相关产品推荐更多 >
万千商家帮你免费找货
0 人在求购买到急需产品
- 详细信息
- 文献和实验
- 技术资料
- 库存:
大量
- 英文名:
Hederacoside C
- 保质期:
1-3年
- 供应商:
上海沪震实业有限公司
- 保存条件:
常温或2-8℃保存
- 规格:
5mg/25mg/100mg
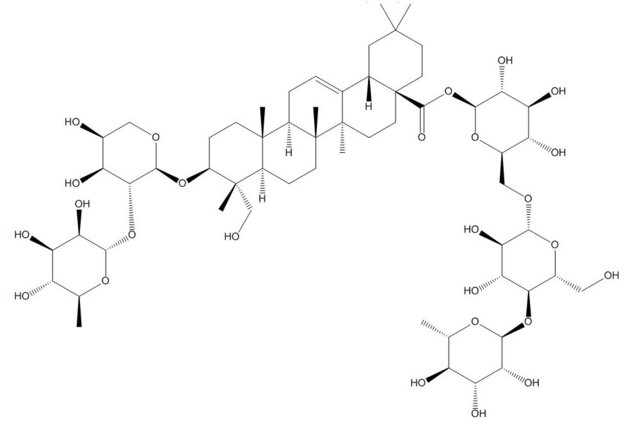
【Product Name】 Hederacoside C
【CAS Number】 14216-03-6
【Del.CASNumber】 27013-76-9,94021-48-4, 52038-14-9, 52229-78-4, 56292-18-3, 103470-80-0, 104748-89-2, 1002105-94-3
【中文名称】 常春藤苷C
【Chemical Name】 Olean-12-en-28-oic acid, 3-[[2-O-(6-deoxy-α-L-mannopyranosyl)-α-L-arabinopyranosyl]oxy]-23-hydroxy-, O-6-deoxy-α-L-mannopyranosyl-(1→4)-O-β-D-glucopyranosyl-(1→6)-β-D-glucopyranosyl ester, (3β,4α)-
【Chemical Formula】 C59H96O26
【Molecular Weight】 1221.39
【Chemotaxonomic Group】 三萜类 Triterpenoids

相关标准品-对照品列表:
| HZ15052-500g | 司盘80 | Span 80 | 1338-43-8 | CP | 500g | 40.00 |
| HZ15053-500g | 司盘85 | Span 85 | 26266-58-0 | CP | 500g | 70.00 |
| HZ15054-100g | 2,5-双(5-叔丁基-2-苯并恶唑基)噻吩 | HZHZOT | 7128-64-5 | HZHZ,99% | 100g | 600.00 |
| HZ15054-25g | 2,5-双(5-叔丁基-2-苯并恶唑基)噻吩 | HZHZOT | 7128-64-5 | HZHZ,99% | 25g | 200.00 |
| HZ15054-5g | 2,5-双(5-叔丁基-2-苯并恶唑基)噻吩 | HZHZOT | 7128-64-5 | HZHZ,99% | 5g | 80.00 |
| HZ15055-100g | 卡特缩合剂 | HZOP HZeagent | 56602-33-6 | HZHZ,98% | 100g | 340.00 |
| HZ15055-25g | 卡特缩合剂 | HZOP HZeagent | 56602-33-6 | HZHZ,98% | 25g | 100.00 |
| HZ15055-500g | 卡特缩合剂 | HZOP HZeagent | 56602-33-6 | HZHZ,98% | 500g | 1500.00 |
| HZ15056-100g | 十六烷基二甲基苄基氯化铵 | HDHZAC | 122-18-9 | 超纯,99% | 100g | 240.00 |
| HZ15056-25g | 十六烷基二甲基苄基氯化铵 | HDHZAC | 122-18-9 | 超纯,99% | 25g | 120.00 |
| HZ15056-500g | 十六烷基二甲基苄基氯化铵 | HDHZAC | 122-18-9 | 超纯,99% | 500g | 800.00 |
风险提示:丁香通仅作为第三方平台,为商家信息发布提供平台空间。用户咨询产品时请注意保护个人信息及财产安全,合理判断,谨慎选购商品,商家和用户对交易行为负责。对于医疗器械类产品,请先查证核实企业经营资质和医疗器械产品注册证情况。
文献和实验C 271 9.10×103 T 260 7.40
G 253 1.37×104 C 271 9.10×103 T 260 7.40×103
=1.52pmol=3.03pmol末端 1μg pBR322 DNA=0.36pmol 1pmol 1000bp DNA=0.66μg 1pmol pBR322=2.8μg 1kb双链DNA(钠盐)=6.6×105道尔顿 1kb单链DNA(钠盐)=3.3×105道尔顿 1kb单链RNA(钠盐)=3.4×105道尔顿 (4)蛋白摩尔换算: 100pmol分子量100,000蛋白质=10μg 100pmol分子量50
技术资料暂无技术资料 索取技术资料










