT
134-03-2 抗坏血酸* Sodium ascorbate
CYB163072 兔抗生物素-FITC
F030104 HRP标记小鼠抗HIS标签抗体 Monoclonal Mouse Anti-His*HRP
野黄芩苷对照品打折促销关键词:27740-01-8,野黄芩苷,Scutellarin
我公司竭诚为广大科研用户提供最全面,最优质,价格最具优势的野黄芩苷,免费为您提供全程技术指导,解决您的后顾之忧。公司供应各种高品质科研试剂及各种规格包装定制,如有所需请联系我们。
·伊曲康唑
编号:BP0487
英文名称:Itraconazole
规格:100mg/支
本品为伊曲康唑化学对照品,供伊曲康唑品种HPLC含量测定用,含量以伊曲康唑(C35H38Cl2N8O4)计。
CAS号:84625-61-6
分子式:C35H38Cl2N8O4
分子量:705.63
结构式:

包装:棕色安瓿
规格:100mg/支
储存条件:置阴凉干燥处保存。
·二*欧山芹醇当归酸酯
编号:BP1225
英文名称:Columbianadin
规格:20mg/支
本品为二*欧山芹醇当归酸酯化学对照品,供鉴别及含量测定用,含量以98.6%计,使用前不需干燥处理。
CAS号:5058-13-9
分子式:C19H20O5
分子量:328.6
结构式:

包装:棕色瓶。
装量:约20mg/支。
储存条件:冷处(2~10℃)保存。
·氧化苦参碱
编号:BP1074
英文名称:Oxymatrine
规格:20mg/支
本品为氧化苦参碱化学对照品,供鉴别和含量测定用,使用前不需干燥处理。以C15H24N2O2计,含量92.5%。
CAS号:16837-52-8
分子式:C15H24N2O2
分子量:264.36
结构式:

包装:棕色安瓿瓶
规格:约20mg/支
储存条件:冷处(2-10℃)保存
注意事项:本品具有引湿性,建议打开包装一次性使用完。
·石吊兰素
编号:BP1205
英文名称:Lysionotin
规格:20mg
本品为石吊兰素化学对照品,供含量测定用,以98.1%计。
分子式:C18H16O7
分子量:344.32
包装及装量:棕色瓶。
储存条件:干燥密闭保存。
注意事项:置五氧化二磷减压干燥器中干燥 12 小时后使用。
野黄芩苷特价促销,价格合理,售后服务完善,确属质量问题可包换包退,免除您的后顾之忧。工作时间内可免费技术咨询和指导,我们将竭尽我们的全力为您服务,争取包您100%满意,欢迎新老客户来电订购!
我公司是一家生物高新技术企业,主要从事免疫学、分子生物学和常规生化试剂的研发、销*(代"售")。并代理销*(代"售")Omega、Sigma、R&D、GBD、ATCC、HYCLONE等二十多家国外知名品牌,致力于为广大高校、科研院所和企事业单位提供一流的科研试剂和完善的技术服务,满足生物化学、分子生物学 、野黄芩苷、细胞生物学、免疫学 ELISA试剂盒等生物科技实验需求。
北京百莱博科技有限公司专业生产供应销*(代"售")生物试剂、化学试剂、抗原抗体、血清血浆、Elisa试剂盒,更多试剂产品需求,欢迎来电咨询选购野黄芩苷对照品打折促销。
风险提示:丁香通仅作为第三方平台,为商家信息发布提供平台空间。用户咨询产品时请注意保护个人信息及财产安全,合理判断,谨慎选购商品,商家和用户对交易行为负责。对于医疗器械类产品,请先查证核实企业经营资质和医疗器械产品注册证情况。
文献和实验回收试剂盒,用抽滤的方法替代离心,使得实验可以连续进行,特别适合批量进行的需要――想象看,你只要将溶胶液加入装配好的抽滤管中,哗一下就抽干了,再加洗涤的试剂,哗一下又好了,多快呀!节约很多时间和功夫,不需要在离心机前面拿进拿出。以后的全自动操作模式就是这样的啦! 看到这里可能大家都会说Qiagen的东西好是好,但是就是贵,一般的实验室都舍不得平时用,往往留着关键时刻做,不错,好东西自然不便宜,不过他们有时候也会打折促销。
技术资料暂无技术资料 索取技术资料










