相关产品推荐更多 >
万千商家帮你免费找货
0 人在求购买到急需产品
- 详细信息
- 文献和实验
- 技术资料
- 库存:
大量
- 英文名:
20(R)-Ginsenoside-Rg3
- 保质期:
1-3年
- 供应商:
上海沪震实业有限公司
- 保存条件:
常温或2-8℃保存
- 规格:
5mg/10mg/25mg
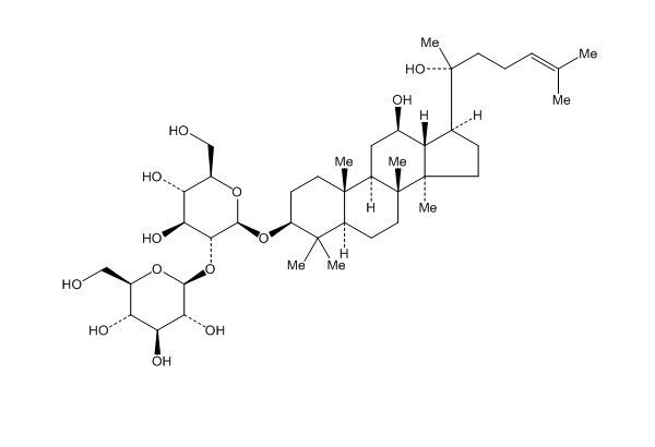
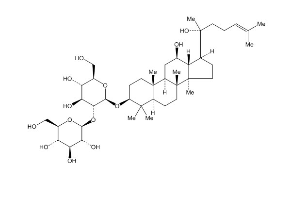
【Product Name】 20(R)-Ginsenoside-Rg3
【CAS Number】 38243-03-7
【Synonyms】 20(R)-Propanaxadiol
【中文名称】 20(R)-人参皂苷Rg3
【Chemical Name】 β-D-Glucopyranoside, (3β,12β,20R)-12,20-dihydroxydammar-24-en-3-yl2-O-β-D-glucopyranosyl-
【Chemical Formula】 C42H72O13
【Molecular Weight】 785.02
【Chemotaxonomic Group】 三萜类 Triterpenoids

相关标准品-对照品列表:
| HZ21788-100T | 碱性磷酸酶同工酶检测试剂盒(热稳定性法) | \N | \N | 100T | 340.00 | |
| HZ21790-100T | 碱性磷酸酶同工酶检测试剂盒(抑制敏感法) | \N | \N | 100T | 410.00 | |
| HZ21792-100T | 酸性磷酸酶(ACP)检测试剂盒(磷酸苯二钠微板法) | \N | \N | 100T | 410.00 | |
| HZ21794-50T | 酸性磷酸酶(ACP)检测试剂盒(磷酸苯二钠比色法) | \N | \N | 50T | 180.00 | |
| HZ21796-60T | 酸性磷酸酶(ACP)检测试剂盒(PNP比色法) | \N | \N | 60T | 360.00 | |
| HZ21802-60T | 抗酒石酸酸性磷酸酶(THZAP)检测试剂盒(PNP比色法) | \N | \N | 60T | 380.00 | |
| HZ21804-50T | β-N-乙酰葡萄糖苷酶(NAG)检测试剂盒(PNP微板法) | \N | \N | 50T | 310.00 | |
| HZ21805-50T | β-N-乙酰葡萄糖苷酶(NAG)检测试剂盒(PNP比色法) | \N | \N | 50T | 460.00 | |
| HZ21806-50T | 葡萄糖-6-磷酸脱氢酶(G6PD)定性检测试剂盒(荧光斑点法) | \N | \N | 50T | 470.00 | |
| HZ21807-100T | 葡萄糖-6-磷酸脱氢酶(G6PD)检测试剂盒(简易微板法) | \N | \N | 100T | 120.00 | |
| HZ21809-50T | 葡萄糖-6-磷酸脱氢酶(G6PD)检测试剂盒(6-PGD校正比色法) | \N | \N | 50T | 3460.00 | |
| HZ21811-50T | 丙酮酸激酶(PK)检测试剂盒(PEP比色法) | \N | \N | 50T | 1440.00 |
风险提示:丁香通仅作为第三方平台,为商家信息发布提供平台空间。用户咨询产品时请注意保护个人信息及财产安全,合理判断,谨慎选购商品,商家和用户对交易行为负责。对于医疗器械类产品,请先查证核实企业经营资质和医疗器械产品注册证情况。
文献和实验和 yaxt 为 「n」,最后再用 axis() 函数画坐标轴。有时候想让坐标轴显示的数字和默认值不同,或者想隔一两个刻度点显示一个数字,都可以用这个方法,单独画坐标轴。(5)边框:之前加白色刻度线时会将边框盖住一部分,在画完图之后,用 box() 函数再加一次边框就可以了。最终成品:同样也可以用这个方法画教科书级柱状图,比如:代码较长,为方便大家查看,我直接将代码整理成资料包的形式,供大家下载。在【生物学霸】对话框回复【代码】,即可直接下载。以上就是用 20 行 R 代码绘出教科书同款配图的全部教程
【选题投稿】还在为 Meta 选刊烦恼?20+ 本选优期刊汇总
来源于 PubMed) 笔者,在 Greenpubmed 中对数据进行筛选。发现截止到 5 月 9 日,2020 年已经发表了超过 8 千篇 Meta 分析文章。笔者以 3 分为界,选取了发表超过 20 篇 3 分以上的 Meta 期刊,筛选出来将近 30 本期刊。 其中,已发表超过 50 篇的期刊有 Sci Rep (IF=4.011) 73 篇,Int J Surg(IF=3.158)62 篇,Cochrane Database Syst Rev (IF=7.755) 56 篇,J
近期,来自广州海洋实验室的陈凯教授,昆明医科大学口腔医学院的杨禾丰教授和胡江天教授团队在 Bioactive Materials 杂志发表了题为「miR-423-5p-enriched small extracellular vesicles drive periodontal regeneration via Sfrp2+ cell expansion」的科研论文,IF = 20.3。 研究背景: 牙周缺损(periodontal defect)是牙周炎引发的成年人牙齿脱落的主要原因
技术资料暂无技术资料 索取技术资料










