相关产品推荐更多 >
万千商家帮你免费找货
0 人在求购买到急需产品
- 详细信息
- 文献和实验
- 技术资料
- 库存:
大量
- 英文名:
Sitosterol, β-
- 保质期:
1-3年
- 供应商:
上海沪震实业有限公司
- 保存条件:
常温或2-8℃保存
- 规格:
5mg/25mg/500mg
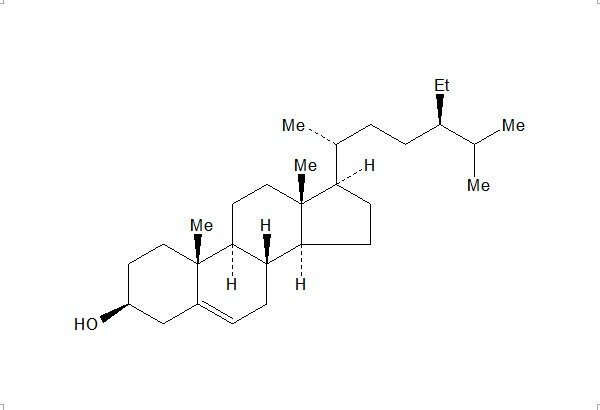
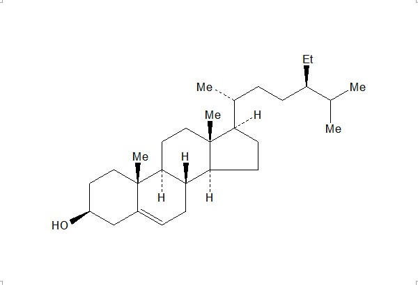
【Product Name】 Sitosterol, β-
【CAS Number】 83-46-5
【Del.CASNumber】 8003-23-4,15764-35-9,76772-70-8,182512-23-8
【Synonyms】 β-Sitosterin; β-Sitosterol; (-)-β-Sitosterol; α-Dihydrofucosterol; Nimbosterol; α-Phytosterol
【中文名称】 β-谷甾醇
【Chemical Name】 Stigmast-5-en-3-ol, (3β)-
【Chemical Formula】 C29H50O
【Molecular Weight】 414.72
【Chemotaxonomic Group】 其他甾体化合物 Other Steroids

相关标准品-对照品列表:
| HZ13031-100g | 左旋肉碱 | L-CaHZnitine inneHZ salt | 541-15-1 | HZHZ,98% | 100g | 200.00 |
| HZ13031-25g | 左旋肉碱 | L-CaHZnitine inneHZ salt | 541-15-1 | HZHZ,98% | 25g | 65.00 |
| HZ13031-500g | 左旋肉碱 | L-CaHZnitine inneHZ salt | 541-15-1 | HZHZ,98% | 500g | 800.00 |
| HZ13032-100g | 异烟肼 | INAH | 54-85-3 | HZHZ,98% | 100g | 120.00 |
| HZ13032-25g | 异烟肼 | INAH | 54-85-3 | HZHZ,98% | 25g | 50.00 |
| HZ13032-500g | 异烟肼 | INAH | 54-85-3 | HZHZ,98% | 500g | 428.00 |
| HZ13033-100g | 芦丁 | HZutin | 153-18-4 | HZHZ,95% | 100g | 280.00 |
| HZ13033-25g | 芦丁 | HZutin | 153-18-4 | HZHZ,95% | 25g | 100.00 |
| HZ13034-100g | 乳清酸 | OHZotic acid | 65-86-1 | HZHZ,98% | 100g | 150.00 |
| HZ13034-25g | 乳清酸 | OHZotic acid | 65-86-1 | HZHZ,98% | 25g | 80.00 |
| HZ13034-500g | 乳清酸 | OHZotic acid | 65-86-1 | HZHZ,98% | 500g | 500.00 |
风险提示:丁香通仅作为第三方平台,为商家信息发布提供平台空间。用户咨询产品时请注意保护个人信息及财产安全,合理判断,谨慎选购商品,商家和用户对交易行为负责。对于医疗器械类产品,请先查证核实企业经营资质和医疗器械产品注册证情况。
文献和实验C29 H50 O。又称豆甾 -5-烯 -3β -醇, 24R-乙基胆甾 -5烯 -3β -醇。是以谷类(希文, sitos)命名的甾醇( sterol)。后来已知是α -,β -以及γ -谷甾醇等的混合物。现在知道α体是 C30 甾酵,γ体是 C2 及 C29 的甾醇混合物,因为它们已不被称为谷甾醇,所以仅留下β -谷甾醇具有谷甾醇的名称。它是植物界中分布最广的甾醇,可为毛地黄皂苷( digitonin)沉淀。
C29 H45 O。又称豆甾 -5, 22-二烯 -3β -醇或 24R-乙基胆甾 -5, 22-二烯 -3β -醇。主要与谷甾醇一起是广泛分布于植物界的甾醇。其醋酸酯的四溴化物难溶于醚,利用这一特点,可从其他甾醇中进行分离精制,用作性激素的合成原料。
用量限制了这一治疗方案的广泛应用。目前诱导多能干细胞(iPSC)分化为产生胰岛素的 β 样细胞是一项重大进展。2021 年美国食品和药物管理局(FDA)已授予 VX-880(一种 iPSC 细胞在体外诱导分化而来的胰岛 β 细胞)快速通道指定,目前已启动 VX-880 的临床试验,用于治疗严重低血糖和低血糖意识受损的 1 型糖尿病(T1D)患者。在 2023 年 6 月举办的美国糖尿病协会 (ADA) 第 83 届科学会议上公布了正在进行的 VX-880 临床试验的积极结果:所有接受 VX-880 治疗的患者均
技术资料暂无技术资料 索取技术资料









