相关产品推荐更多 >
万千商家帮你免费找货
0 人在求购买到急需产品
- 详细信息
- 文献和实验
- 技术资料
- 库存:
687
- 英文名:
p-nitrophenyl phosphate,disodium salt
- 保质期:
一年
- 供应商:
北京百奥莱博科技有限公司
- 保存条件:
常温
特别声明:本产品及我公司所售其他产品均为科研类试剂产品,严禁用于药物、医疗及其他非科研用途。
百奥莱博专业生产销*(代"售")北京pNPP干粉报价,我公司供应的分子生物学试剂品类齐全,且具有优势价格,欢迎新老客户垂询订购。
名称:北京pNPP干粉报价
规格:1g
产地:国产|进口
英文名:p-nitrophenyl phosphate,disodiu*(代"m") salt
品牌:百奥莱博
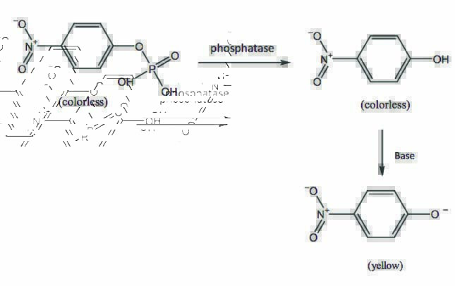
pNPP在ELISA应用中作为检测碱性磷酸酶的底物而被广泛使用。当碱性磷酸酶与PNPP反应后,形成黄色水溶性反应产物。该产物在405nm有光吸收,并可使用传统方法终止反应。其反应原理如下:

储存条件:常温运输,避光保存,有效期一年。
北京pNPP干粉报价正在火爆热销,除此之外,为您推荐下别热销产品:
·BAL 31核酸酶
编号:BTN120409
英文名称:BAL 31 Nuclease
规格:50U
BAL 31核酸酶纯化自埃氏交替单胞菌BAL-31培养物。BAL-31核酸外切酶降解双链DNA的3´和5´末端,不切割分子内部。该酶同时还是高度特异性的单链核酸内切酶,在切刻、缺口、双链DNA单链区和双链RNA的单链区进行切割。其工作原理图如下:

产品特点:
1.从两端逐步对双链DNA进行切割,缺失的长度适合于100~1000个碱基左右。
2.加入EGTA可失活。
3.限制性酶切图谱的构建。
储存条件:低温运输,-20℃保存,有效期一年。
活性定义:1单位指在50μl反应体系,1X核酸酶BAL-31反应缓冲液,30℃条件下,10分钟从线性双链φX174 DNA(40μg/ml)的两端各切下200个碱基对所需要的酶量。
使用方法:
1.在离心管中加入下列溶液:
| 成分 | 用量 |
| pBR322 -Ava I fragment | 3μg(2.0pmol) |
| 2×反应 Buffer | 37.5μl |
| BAL 31 Nuclease | 3~6U |
| H2O | up to 75μl |
2.30℃保温。分别于1、2、3 min时各取样25μl。
3.加入20mM EGTA,65℃加热10分钟灭活酶。
4.用1% Agarose电泳确认DNA片段。
注意事项:
1.该核酸外切酶的双链产物是平齐末端和粘性末端的混合物。尽管要达到最佳连接效率需要用合适的聚合酶修复粘性末端,但该混合物仍可以直接进行克隆。
2.如果需要,可以在使用前用反应缓冲液稀释该酶。
3.只有在20mM EGTA存在条件下,酶的热失活才有效。
北京pNPP干粉报价关键词:p-nitrophenyl phosphate,disodiu*(代"m") salt,BTN131116,pNPP干粉
PY02-267 精*酸支原体肉汤培养基基础 100克
RN1201 PLANTeasy 植物RNA提取试剂
ARB13267 小鼠*脱氧核苷尿嘧啶(BrdU)酶标法分析 Mouse bromodeoxyuridine,brdu ELISA KIT
C0701 绵羊血清(无菌过滤) 100ml/200ml/500ml/500ml*20瓶
DN3601 尿液基因组DNA快速提取试剂盒
电解脱*液(甲*(代"酸")法) 500ml
焦磷酸四苄酯 Triisoamylamine 990-91-0
L-甘-异白二肽 Cesium Chloride 19461-38-2
58-58-2 嘌呤霉素盐*(代"酸")盐 Puromycin,2HCl
丙*(代"酮")酸激酶(PK)定性检测试剂盒(荧光斑点法) 50T
9048-46-8 Albumin Bovine 牛血清白蛋白(全组分)
3-[N-(1,1-二甲基-2-羟yi基)]*基-2-羟丙*(代"烷")磺酸*盐 2-Aminopyrimidine 102029-60-7
PC4201 THERMOscript One Step qRT-PCR Kit(一步法荧光定量耐热反转录PCR试剂盒)
PY08-047 HE琼脂 9CM 10皿/盒,用于分离肠道致病菌
ARB11572 人基质金属蛋白酶5(MMP-5)代做ELISA实验 Human matrix metalloproteinase 5,mmp-5 ELISA KIT
10035-04-8 *化* Calcium Chloride
北京pNPP干粉报价关键词:p-nitrophenyl phosphate,disodiu*(代"m") salt,BTN131116,pNPP干粉
茚三酮乙醇溶液(0.1%) 100ml
CYB165024 生物素化羊抗小鼠IgG
ARB10807 人抗甲型肝炎病毒IgG抗体(Anti-HAV)酶免分析 Human anti-hepatitis a virus igG antibody,anti-hav ELISA KIT
DH5α化学感受态细胞 20×100ul
二吡*(代"咯")烷基(N-琥珀酰亚*氧基)碳六*磷酸盐 Chromic potassiu*(代"m") sulfate dodecahydrate 207683-26-9
1-丁酸*酯 D-Leucine methyl ester hydrochloride 3121-70-8
黄嘌呤 Novobiocin Sodium Salt 69-89-6
ARB12888 小鼠甲状腺过氧化物酶(TPO)elisa检测操作说明书 Mouse thyroid-peroxidase,tpo ELISA KIT
组织线粒体蛋白提取试剂盒 50T|100T
BL1329 通用引物 Random
BTN120699 多粘菌素B硫*(代"酸")盐 Polymyxin B Sulfate Solution
恩诺沙星 Thiophanate-methyl 93106-60-6
甘油-甲基绿溶液 50ml
SJ0742 大鼠白细胞分离液
北京百莱博科技有限公司是蛋白质研究产品的专业生产供应销*(代"售")商,恭候您的咨询选购北京pNPP干粉报价。
风险提示:丁香通仅作为第三方平台,为商家信息发布提供平台空间。用户咨询产品时请注意保护个人信息及财产安全,合理判断,谨慎选购商品,商家和用户对交易行为负责。对于医疗器械类产品,请先查证核实企业经营资质和医疗器械产品注册证情况。
文献和实验Jackson Immunoresearch公司二抗推荐的其产品保存方法
重溶和保存:冻干粉保存在2-8°C ,使用时根据需要,称取适量的冻干粉,并溶解在缓冲液中,每次准备新鲜的工作液,保质期1 年。 如需订购请联系: 上海:021-64689017 021-64689027 上海市徐汇区南丹东路18 号12 楼A 座 QQ:1364031902 北京:010-64847623 010-64855926 北京朝阳区大屯路2 号南沙滩35 号楼科华商务大厦613 室 QQ:1360821509
。 8、内置进口全无油空压机,喷粉的颗径呈正态分布,流动性非常好,噪音非常低,小于60db。 9、二流体喷雾的雾化结构,整机采用优质不锈钢材料制造,设计紧凑,无需附属设备。 10、燥温度控制的设计上采用实时调控PID恒温控制技术,使全温区控温准确,加热控温精度±1℃。 11、为了保持样品的纯净,配备了进风口过滤器。 12、进料量可通过进料蠕动泵调节,最小样品量可达50ml。 13、干燥后的成品干粉,其颗粒度较均匀,95%以上的干粉在同一颗粒度范围。
【求助】克隆100个已知序列的基因于带有绿色荧光蛋白的载体中需要多少时间和经费?
过该公司产品。 buyqcn 雪中梅 wrote: 北京傲锐东源公司: http://www.cdna.com/newEbiz1/EbizPortalFG/portal/html/cDNA.html?GeneralContentShow_DocID=c373e913e2400b208f7ebd191dbffbe8 全长cDNA克隆: TrueORF cDNA克隆:人及小鼠ORF克隆分别为25
技术资料暂无技术资料 索取技术资料










