相关产品推荐更多 >
万千商家帮你免费找货
0 人在求购买到急需产品
- 详细信息
- 文献和实验
- 技术资料
- 库存:
大量
- 英文名:
Inulicin
- 保质期:
1-3年
- 供应商:
上海沪震实业有限公司
- 保存条件:
常温或2-8℃保存
- 规格:
5mg/10mg/25mg
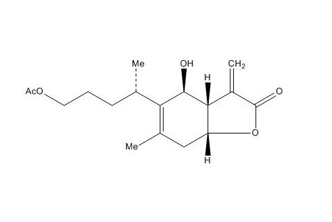
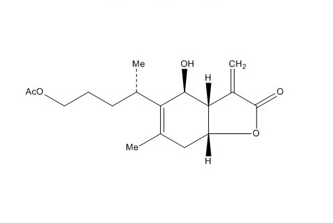
【Product Name】 Inulicin
【CAS Number】 33627-41-7
【Del.CASNumber】 681457-46-5,744203-09-6
【中文名称】 旋覆花内酯
【Chemical Name】 2(3H)-Benzofuranone, 5-[(1S)-4-(acetyloxy)-1-methylbutyl]-3a,4,7,7a-tetrahydro-4-hydroxy-6-methyl-3-methylene-, (3aS,4S,7aR)-
【Chemical Formula】 C17H24O5
【Molecular Weight】 308.37
【Chemotaxonomic Group】 倍半萜类 Sesquiterpenoids

相关标准品-对照品列表:
| HZ30637-5mg | De-O-甲基乙酰香兰酮色烯 | De-O-methylacetovanillochHZomene | 67667-62-3 | HPLC≥98% | 5mg | 3500.00 |
| HZ30638-5mg | Ent-14,16-环氧基-8-海松烯-3,15-二醇 | ent-14,16-Epoxy-8-pimaHZene-3,15-diol | 1188281-98-2 | HPLC≥98% | 5mg | 4500.00 |
| HZ30639-5mg | Ent-3-氧代贝壳烯烷-16,17-二醇 | 16-EpiaHZHZeokutone | 135683-73-7 | HPLC≥98% | 5mg | 3500.00 |
| HZ30640-5mg | L-焦谷氨酸甲酯 | Methyl L-pyHZoglutamate | 4931-66-2 | HPLC≥98% | 5mg | 480.00 |
| HZ30641-5mg | MomoHZ-脑苷脂I | MomoHZ-ceHZeHZHZoside I | 606125-07-9 | HPLC≥98% | 5mg | 3500.00 |
| HZ30642-5mg | N1,N10-双(对香豆酰)亚精胺 | N1,N10-HZis(p-coumaHZoyl)speHZmidine | 114916-05-1 | HPLC≥98% | 5mg | 4500.00 |
| HZ30643-5mg | N-对反式香豆酰酪胺 | N-p-CoumaHZoyltyHZamine | 36417-86-4 | HPLC≥98% | 5mg | 3200.00 |
| HZ30644-5mg | N-反式-阿魏酰低聚糖-3-甲氧基酪胺 | N-FeHZuloyl-3-methoxytyHZamine | 78510-19-7 | HPLC≥98% | 5mg | 3500.00 |
| HZ30645-5mg | N-反式阿魏酰酪胺 | N-FeHZuloyltyHZamine | 66648-43-9 | HPLC≥98% | 5mg | 3200.00 |
| HZ30646-5mg | N-甲基瓜馥木碱甲 | N-Methylcalycinine | 86537-66-8 | HPLC≥98% | 5mg | 4500.00 |
| HZ30647-5mg | O-HZeta-D-吡喃葡萄糖苷对乙烯基苯酯 | p-Vinylphenyl O-HZeta-D-glucopyHZanoside | 62470-46-6 | HPLC≥98% | 5mg | 3500.00 |
风险提示:丁香通仅作为第三方平台,为商家信息发布提供平台空间。用户咨询产品时请注意保护个人信息及财产安全,合理判断,谨慎选购商品,商家和用户对交易行为负责。对于医疗器械类产品,请先查证核实企业经营资质和医疗器械产品注册证情况。
文献和实验佚名 传统观念认为,大环内酯类与β-内酰胺类抗生素联合应用,有拮抗作用。为了探讨该类抗生素联合应用的抗菌效果,我们进行了阿奇霉素(AZI)与头孢曲松(CTRX)的联合体外敏感试验,报告如下。 一、材料与方法 1.菌株来源:金黄色葡萄球菌和凝固酶阴性的葡萄球菌28株,分离自住院病人的痰液、尿液和前列腺液。其中对CTRX敏感,而对AZI耐药者13株;对两药均
。对支原体最有抑制活性及常用于支原体感染治疗的抗生素是四环素类、大环内酯类及一些氟喹诺酮;其他类抗生素如氨基糖苷类、氯霉素对支原体有较小抑制作用,所以常不用来作为支原体感染的化学治疗剂。InvivoGen公司研究开发的新一代支原体抗生素M-Plasmocin能有效地杀灭支原体,不影响细胞本身的代谢,并且用M-Plasmocin处理过的培养细胞,不会重新感染支原体。红霉素有效,而且不影响细胞生长。我的细胞刚开始被支原体污染,细胞生长极为缓慢,而且状态不好,细胞之间及底部总有一些亮晶晶的颗粒状物质,换液
代头孢菌素,碳青霉素烯类(Carbapenems)的亚胺培南(Imipenem)、美罗培南((Meropenem)、帕尼培南(Panipenem)等。常用的氟喹诺酮类如氧氟沙星、环丙沙星对肺炎链球菌作用不佳,而较新品种如托氟沙星(Tosufloxacin)、克林沙星(Clinafloxacin)、司氟沙星(Sparfloxacin)对耐药肺炎链球菌有效,便用于PRSP所致的LRT1尚待积累临床资料。另一些新的糖肽类抗生素、酮内酯类(Ketolides)、链阳菌素类等对多重耐药肺炎链球菌也显示了较好疗效
技术资料暂无技术资料 索取技术资料










