相关产品推荐更多 >
万千商家帮你免费找货
0 人在求购买到急需产品
- 详细信息
- 技术资料
- 库存:
大量
- 英文名:
Glycyrrhizic Acid Monoammonium Salt
- 保质期:
1-3年
- 供应商:
上海沪震实业有限公司
- 保存条件:
常温或2-8℃保存
- 规格:
5mg/25mg
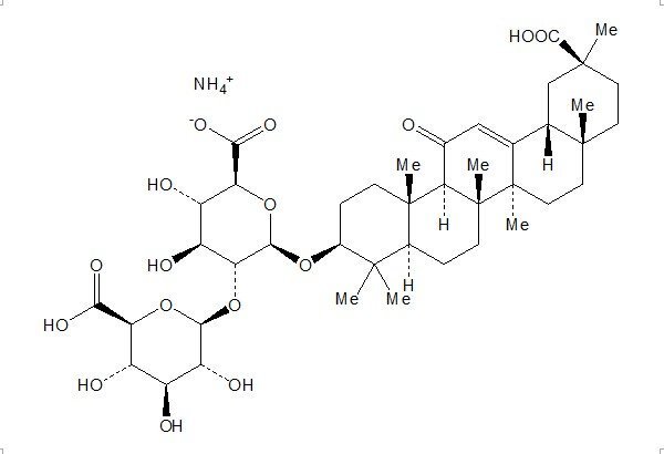
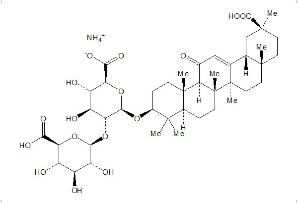
甘草酸单铵盐(53956-04-0)
【Product Name】 Glycyrrhizic Acid Monoammonium Salt
【CAS Number】 53956-04-0
【Del.CASNumber】 1407-03-0,42618-06-4,52248-53-0,97635-37-5,202522-36-9,1208112-20-2
【Synonyms】 Ammonium glycyrrhizinate,Glycyrrhizic acid monoammonium salt,Monoammonium glycyrrhizinate
【中文名称】 甘草酸单铵盐
【Chemical Name】 (3-beta,20-beta)-20-Carboxy-11-oxo-30-norolean-12-en-3-yl 2-O-beta-D- glucopyranuronosyl- alpha-D-glucopyranosiduronic acid, ammonium salt
【Chemical Formula】 C42H65NO16
【Molecular Weight】 839.97
【Chemotaxonomic Group】 三萜类 Triterpenoids

相关标准品-对照品列表:
| H22348-包 | 巴氏吸管 | \N | \N | 0.5ML | 500只/包 | 48.00 |
| H22349-包 | 巴氏吸管 | \N | \N | 0.2ML | 500只/包 | 48.00 |
| H22350-包 | 巴氏吸管 | \N | \N | 0.2ML | 500只/包 | 48.00 |
| H22351-包 | 巴氏试管 | \N | \N | 0.5ML | 500只/包 | 102.00 |
| H22352-包 | 巴氏试管 | \N | \N | 0.1ML | 500只/包 | 90.00 |
| H22353-包 | 螺旋盖冻存管 | \N | \N | 5ml | 200只/包 | 216.00 |
| H22354-包 | 螺旋盖冻存管 | \N | \N | 6ml | 200只/包 | 168.00 |
| H22355-包 | 螺旋盖冻存管 白盖无刻度 | \N | \N | 6ml | 200只/包 | 144.00 |
| H22356-包 | 螺旋盖冻存管 ?白盖无刻度 | \N | \N | 5ml | 200只/包 | 72.00 |
| H22357-包 | 螺旋盖冻存管 | \N | \N | 5ml | 200只/包 | 84.00 |
| H22358-包 | 螺旋盖冻存管 | \N | \N | 1.5ml | 500只/包 | 300.00 |
风险提示:丁香通仅作为第三方平台,为商家信息发布提供平台空间。用户咨询产品时请注意保护个人信息及财产安全,合理判断,谨慎选购商品,商家和用户对交易行为负责。对于医疗器械类产品,请先查证核实企业经营资质和医疗器械产品注册证情况。
技术资料暂无技术资料 索取技术资料
甘草酸单铵盐(53956-04-0)
¥100 - 250










