相关产品推荐更多 >
万千商家帮你免费找货
0 人在求购买到急需产品
- 详细信息
- 文献和实验
- 技术资料
- 库存:
大量
- 英文名:
20(S)-Ginsenoside-Rg3
- 保质期:
1-3年
- 供应商:
上海沪震实业有限公司
- 保存条件:
常温或2-8℃保存
- 规格:
5mg/10mg/25mg
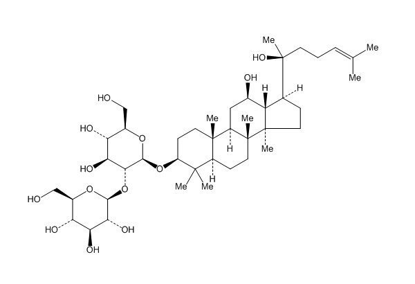
【Product Name】 20(S)-Ginsenoside-Rg3
【CAS Number】 14197-60-5
【Del.CASNumber】 11019-45-7,12770-19-3,47891-53-2,195711-65-0
【Synonyms】 20(S)-Ginsenoside-Rg3; (20S)-Propanaxadiol
【中文名称】 人参皂苷Rg3
【Chemical Name】 β-D-Glucopyranoside, (3β,12β)-12,20-dihydroxydammar-24-en-3-yl2-O-β-D-glucopyranosyl-
【Chemical Formula】 C42H72O13
【Molecular Weight】 785.03
【Chemotaxonomic Group】 三萜类 Triterpenoids

相关标准品-对照品列表:
| HZ20342-100ml | 嗜酸性粒细胞稀释液(计数液) | \N | \N | 100ml | 60.00 | |
| HZ20343-100ml | 尿沉渣染色液(SteHZnheimeHZ法) | \N | \N | 100ml | 1020.00 | |
| HZ20343-50ml | 尿沉渣染色液(SteHZnheimeHZ法) | \N | \N | 50ml | 560.00 | |
| HZ20345-100ml | 尿沉渣染色液(SteHZnheimeHZ-MalHZin法) | \N | \N | 100ml | 1000.00 | |
| HZ20345-50ml | 尿沉渣染色液(SteHZnheimeHZ-MalHZin法) | \N | \N | 50ml | 540.00 | |
| HZ20347-100ml | 精子稀释液(计数液) | 100ml | 100.00 | |||
| HZ20348-10ml | 精子活体染色液(伊红法) | \N | \N | 10ml | 160.00 | |
| HZ20349-10ml | 精子活体染色液(伊红-苯胺黑法) | \N | \N | 10ml | 230.00 | |
| HZ20349-20ml | 精子活体染色液(伊红-苯胺黑法) | \N | \N | 20ml | 360.00 | |
| HZ20351-10ml | 精子活体检测试剂盒(低渗膨胀法) | \N | \N | 10ml | 100.00 |
风险提示:丁香通仅作为第三方平台,为商家信息发布提供平台空间。用户咨询产品时请注意保护个人信息及财产安全,合理判断,谨慎选购商品,商家和用户对交易行为负责。对于医疗器械类产品,请先查证核实企业经营资质和医疗器械产品注册证情况。
文献和实验本试验采取热法血清稀释法。每滴相当于0.02ml,总量为6滴,相当于0.12ml。 一、材料 1、抗原 系各型菌株培养物多价抗原,按瓶签说明倍数稀释; 2、溶血素 正式试验时使用2个工作单位; 3、补体系冻干补体 用灭菌生理盐水作1:5基础稀释。在溶血素效价测定和补体效价滴定时均作1:60稀释,在正式试验时,用2个工作单位; 4、1%的红血球悬液 用灭菌生理盐水洗涤与配制。在使用时与等量含2个工作单位的溶血素液配成致敏红血球悬液; 5、阳性血清 正式试验时1:100稀释
三句话读懂一篇 CNS:让人产生幻觉的毒蘑菇,竟能治疗抑郁症?韩春雨开发 RNA 高效追踪平台
:接种新冠加强针更能抵抗奥密克戎 2022 年 1 月 28 日,中国科学院生物物理研究所王祥喜等多个团队联合在 Nature 杂志发表研究论文 Memory B cell repertoire from triple vaccinees against diverse SARS-CoV-2 variants。 该研究检查了接受两剂或三剂灭活疫苗的个体的血清是否可以中和真正的 Omicron,结果显示 2 剂和 3 剂疫苗的中和抗体的血清转化率分别为 3.3%(2/60)和 95%(57
Single tube confirmation PCR protocol
containing 60 U/ml of Zymolyase (This solution is generated by resuspending 6 mg of 100T Zymolyase in 10 mls of water. Ordering information: Seikagaku Corp., #120493-1). - Sterile yellow tips work great for this task. - Repeat this step
技术资料暂无技术资料 索取技术资料










