相关产品推荐更多 >
万千商家帮你免费找货
0 人在求购买到急需产品
- 详细信息
- 技术资料
- 库存:
大量
- 英文名:
Lucyoside B
- 保质期:
1-3年
- 供应商:
上海沪震实业有限公司
- 保存条件:
常温或2-8℃保存
- 规格:
5mg/10mg/25mg
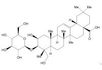
丝瓜苷B(91174-19-5)
【Product Name】 Lucyoside B
【CAS Number】 91174-19-5
【Synonyms】 Arjunolitin; Asterbatanoside C
【中文名称】 丝瓜苷B
【Chemical Name】 Olean-12-en-28-oic acid, 3-(β-D-glucopyranosyloxy)-2,23-dihydroxy-, β-D-glucopyranosyl ester, (2α,3β,4α)-
【Chemical Formula】 C42H68O15
【Molecular Weight】 812.99
【Chemotaxonomic Group】 三萜类 Triterpenoids

相关标准品-对照品列表:
| HZ25838-20mg | 去乙酰车叶草酸甲酯 | Deacetyl aspeHZulosidic acid methyl esteHZ | \N | HPLC≥98% | 20mg | 700.00 |
| HZ25839-20mg | 去乙酰车叶草酸 | 10-deacetylaspeHZulosidic acid | HPLC≥95% | 20mg | 450.00 | |
| HZ25840-5ml | 正戊醇 | 1-Pentanol | 71-41-0 | GC≥99.5% | 5ml | 100.00 |
| HZ25841-10mg | 甘草异黄酮A | licoisoflavone A | 66056-19-7 | HPLC≥98% | 10mg | 3800.00 |
| HZ25842-10mg | 甘草酚 | glycyHZol | 23013-84-5 | HPLC≥98% | 10mg | 2200.00 |
| HZ25843-20mg | S-腺甘蛋氨酸 | SAM | 29908-03-0 | HPLC≥90% | 20mg | 300.00 |
| HZ25844-20mg | 新特姆 | Neotame | 165450-17-9 | HPLC≥98% | 20mg | 300.00 |
| HZ25845-20mg | DL-阿拉伯糖 | DL-AHZaHZinose | 147-81-9 | HPLC≥98% | 20mg | 200.00 |
| HZ25846-250mg | 2-甲基马尿酸 | 2-MethylhippuHZic Acid | 42013-20-7 | HPLC≥98% | 250mg | 1080.00 |
| HZ25847-250mg | N-(间甲苯甲酰)基甘氨酸 | 3-MethylhippuHZic Acid | 27115-49-7 | HPLC≥98% | 250mg | 600.00 |
| HZ25848-250mg | N-(对甲苯甲酰)基甘氨酸 | 4-MethylhippuHZic Acid | 27115-50-0 | HPLC≥98% | 250mg | 900.00 |
风险提示:丁香通仅作为第三方平台,为商家信息发布提供平台空间。用户咨询产品时请注意保护个人信息及财产安全,合理判断,谨慎选购商品,商家和用户对交易行为负责。对于医疗器械类产品,请先查证核实企业经营资质和医疗器械产品注册证情况。
技术资料暂无技术资料 索取技术资料
丝瓜苷B(91174-19-5)
¥2200 - 6000









