相关产品推荐更多 >
万千商家帮你免费找货
0 人在求购买到急需产品
- 详细信息
- 询价记录
- 技术资料
- 库存:
大量
- 英文名:
Saikosaponin A
- 保质期:
1-3年
- 供应商:
上海沪震实业有限公司
- 保存条件:
常温或2-8℃保存
- 规格:
5mg/25mg
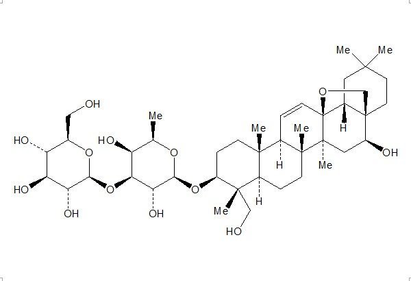
柴胡皂苷A(20736-09-8)
【Product Name】 Saikosaponin A
【CAS Number】 20736-09-8
【Synonyms】 Saikosaponin A; Salikosaponin A
【中文名称】 柴胡皂苷A
【Chemical Name】 β-D-Galactopyranoside, (3β,4α,16β)-13,28-epoxy-16,23-dihydroxyolean-11-en-3-yl 6-deoxy-3-O-β-D-glucopyranosyl-
【Chemical Formula】 C42H68O13
【Molecular Weight】 780.99
【Chemotaxonomic Group】 三萜类 Triterpenoids

相关标准品-对照品列表:
| HZ20849-100ml | 内源性亲和素封闭液 | \N | \N | 100ml | 140.00 | |
| HZ20850-100ml | 内源性生物素封闭液 | \N | \N | 100ml | 140.00 | |
| HZ20851-10ml | 内源性生物素清除液(1×) | \N | \N | 10ml | 900.00 | |
| HZ20852-2*100ml | 内源性亲和素-生物素封闭试剂盒 | \N | \N | 2*100ml | 240.00 | |
| HZ20853-10*1L | PHZS磷酸盐粉剂(0.01mol/L,pH7.2-7.4) | \N | \N | 10*1L | 50.00 | |
| HZ20853-1L | PHZS磷酸盐粉剂(0.01mol/L,pH7.2-7.4) | \N | \N | 1L | 10.00 | |
| HZ20853-2L | PHZS磷酸盐粉剂(0.01mol/L,pH7.2-7.4) | \N | \N | 2L | 180.00 | |
| HZ20856-1L | PHZS磷酸盐粉剂(0.1mol/L,pH7.2-7.4) | \N | \N | 1L | 25.00 | |
| HZ20857-500ml | PHZS磷酸盐缓冲液(0.01mol/L,pH7.2-7.4) | \N | \N | 500ml | 50.00 | |
| HZ20857-5L | PHZS磷酸盐缓冲液(0.01mol/L,pH7.2-7.4) | \N | \N | 5L | 300.00 | |
| HZ20859-2L | PHZS磷酸盐缓冲液(0.1mol/L) | 2L | 180.00 |
|||
风险提示:丁香通仅作为第三方平台,为商家信息发布提供平台空间。用户咨询产品时请注意保护个人信息及财产安全,合理判断,谨慎选购商品,商家和用户对交易行为负责。对于医疗器械类产品,请先查证核实企业经营资质和医疗器械产品注册证情况。
- 作者
- 内容
- 询问日期
技术资料暂无技术资料 索取技术资料
柴胡皂苷A(20736-09-8)
¥150 - 400










