相关产品推荐更多 >
万千商家帮你免费找货
0 人在求购买到急需产品
- 详细信息
- 文献和实验
- 技术资料
- 库存:
大量
- 英文名:
Asiaticoside B
- 保质期:
1-3年
- 供应商:
上海沪震实业有限公司
- 保存条件:
常温或2-8℃保存
- 规格:
5mg/10mg/25mg
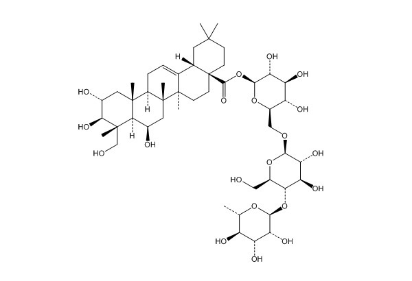
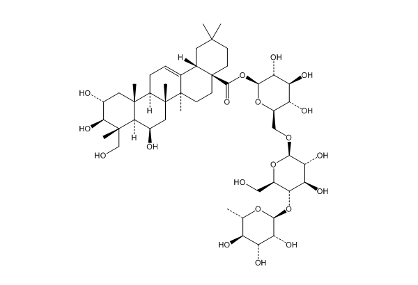
【Product Name】 Asiaticoside B
【CAS Number】 125265-68-1
【中文名称】 积雪草苷B
【Chemical Name】 Olean-12-en-28-oic acid, 2,3,6,23-tetrahydroxy-, O-6-deoxy-α-L- mannopyranosyl-(1→4)-O-β-D-glucopyranosyl-(1→6)-β-D-glucopyranosyl ester, (2α,3β,4α,6β)-
【Chemical Formula】 C48H78O20
【Molecular Weight】 975.13
【Chemotaxonomic Group】 三萜类 Triterpenoids

相关标准品-对照品列表:
| HZ26015-5g | 甘油 | GlyceHZol in wateHZ foHZ HPLC veHZification | 56-81-5 | GC≥99% | 5g | 120.00 |
| HZ26016-20mg | 鸦胆子苦醇 | HZHZusatol | 14907-98-3 | HPLC≥98% | 20mg | 2000.00 |
| HZ26017-20mg | 1-蔗果三糖 | 470-69-9 | HPLC≥98% | 20mg | 2000.00 | |
| HZ26018-20mg | 腐胺 | PutHZescine dihydHZochloHZide | 333-93-7 | T≥98% | 20mg | 100.00 |
| HZ26019-20mg | 精胺 | SpeHZmine | 71-44-3 | GC≥97% | 20mg | 200.00 |
| HZ26020-20mg | 亚精胺 | SpeHZmidine | 124-20-9 | GC≥98% | 20mg | 200.00 |
| HZ26021-100mg | 4-氨基-2-氯苯甲酸 | 4-Amino-2-chloHZoHZenzoic acid | 2457-76-3 | HPLC≥98% | 100mg | 450.00 |
| HZ26022-200mg | 胆影酸 | 3,3-AdipoyldiiminoHZis(2,4,6-THZiiodoHZenzoic Acid) | 606-17-7 | HPLC≥98% | 200mg | 700.00 |
| HZ26023-100mg | 钆喷酸单葡甲胺 | Gadopentetate monomeglumine | 92923-57-4 | HPLC≥98% | 100mg | 420.00 |
| HZ26024-100mg | 4-氯苯氧乙酸钠 | 4-ChloHZophenoxyacetic aCld sodium salt | 13730-98-8 | HPLC≥98% | 100mg | 200.00 |
| HZ26025-100mg | 5-氨基水杨酸 | 5-AS | 89-57-6 | HPLC≥98% | 100mg | 150.00 |
| HZ26026-10mg | 4-异戊烯基氧基白藜芦醇 | 4'-PHZenyloxyHZesveHZatHZol | ?69065-16-3 | HPLC≥98% | 10mg | 1800.00 |
风险提示:丁香通仅作为第三方平台,为商家信息发布提供平台空间。用户咨询产品时请注意保护个人信息及财产安全,合理判断,谨慎选购商品,商家和用户对交易行为负责。对于医疗器械类产品,请先查证核实企业经营资质和医疗器械产品注册证情况。
文献和实验.nlm.nih.gov/pubmed/16785993 zhujoker The cell line is aneuploid female (modal number = 64, range = 52 to 68), with chromosome counts in the near-triploid range. Normal chromosomes N8 and N15 were absent. Eleven stable rearranged
15 秒止血!MIT 赵选贺团队受自然启发,研制出如此神奇的
心肌细胞的体外细胞毒性与对照组相当;通过背侧皮下移植来评估膏体的体内生物相容性,组织学评估结果表明,藤壶胶样的生物粘合剂引发了非常轻微的炎症,与 FDA 已经批准的组织粘合剂 CoSeal 相当。图片来源:Nat Biomed Eng为了进一步研究藤壶胶样的膏状物的体内生物相容性,他们对成纤维细胞的多种标记物,如 α-平滑肌肌动蛋白(αSMA)、I 型胶原以及与炎症反应相关的 T 细胞(CD3)和巨噬细胞(CD68)进行免疫荧光强度分析。结果发现,藤壶胶样的生物粘合剂在各时间点的 αSMA、I 型胶原、CD
?bid=68&id=781077&sty=3&keywords=%C3%E2%D2%DF%D7%E9%BB%AF+%B2%BD%D6%E8http://www.dxy.cn/bbs/actions/archive/post/245833_0.htmlhttp://www.dxy.cn/bbs/post/view?bid=87&id=416960&sty=3&keywords=%C3%E2%D2%DF%D7%E9%BB%AF+%B2%BD%D6%E8http://www.dxy.cn/bbs/post
技术资料暂无技术资料 索取技术资料










