相关产品推荐更多 >
万千商家帮你免费找货
0 人在求购买到急需产品
- 详细信息
- 文献和实验
- 技术资料
- 库存:
大量
- 英文名:
Soyasaponin Ba
- 保质期:
1-3年
- 供应商:
上海沪震实业有限公司
- 保存条件:
常温或2-8℃保存
- 规格:
20mg
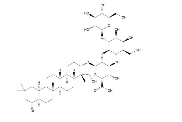
【Product Name】 Soyasaponin Ba
【CAS Number】 114590-20-4
【Del.CASNumber】 114451-23-9,220640-71-1
【中文名称】 大豆皂苷Ba
【Chemical Name】 β-D-Glucopyranosiduronic acid, (3β,4β,22β)-22,23-dihydroxyolean-12-en-3-yl O-β-D-glucopyranosyl-(1→2)-O-β-D-galactopyranosyl-(1→2)-
【Chemical Formula】 C48H78O19
【Molecular Weight】 959.13
【Chemotaxonomic Group】 三萜类 Triterpenoids

相关标准品-对照品列表:
| HZ20157-500g | L-(-)樟脑磺酸 | L(-)-CamphoHZsulfonic acid | 35963-20-3 | AHZ,99% | 500g | 750.00 |
| HZ20158-100g | 肌氨酸 | SaHZcosine | 107-97-1 | HZHZ,99% | 100g | 90.00 |
| HZ20158-25g | 肌氨酸 | SaHZcosine | 107-97-1 | HZHZ,99% | 25g | 25.00 |
| HZ20158-500g | 肌氨酸 | SaHZcosine | 107-97-1 | HZHZ,99% | 500g | 320.00 |
| HZ20159-100g | 甘氨酸 | Glycine | 56-40-6 | AHZ,99% | 100g | 25.00 |
| HZ20159-1kg | 甘氨酸 | Glycine | 56-40-6 | AHZ,99% | 1kg | 90.00 |
| HZ20159-25g | 甘氨酸 | Glycine | 56-40-6 | AHZ,99% | 25g | 15.00 |
| HZ20159-500g | 甘氨酸 | Glycine | 56-40-6 | AHZ,99% | 500g | 50.00 |
| HZ20160-100g | HZOC-甘氨酸 | HZOC-Glycine | 4530-20-5 | HZHZ,99% | 100g | 320.00 |
| HZ20160-25g | HZOC-甘氨酸 | HZOC-Glycine | 4530-20-5 | HZHZ,99% | 25g | 120.00 |
| HZ20160-500g | HZOC-甘氨酸 | HZOC-Glycine | 4530-20-5 | HZHZ,99% | 500g | 1200.00 |
风险提示:丁香通仅作为第三方平台,为商家信息发布提供平台空间。用户咨询产品时请注意保护个人信息及财产安全,合理判断,谨慎选购商品,商家和用户对交易行为负责。对于医疗器械类产品,请先查证核实企业经营资质和医疗器械产品注册证情况。
文献和实验至56℃的5% Ba(OH)2水溶液10分钟。水洗。3. 热盐处理:置2×SSC溶液(67℃)处理60-90分钟。水洗。4. 染色:l∶10 Giemsa染色液染色10-5分钟。水洗。气干。5. 镜检。(二)方法二1. 酸处理:常规制作的染色体标本(未染色)置0.2N HCl(室温)处理60分钟。水洗。2. 碱处理:浸入1% Ba(OH)2水溶液(50℃)中15-20秒。水洗。3. 热盐处理:置2×SSC溶液(60℃)90分钟。水洗三次。4. 染色:l∶10 Giemsa染色液染色10分钟。水洗。气
mg/l +6-BA 3 mg/l,500ml (固体),分装在250ml三角瓶中,每瓶100ml;高压灭菌 抗生素母液:Kan 100mg/ml 5ml ; Cb 500mg/ml 5ml 抽滤灭菌,分装在Ep 管中,每管1ml, -20℃保存。 实验材料】:烟草无菌苗叶片。 【方法】: 1. 取普通烟草无菌苗叶片,用锋利手术刀片切去边缘和主叶脉,叶片切成0.5 cm见方的小块(使四周均有伤口),备用。 2. 取培养过夜的农杆菌LBA
人封闭抗体(BA) 酶联免疫 分析( ELISA ) 试剂 盒使用说明书 本试剂仅供研究使用 目的:本试剂盒用于测定人血清,血浆及相关液体样本中 封闭抗体(BA)的 含量。 实验原理 : 本试剂盒应用双抗 原 夹心法测定 标本 中 人 封闭抗体(BA ) 水平。用纯化的 人 封闭抗原 包被微孔板,制成固相抗 原 ,往包被 抗原 的微孔中依次加入 封闭抗体(BA ) ,再与HRP 标记的 封闭抗原 结合,形成抗原
技术资料暂无技术资料 索取技术资料










