相关产品推荐更多 >
万千商家帮你免费找货
0 人在求购买到急需产品
- 详细信息
- 技术资料
- 库存:
748
- 英文名:
(2E,4Z,6E,8E)-9-(4-methoxy-2,3,6-trimethylphenyl)-3,7- dimethylnona-2,4,6,8-tetraenoic acid
- CAS号:
1067630-53-8
- 保质期:
长期
- 供应商:
北京百奥莱博科技有限公司
特别声明:本产品及我公司所售其他产品均为科研类试剂产品,严禁用于药物、医疗及其他非科研用途。
北京百奥莱博公司供应包括11-顺阿维A对照品打折促销在内的化学标准品,化学对照品,杂志对照品,HPLC标准品,UV标准品等高品质标准品、对照品
名称:11-顺阿维A对照品打折促销
编号:BP0880
品牌:百奥莱博
英文名:(2E,4Z,6E,8E)-9-(4-methoxy-2,3,6-trimethylphenyl)-3,7- dimethylnona-2,4,6,8-tetraenoic acid
规格:10mg/支
本品为11---顺阿维AAA化学对照品,供HPLC法系统适用性试验用。
CAS号:1067630-53-8
分子式:C21H26O3
分子量:326.43
包装及装量:安瓿瓶,充氮熔封,每支约10毫克
储存条件:遮光,密封,冷处保存
注意事项:使用前不需干燥处理。
我公司的11-顺阿维A对照品打折促销,性价比高,货期短,送货上门,欢迎您来电咨询购买,另外,我公司还生产供应销*(代"售")下列产品:
L-精*酸甲酯2盐*(代"酸")盐 D-Cysteine hydrochloride monohydrate 26340-89-6
BL0929 RBITC标记羊抗马IgG抗体
SDS裂解液 50ml|100ml
DNA Marker(100-600bp) 100次
BOC-L-天冬酰胺 Phenol red 7536-55-2
E0301 抗凝绵羊血(无菌 pet瓶装) 100ml/200ml/500ml
Tris缓冲盐粉剂(1×TBS) 1L|10×1L
CYB163053 羊抗牛IgG-FITC
ARB12328 大鼠免疫球蛋白E(IgE)酶免分析 Rat immunoglobulin e,IgE ELISA KIT
PY02-192 卵黄高盐琼脂基础 250克
F050320 大鼠IgG抗体 Rats IgG
ARB12783 小鼠αL岩藻糖苷酶(AFU)酶标法分析 Mouse alpha-l-fucosidase,afu ELISA KIT
铍试剂II Glass Fiber 51550-25-5
O-(内-二环[2,2,1]庚-5-稀-2,3-二甲酰亚胺)-N,N,N",N"-四甲基六*磷酸盐 Chromotropic acid disodiu*(代"m") salt dihydrate 208462-94-6
刘氏染色液 Liu Stain 3×100ml|3×500ml
磺胺甲基嘧啶 Alcohol Oxidase 127-79-7
11-顺阿维A对照品打折促销关键词:1067630-53-8,(2E,4Z,6E,8E)-9-(4-methoxy-2,3,6-trimethylphenyl)-,11-顺阿维A
直接胆红素(DBIL)检测试剂盒(钒酸微板法) 100T
N-乙酰-L-半胱*酸 L-Pyroglutamic acid 616-91-1
碘海醇 N-Acetyl-DL-Alanine 66108-95-0
ARB12230 大鼠血栓素B2(TXB2)酶联免疫定量检测 Rat thromboxane b2,txb2 ELISA KIT
ARB13642 兔子基质金属蛋白酶4(MMP-4)代做ELISA实验 Rabbit matrix metalloproteinase 4,mmp-4 ELISA KIT
十二烷基硫*(代"酸")* Chlorophyll B 2044-56-6
9005-82-7 Amylose 直链淀粉
ARB11825 人缪勒管抑制物质/抗缪勒管激素(MIS/AMH)ELISA检测服务 Human mullerian inhibiting substance/anti-mullerian hormone,mis/amh ELISA KIT
ARB10085 人CXC趋化因子受体3(CXCR3)含量分析 Human cxc-chemokine receptor 3,cxcr3 ELISA KIT
ARB10592 人血小板相关抗体IgM(PA-IgM)ELISA代测服务 Human platelet associated antibody,pa-igM ELISA KIT
ARB14089 牛白血病(ALV)免费代测
BL1279 1×PBS,PH7.2-7.4,0.01M,细胞培养级
甲*-4-磺酰胺 O-Acetyl-L-serine hydrochloride 70-55-3
ET106 HotMaster DNA polymerase
ARB14141 大鼠TAU蛋白(TAU)Elisa分析
11-顺阿维A对照品打折促销关键词:1067630-53-8,(2E,4Z,6E,8E)-9-(4-methoxy-2,3,6-trimethylphenyl)-,11-顺阿维A
我公司客户遍布大学、研究所、医院、卫生防疫、商品检验检疫、制药公司、生物技术公司和食品工业等单位。公司供应的11-顺阿维A获得一致好评。其立足于生命科学领域,全力打造高品质生物科技产品链和技术服务链,也具备丰富的管理经验,同时我们建立了集技术支持、售后服务等多方位的服务体系。我们有激情、有理想,更有责任感,是您科研道路上值得信赖的伙伴。
公司的理念是:以诚信为本,努力打造优质品牌,为您提供全方位的售中、售后服务。
·*扎*铵
编号:BP0418
英文名称:Benzalkonium Chloride
规格:8ml/支
本品为*扎*铵化学对照品,供HPLC法检查和容量法含量测定,按C22H40ClN计,每1ml中含*扎*铵为12.19mg。含n-CH取代同系物为66.04%,n-CH取代同系物为33.96%。
分子式:C22H40ClN(平均)
分子量:354.01(平均)
包装:白色安瓿
规格:约8毫升/支
储存条件:遮光,密封,2-8℃保存。
·L-阿拉伯糖醇
编号:BP2044
英文名称:L-arabinitol
规格:50mg
本品为L-阿拉伯糖醇化学对照品,仅供木糖醇品种有关物质检查用,使用前不需干燥处理,以C5H12O5计,含量为99.6%。
CAS号:7643-75-6
分子式:C5H12O5
分子量:152.15
包装:棕色西林瓶
规格:约50毫克/支
储存条件:遮光、常温保存。
注意事项:本品具有引湿性,建议打开包装一次性使用完。
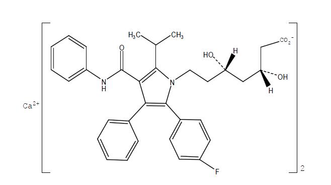
·阿托伐他汀* 杂质II
编号:BP2168
英文名称:Atorvastatin Calcium Impurity II
规格:20mg/瓶
本品为阿托伐他汀*杂质Ⅱ化学对照品,仅供阿托伐他汀*有关物质检查用,使用前不需干燥处理。
CAS号:887196-25-0
分子式:C66H68CaF2N4O10
分子量:1155.34
结构式:

包装及装量:棕色西林瓶,20mg/支
储存条件:遮光保存
·胰岛素
编号:BP1926
英文名称:Insulin,Porcine
规格:约20mg
本品为胰岛素生物标准品,供作胰岛素生物检定用。本品系胰岛素的干燥粉末,充氮熔封于硬质玻璃管中。
效价:本品每毫克相当于27单位。
装量:约20 mg。
储存条件:本品应避光冷藏。
标准溶液的配制:迅速精密称取本品适量,精确加每100 ml中含0.2 g 的甲*(代"酚")并用 0.1 mol/L 盐*(代"酸")调节 pH 为 2.5 的 0.9%*化*溶液,溶解使每毫升含 20 IU,分装熔封于 2ml 安瓿中(安瓿于 120℃烘干1 小时),置冰箱内贮存,如无沉淀析出可使用 6个月。试
11-顺阿维A由我公司优惠供应,公司常年现货,欢迎广大科研工作者及经销商同仁前来咨询选购,另外公司专业从事进口科研生化试剂的批发及零售业务,产品涉及分子生物学、细胞生物学、免疫学、生物化学等诸多生命科研领域。因公司业务发展的需要,现诚征各地经销代理商,欢迎有志从事本行业的精英、同行莅临指导。
我公司生产的11-顺阿维A纯度高价格低,质量有保证,客户更放心。我们为科研用户提供上千种生物试剂现货及sigma全线产品原装期货,货期短,价格低,质量好。用我们100%的真诚、热情换取您100%的信任与支持!
我公司正在打折促销标准品对照品全系列产品,恭候您的咨询选购11-顺阿维A对照品打折促销。
风险提示:丁香通仅作为第三方平台,为商家信息发布提供平台空间。用户咨询产品时请注意保护个人信息及财产安全,合理判断,谨慎选购商品,商家和用户对交易行为负责。对于医疗器械类产品,请先查证核实企业经营资质和医疗器械产品注册证情况。
技术资料暂无技术资料 索取技术资料









