相关产品推荐更多 >
万千商家帮你免费找货
0 人在求购买到急需产品
- 详细信息
- 技术资料
- 库存:
948
- 英文名:
Verucerfont
- CAS号:
885220-61-1
- 保质期:
2年
- 供应商:
北京百奥莱博科技有限公司
- 保存条件:
-20℃
特别声明:本产品及我公司所售其他产品均为科研类试剂产品,严禁用于药物、医疗及其他非科研用途。
CRF1拮抗剂(Verucerfont)哪里卖由专业试剂供应商北京百奥莱博提供,用于生化研究,本产品质量好,且极具价格优势,深为用户称道,了解更多CRF1拮抗剂(Verucerfont)等细胞生物学试剂产品请联*(代"系")我司咨询订购。
名称:CRF1拮抗剂(Verucerfont)哪里卖
品牌:百奥莱博
规格:1mL(10mM)|1mg|5mg|10mg|50mg|100mg
英文名:Verucerfont
产地:国产|进口
编号:M06955
Verucerfont是促肾上腺皮质激素释放因子受体1(CRF1)的拮抗剂,对于CRF1,CRF2和CRF-BP的IC50值分别为6.1,>1000和>1000nM。
注:本品仅可用于科研实验,严禁用于临床医疗及其他用途!
CAS号:885220-61-1
别名:GSK561679
纯度:99.94%
分子式:C₂₂H₂₆N₆O₂
分子量:406.48
结构式:

储存条件:-20℃,有效期2年,溶入溶剂后-20℃请尽量在一个月内使用。
想要了解更多关于CRF1拮抗剂(Verucerfont)哪里卖的价格、品牌、厂家、说明书、促销信息,请和我们联*(代"系")。此外我公司还销*(代"售")下面的产品:
ARB12970 小鼠肌*蛋白Ⅰ(Tn-Ⅰ)酶标法分析 Mouse troponin i,tn-i ELISA KIT
HC0060 袋装滤芯吸头
ARB12697 大鼠凝聚素(CLU)Elisa定量检测 Rat clusterin,clu ELISA KIT
ARB14034 植物维生素D(VD)elisa检测操作说明书 Plant vitamin d,vd ELISA KIT
ELISA试剂盒 Human anti-zona pellucida antibody,azp ELISA KIT
*化*溶液 1mol/L 500ml
硫*(代"酸")核糖霉素 HDBTU 53797-35-6
ARB13988 猪葡萄糖转运蛋白2(GLUT2)含量测试 Porcine glucose transporter 2,glut2 ELISA KIT
HEPES溶液(pH6.8-8.0,非无菌) 1mol/L 100ml|500ml
119-44-8 酵母粉 Yeast
BTN90212 高载量PCR片段纯化试剂盒 Maxi PCR Clean-Up Kit
没食子酸 Bismuth potassiu*(代"m") iodide 149-91-7
BTN130622 T4 RNA连接酶 1 T4 RNA Ligase 1
BL0883 兔抗狗IgG免疫血清 0.5ml
CRF1拮抗剂(Verucerfont)哪里卖关键词:CRF1拮抗剂,GSK561679,885220-61-1,Verucerfont
BTN131019 无内毒素萤火虫荧光素 Endo-free Luciferin
ARB12691 大鼠凝血因子ⅩⅢ(FⅩⅢ)ELISA检测服务 Rat coagulation factor ⅩⅢ,fⅩⅢ ELISA KIT
印度墨水 γ-Globulins from bovine blood
蔗糖磷酸化酶 TBA 9074-06-0
氧化型谷胱甘肽(GSSG)检测试剂盒(DTNB速率微板法) 100T
曙红Y(醇溶) BNOA 15086-94-9
ARB10668 人血管紧张素Ⅱ受体1抗体(ATⅡR1)含量测试 Human angiotension Ⅱ receptor 1 antibody,atⅡr1 ab ELISA KIT
代谢性骨疾病固定液(pH7.35) 500ml
F030223 HRP标记兔抗猴IgG抗体 Rabbit Anti-monkey IgG*HRP
ARB12905 小鼠白介素18(IL-18)酶标法分析 Mouse interleukin 18,IL-18 ELISA KIT
67-75-5 Tetracyclin HCl 盐*(代"酸")四环素
ARB12664 大鼠碱性成纤维细胞生长因子4(bFGF-4)Elisa定量检测 Rat basic fibroblast growth factor 4,bfgf-4 ELISA KIT
ARB12377 大鼠金属硫蛋白(MT)血清中含量检测 Rat metallothionein,mt ELISA KIT
L-*甘*酸乙酯盐*(代"酸")盐 α-Hydroxyisobutyric acid
甘油溶液(100%,无菌) 100ml
CRF1拮抗剂(Verucerfont)哪里卖关键词:CRF1拮抗剂,GSK561679,885220-61-1,Verucerfont
·蛋白酪*酸磷酸酶抑制剂
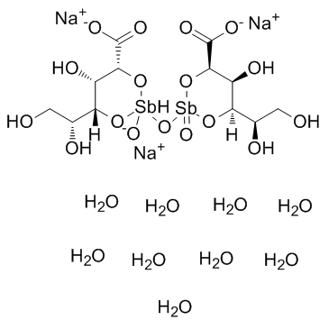
编号:M00592
英文名称:Stibogluconate sodiu*(代"m")
规格:1mL(10mM)|500mg|1g
Stibogluconate sodiu*(代"m")是蛋白酪*酸磷酸酶(phosphatase)的有效抑制剂。Stibogluconate sodiu*(代"m")在10,100和100μg/mL时分别抑制99%的SHP-1,SHP-2和PTP1B活性。
注:本品仅可用于科研实验,严禁用于临床医疗及其他用途!
CAS号:16037-91-5
别名:Sodium stibogluconate
纯度:98.0%
分子式:C₁₂H₃₈O₂₆Sb₂Na₃
分子量:910.9
结构式:

储存条件:-20℃,有效期2年,溶入溶剂后-20℃请尽量在一个月内使用。
我公司生产供应销*(代"售")的细胞生物学试剂正全品类优惠促销,十分期待您的咨询选购CRF1拮抗剂(Verucerfont)哪里卖。
风险提示:丁香通仅作为第三方平台,为商家信息发布提供平台空间。用户咨询产品时请注意保护个人信息及财产安全,合理判断,谨慎选购商品,商家和用户对交易行为负责。对于医疗器械类产品,请先查证核实企业经营资质和医疗器械产品注册证情况。
技术资料暂无技术资料 索取技术资料










