相关产品推荐更多 >
万千商家帮你免费找货
0 人在求购买到急需产品
- 详细信息
- 技术资料
- 库存:
大量
- 英文名:
Hosenkoside M
- 保质期:
1-3年
- 供应商:
上海沪震实业有限公司
- 保存条件:
常温或2-8℃保存
- 规格:
5mg/10mg/25mg
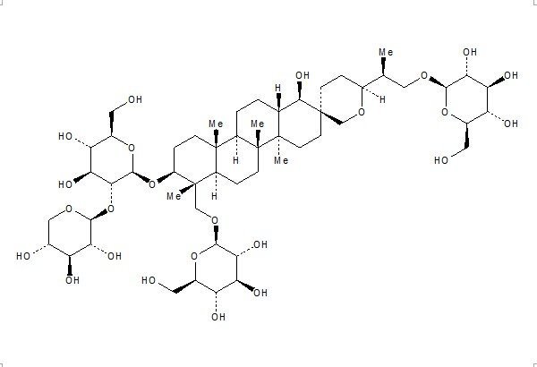
凤仙萜四醇苷M(161016-51-9)
【Product Name】 Hosenkoside M
【CAS Number】 161016-51-9
【Synonyms】 (+)-Hosenkoside M
【中文名称】 凤仙萜四醇苷M
【Chemical Name】 β-D-Glucopyranoside, (1R,2S,4aR,4bR,6'S,6aR,7R,8S,10aR,10bR,12aS)-7-[(β-D-glucopyranosyloxy)methyl]-6'-[(1S)-2-(β-D-glucopyranosyloxy)-1-methylethyl]octadecahydro-1-hydroxy-4a,4b,7,10a-tetrame
【Chemical Formula】 C53H90O24
【Molecular Weight】 1111.28
【Chemotaxonomic Group】 三萜类 Triterpenoids

相关标准品-对照品列表:
| HZ21262-20mg | 土槿皮乙酸-O-β-D-葡萄糖苷 | PseudolaHZic acid HZ-O-HZeta-D-glucopyHZanoside | 98891-41-9 | HPLC≥98% | 20mg | 0.00 |
| HZ21263-20mg | 土荆皮丙酸 | PseudolaHZic Acid C | 82601-41-0 | HPLC≥98% | 20mg | 0.00 |
| HZ21264-10mg | 土荆皮甲酸 | PseudolaHZic Acid A | 82508-32-5 | HPLC≥98% | 10mg | 1200.00 |
| HZ21265-20mg | 土荆皮乙酸 | PseudolaHZic Acid HZ | 82508-31-4 | HPLC≥98% | 20mg | 500.00 |
| HZ21266-20mg | 土克甾酮 | TuHZkesteHZone | 41451-87-0 | HPLC≥98% | 20mg | 1600.00 |
| HZ21267-20mg | 土木香内酯 | Alantolactone | 546-43-0 | HPLC≥98% | 20mg | 260.00 |
| HZ21268-20mg | 蜕皮激素 | EcdysteHZone | 5289-74-7 | HPLC≥98% | 20mg | 350.00 |
| HZ21269-20mg | 褪黑素 | Melatonin | 73-31-4 | HPLC≥98% | 20mg | 100.00 |
| HZ21270-20mg | 脱甲氧基脱乙酰土荆皮乙酸 | Demethoxydeacetoxy-pseudolaHZic acid HZ | 500736-17-4 | HPLC≥98% | 20mg | 3200.00 |
风险提示:丁香通仅作为第三方平台,为商家信息发布提供平台空间。用户咨询产品时请注意保护个人信息及财产安全,合理判断,谨慎选购商品,商家和用户对交易行为负责。对于医疗器械类产品,请先查证核实企业经营资质和医疗器械产品注册证情况。
技术资料暂无技术资料 索取技术资料
凤仙萜四醇苷M(161016-51-9)
¥1400 - 3600










