相关产品推荐更多 >
万千商家帮你免费找货
0 人在求购买到急需产品
- 详细信息
- 文献和实验
- 技术资料
- 库存:
大量
- 英文名:
Plantainoside D
- 保质期:
1-3年
- 供应商:
上海沪震实业有限公司
- 保存条件:
常温或2-8℃保存
- 规格:
5mg/10mg
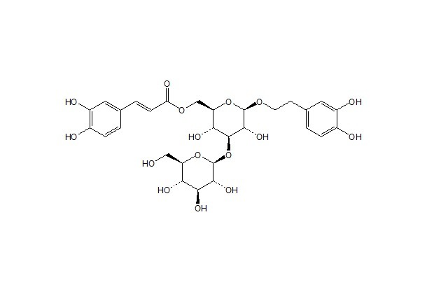
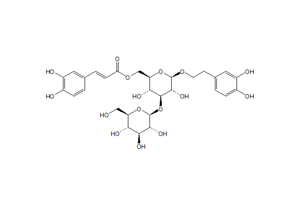
【Product Name】 Plantainoside D
【CAS Number】 147331-98-4
【Del.CASNumber】 136083-87-9
【Synonyms】 Isoplantamajoside
【中文名称】 车前草苷D
【Chemical Name】 β-D-Glucopyranoside,2-(3,4-dihydroxyphenyl)ethyl 3-O-β-D-glucopyranosyl-, 6-[(2E)-3-(3,4-dihydroxyphenyl)-2-propenoate]
【Chemical Formula】 C29H36O16
【Molecular Weight】 640.59
【Chemotaxonomic Group】 简单苯丙素类 Simple Phenylpropanoids

相关标准品-对照品列表:
| HZ26040-1g | 川芎 | CHUANXIONG HZHIZOMA | \N | 对照药材 | 1g | 90.00 |
| HZ26041-1g | 平贝母 | \N | 对照药材 | 1g | 105.00 | |
| HZ26042-1g | 肉豆蔻 | \N | 对照药材 | 1g | 105.00 | |
| HZ26043-1g | 当归 | \N | 对照药材 | 1g | 120.00 | |
| HZ26044-1g | 夏枯草 | FHZUCTUS CITHZI SAHZCODACTYLIS | \N | 对照药材 | 1g | 90.00 |
| HZ26045-1g | 首乌藤 | CAULIS POLYGONI MULTIFLOHZI | \N | 对照药材 | 1g | 120.00 |
| HZ26046-1g | 独活 | \N | 对照药材 | 1g | 120.00 | |
| HZ26047-1g | 三七 | NOTOGINSENG HZADIX ET HZHIZOMA | \N | 对照药材 | 1g | 150.00 |
| HZ26048-1g | 天麻 | \N | 对照药材 | 1g | 120.00 | |
| HZ26049-1g | 白芷 | \N | 对照药材 | 1g | 60.00 | |
| HZ26050-1g | 防风 | \N | 对照药材 | 1g | 105.00 | |
| HZ26051-1g | 前胡 | \N | 对照药材 | 1g | 90.00 |
风险提示:丁香通仅作为第三方平台,为商家信息发布提供平台空间。用户咨询产品时请注意保护个人信息及财产安全,合理判断,谨慎选购商品,商家和用户对交易行为负责。对于医疗器械类产品,请先查证核实企业经营资质和医疗器械产品注册证情况。
文献和实验。 图21-3 糖原的分去状结构示意图 糖原是无定性粉末,溶于热水,溶解后呈胶体溶液。糖原溶液遇碘呈紫红色。糖原水解的最终产物是D-葡萄糖。 (三)纤维素 纤维素是植物细胞壁的主要成分,是构成植物支撑组织的基础。棉花几乎全部是由纤维素所组成(占98%),亚麻中约含80%,木材中纤维平均含量约为50%,此外,发现某些动物体内也有动物纤维素。 纤维素的结构单位也是D-葡萄糖,和糖淀粉相似也是无分支的链状分子,但结构单位之间以β-1,4-苷键结合而成长链。经X射线
]。 ( 3 ) 洋地黄阜苷增溶液:5.0% 洋地黄阜苷(Fluka,Buchs,Switzerland) ,30 mmol/L HEPPS,150 mmol/L 乙酸钾,10% ( V/V ) 甘油,pH 7.4,4°C 贮藏备用。这个增溶液要新鲜配制,配制时短时间加热到 98°C,溶解洋地黄皂苷。使用前加入苯甲基磺酰氟(PMSF) [ 终浓度为 2 mmol/L,储液配制:200 mmol/L PMSF ( m/V ) 溶解在乙醇溶液中]。 ( 4 ) 考马斯亮蓝染色液:5% 考马斯亮蓝 G-250
肌醇水溶液(保存于 4°C ) 。 ( 3 ) 甲醇-HCl 3 mol/L 试剂盒(Supelco,Bellefonte,PA ) ( 保存于 2~8°C ),打开一瓶,用甲醇稀释到 1 mol/L 甲醇-HCl 的浓度(见注释 1)。 ( 4 ) 无水乙酸 98%,分析纯级试剂(Sigma Aldrich,Aldrich) ( 室温保存)。 ( 5 ) 吡啶,99.8% 无水(Sigma Aldrich) ( 室温保存)。 ( 6 ) 硅烷化试剂:六甲基二硅烷
技术资料暂无技术资料 索取技术资料










