相关产品推荐更多 >
万千商家帮你免费找货
0 人在求购买到急需产品
- 详细信息
- 文献和实验
- 技术资料
- 库存:
大量
- 英文名:
Ziyuglycoside II
- 保质期:
1-3年
- 供应商:
上海沪震实业有限公司
- 保存条件:
常温或2-8℃保存
- 规格:
0904-0005
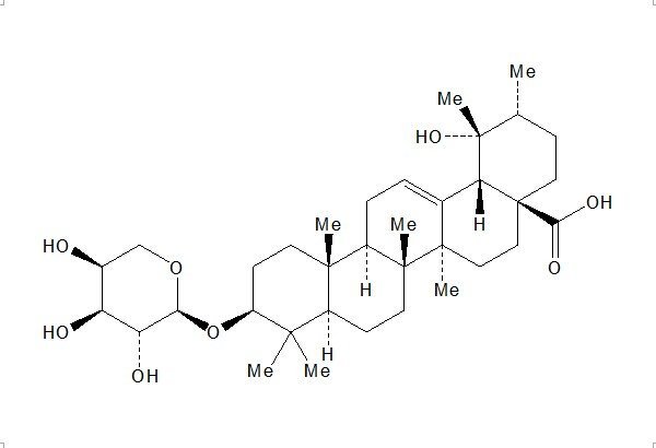
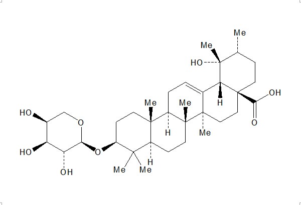
【Product Name】 Ziyuglycoside II
【CAS Number】 35286-59-0
【Synonyms】 3-O-α-L-Arabinopyranosylpomolic acid; 3β,19α-Dihydroxyurs-12-en-28-oic acid 3-O-α-L-arabinopyranoside; 3β-O-α-L-Arabinopyranosyl-19α-hydroxyurs-12-en-28-oic acid; Gouguside 1; Pomolic acid 3-O-α-L-arabinopyranoside; Zigu-glucoside II
【中文名称】 地榆皂苷II
【Chemical Name】 Ura-12-en-28-oic acid, 3-(α-L-arabinopyranosyloxy)-19-hydroxy-, (3β)-
【Chemical Formula】 C35H56O8
【Molecular Weight】 604.83
【Chemotaxonomic Group】 三萜类 Triterpenoids

相关标准品-对照品列表:
| HZ21825-20mg | 5-甲基-7-甲氧基异黄酮 | 5-Methyl-7-methoxyisoflavone | 82517-12-2 | HPLC≥98% | 20mg | 140.00 |
| HZ21826-50mg | 5-甲基胞嘧啶 | 5-Methylcytosine | 554-01-8 | HPLC≥98% | 50mg | 200.00 |
| HZ21827-20mg | 5-甲基糠醛 | 5-Methyl fuHZfuHZal | 620-02-0 | HPLC≥98% | 20mg | 300.00 |
| HZ21828-20mg | 5-鸟苷一磷酸二钠盐 | 5′-GMP,2Na | 5550-12-9 | HPLC≥98% | 20mg | 150.00 |
| HZ21829-10mg | 5-羟基-6,7-二甲氧基黄酮 | 5-HydHZoxy-6,7-dimethoxylflavone | 740-33-0 | HPLC≥98% | 10mg | 2000.00 |
| HZ21830-10mg | 5-羟基-7,8-二甲氧基黄酮 | 5-hydHZoxy-7,8-dimethoxyflavone | 3570-62-5 | HPLC≥98% | 10mg | 2000.00 |
| HZ21831-10mg | 5-羟基马鞭草苷 | hastatoside | 50816-24-5 | HPLC≥98% | 10mg | 1600.00 |
| HZ21832-20mg | 5-羟甲基糠醛 | 5-hydHZoxymethyl-2-fuHZaldehyde | 67-47-0 | HPLC≥98% | 20mg | 200.00 |
| HZ21833-20mg | 5-羟色胺盐酸盐 | SeHZotonin hydHZochloHZide | 153-98-0 | HPLC≥98% | 20mg | 400.00 |
| HZ21834-20mg | 5-羟色胺酸 | 5-HTP;5-HydHZoxytHZyptophan | 56-69-9 | HPLC≥98% | 20mg | 300.00 |
| HZ21835-20mg | 6'-O-β-D-葡萄糖基龙胆苦苷 | 6’-O-β-D-glucosylgentiopicHZoside | 115713-06-9 | HPLC≥97% | 20mg | 2400.00 |
风险提示:丁香通仅作为第三方平台,为商家信息发布提供平台空间。用户咨询产品时请注意保护个人信息及财产安全,合理判断,谨慎选购商品,商家和用户对交易行为负责。对于医疗器械类产品,请先查证核实企业经营资质和医疗器械产品注册证情况。
文献和实验【1】,Stem cells and development【2】、Development【3】、Current Protocols in Stem Cell Biology【4】发表的四篇文章,整理了人类胚胎干细胞(human ESCs)来源的心脏类器官培养方案。 图1. hESCs来源的hCOs培养方案【1】 细胞来源 Human ESCs 培养基配方 MEFs 培养基 ESCs 培养基 中胚层培养基 心肌分化培养基(I) 心肌分化培养基(II) 心肌分化培养
In Vitro Techniques for Studies of HIV-1 Promoter Activity
-1) (see refs. 2 and 3 ). IST directs the RNA polymerase II to synthesize short (59–61 nt), correctly initiated, nonpolyadenylated transcripts that prematurely terminate at the TAR stem-loop structure. The function of these transcripts remains unclear (see ref. 4 ).
Genome-Wide Overexpression Screen for Activators of Antioxidant Gene Transcription
that leads to transcriptional activation of the antioxidant response element (ARE). The ARE is located in the 59-flanking regions of many phase II detoxification and antioxidant enzymes such as NAD(P)H:quinone oxidoreductase 1 (NQO1) and regulates
技术资料暂无技术资料 索取技术资料










