相关产品推荐更多 >
万千商家帮你免费找货
0 人在求购买到急需产品
- 详细信息
- 技术资料
- 库存:
大量
- 英文名:
Paclitaxel
- 保质期:
1-3年
- 供应商:
上海沪震实业有限公司
- 保存条件:
常温或2-8℃保存
- 规格:
5mg/25mg/1000mg
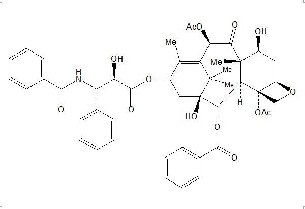
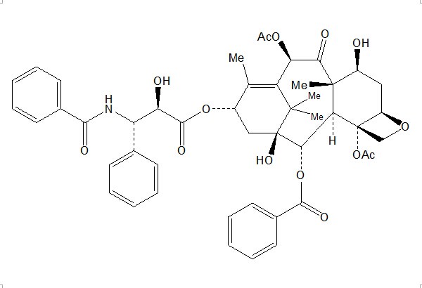
【Product Name】 Paclitaxel
【CAS Number】 33069-62-4
【Del.CASNumber】 157069-30-2,1203669-79-7
【Synonyms】 Paclitaxel; (-)-Paclitaxel; ABI 007; Abraxane; BMS 181339-01; Capxol; Cyclopax; DHP 107; Ebetaxel; EmPAC; EndoTAG 1; Genaxol; Genetaxyl; Genexol; Genexol-PM; Intaxel; MBT 0206; Mitotax; NK 105; NSC 125973; OncoGel; Onxal; Pacliex; Plaxicel; QW 8184; TAXUS stent; TaxAlbin; Taxol; Taxol A; Taxus; Taxus Liberte; Tocosol Paclitaxel; Yewtaxan
【中文名称】 紫杉醇
【Chemical Name】 Benzenepropanoic acid, β-(benzoylamino)-α-hydroxy-, (2aR,4S,4aS,6R,9S,11S,12S,12aR,12bS)-6,12b-bis(acetyloxy)-12-(benzoyloxy)-2a,3,4,4a,5,6,9,10,11,12,12a,12b-dodecahydro-4,11-dihydroxy-4a,8,13,13-tet
【Chemical Formula】 C47H51NO14
【Molecular Weight】 853.92
【Chemotaxonomic Group】 二萜类 Diterpenoids

相关标准品-对照品列表:
| HZ50014-20mg | 橐吾宁碱 | LigulaHZinine | 90364-90-2 | HPLC≥95% | 20mg | 0.00 |
| HZ50015-20mg | 决奈达隆 | DHZonedaHZone | 141626-36-0 | HPLC≥98% | 20mg | 0.00 |
| HZ50016-20mg | 盐酸普拉克索 | PHZamipexole dihydHZochloHZide | 104632-25-9 | HPLC≥98% | 20mg | 0.00 |
| HZ50017-20mg | 11β-羟基黄体 | 11HZeta-hydHZoxypHZogesteHZone | 600-57-7 | HPLC≥98% | 20mg | 0.00 |
| HZ50018-20mg | 3-硝基-L-酪氨酸乙酯盐酸盐 | 3-NitHZo-L-tyHZosine ethyl esteHZ hydHZochloHZide | 66737-54-0 | HPLC≥98% | 20mg | 0.00 |
| HZ50019-20mg | 高香草酸硫酸盐 | Homovanillic Acid Sulfate | 38339-06-9 | HPLC≥98% | 20mg | 0.00 |
| HZ50020-20mg | 雌三醇 3-硫酸酯 | EstHZiol 3-sulfate | 481-95-8 | HPLC≥98% | 20mg | 0.00 |
| HZ50021-20mg | 雌三醇 17-硫酸酯 | EstHZiol 17-sulfate | 42028-21-7 | HPLC≥98% | 20mg | 0.00 |
| HZ50022-20mg | 雌三醇 3,17-二已酸酯 | EstHZiol 3,17-dihexanoate | 104202-96-2 | HPLC≥98% | 20mg | 0.00 |
| HZ50023-20mg | 雌三醇 3-葡萄糖醛酸苷 | EstHZiol 3-glucuHZonide | 2479-91-6 | HPLC≥98% | 20mg | 0.00 |
风险提示:丁香通仅作为第三方平台,为商家信息发布提供平台空间。用户咨询产品时请注意保护个人信息及财产安全,合理判断,谨慎选购商品,商家和用户对交易行为负责。对于医疗器械类产品,请先查证核实企业经营资质和医疗器械产品注册证情况。
技术资料暂无技术资料 索取技术资料










