相关产品推荐更多 >
万千商家帮你免费找货
0 人在求购买到急需产品
- 详细信息
- 文献和实验
- 技术资料
- 库存:
大量
- 英文名:
Bernardioside A
- 保质期:
1-3年
- 供应商:
上海沪震实业有限公司
- 保存条件:
常温或2-8℃保存
- 规格:
5mg/10mg
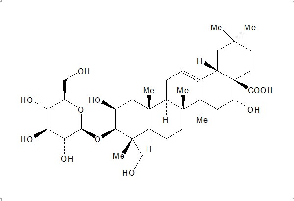
【Product Name】 Bernardioside A
【CAS Number】 121368-52-3
【Synonyms】 3-O-β-D-Glucopyranosyl polygalacic acid; Polygalacic acid 3-O-β-D-glucopyranoside
【中文名称】 远志酸-3-O-β-D-吡喃葡萄糖苷
【Chemical Name】 Olean-12-en-28-oic acid, 3-(β-D-glucopyranosyloxy)-2,16,23-trihydroxy-,(2β,3β,4α,16α)-
【Chemical Formula】 C36H58O11
【Molecular Weight】 666.85
【Chemotaxonomic Group】 三萜类 Triterpenoids

相关标准品-对照品列表:
| HZ24066-20mg | 绞股蓝皂苷XLVI | GypenosideXLVI | 94705-70-1 | HPLC≥97% | 20mg | 1000.00 |
| HZ24067-20mg | 金盏花苷E;去葡萄糖竹节参皂苷 | CalendulosideE | HPLC≥98% | 20mg | 1500.00 | |
| HZ24068-10mg | 通关藤苷X | TenacissosideX | HPLC≥98% | 10mg | 1600.00 | |
| HZ24069-20mg | 卡瓦黄素内酯HZ | HPLC≥97% | 20mg | 1000.00 | ||
| HZ24070-5mg | 连翘酯苷I | FoHZsythosideI | HPLC≥98% | 5mg | 1200.00 | |
| HZ24071-5mg | 连翘酯苷H | FoHZsythosideH | HPLC≥98% | 5mg | 1200.00 | |
| HZ24072-5mg | 连翘酯苷F | FoHZsythosideF | HPLC≥98% | 5mg | 1200.00 | |
| HZ24073-5mg | 5-甲基基-苦参醇C | 5-methoxyl-kushenolC | HPLC≥98% | 5mg | 1200.00 | |
| HZ24074-5mg | 苦参醇X | KushenolX | 254886-77-6 | HPLC≥98% | 5mg | 6000.00 |
| HZ24075-5mg | 苦参醇W | KushenolW | 254886-76-5 | HPLC≥98% | 5mg | 1200.00 |
风险提示:丁香通仅作为第三方平台,为商家信息发布提供平台空间。用户咨询产品时请注意保护个人信息及财产安全,合理判断,谨慎选购商品,商家和用户对交易行为负责。对于医疗器械类产品,请先查证核实企业经营资质和医疗器械产品注册证情况。
文献和实验溴水氧化能力较弱,它把醛糖的醛基氧化为羧基。当醛糖中加入溴水,稍加热后,溴水的棕色即可褪去,而酮糖则不被氧化,因此可用溴水来区别醛糖和酮糖。 3.成苷作用 单糖环状半缩醛结构中的半缩醛羟基与另一分子醇或羟基作用时,脱去一分子水而生成缩醛。糖的这种缩醛称为糖苷。例如α-和β-D-吡喃葡萄糖的混合物,在氯化氢催化下同甲醇反应,脱去一分子水,生成α-和β-D-甲基吡喃葡萄糖苷的混合物。 α-和β-D-吡喃葡萄混合液 β-D-甲基吡喃葡萄糖苷
哈佛学者研发新型寨卡病毒疫苗,显著降低垂直传播风险,解决有效性欠佳问题
研究《Adenovirus Vector-Based Vaccines Confer Maternal-Fetal Protection against Zika Virus Challenge in Pregnant IFN-α/β-/- Mice》。早在 2017 年,该团队研究表明慢病毒载体 RhAd52 和 Ad26 疫苗对恒河猴具有保护效果。本文继续深入挖掘,发现 RhAd52 和 Ad26 ZIKV 疫苗对 IFN-α/β-/- 孕鼠及胎儿具有良好的保护效果,两者有潜力成为安全的候选疫苗,为最终研制抗
膜蛋白的分离、鉴定及其功能分析—GFC/IEC/SDS-PAGE 和 MALDI-TOF-MS 方法
的方法可能不能直接应用在其他材料上,但这些方法可以为读者在进行其他材料的实验过程中提供优化指导。 2. 材料 ( 1 ) 分离缓冲液:5 mmol/L BTP-MES ( pH 7. 5 );0.2 mol/L 碘化钾, 1 mmol/L Na2EDTA,0.3 mol/L 甘露醇, 20% ( m/m) 甘油,5 mmol/L 二硫苏糖醇(DTT ) ,0.5% (V/V) 蛋白酶抑制剂混合物(Sigma 公司)和 15 mmol/L n-辛基-β-D-吡喃葡萄糖苷
技术资料暂无技术资料 索取技术资料










