相关产品推荐更多 >
万千商家帮你免费找货
0 人在求购买到急需产品
- 详细信息
- 技术资料
- 库存:
大量
- 英文名:
Polygalasaponin V
- 保质期:
1-3年
- 供应商:
上海沪震实业有限公司
- 保存条件:
常温或2-8℃保存
- 规格:
5mg/20mg
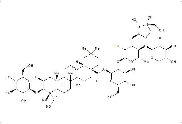
瓜子金皂苷V(162857-65-0)
【Product Name】 Polygalasaponin V
【CAS Number】 162857-65-0
【中文名称】 瓜子金皂苷V
【Chemical Name】 Olean-12-en-28-oic acid, 3-(β-D-glucopyranosyloxy)-2,23-dihydroxy-, O-D-apio-β-D-furanosyl-(1→3)-O-[β-D-xylopyranosyl-(1→4)]-O-6-deoxy-α-Lmannopyranosyl-(1→2)-β-D-glucopyranosyl ester, (2β,3β,4α)-
【Chemical Formula】 C58H94O27
【Molecular Weight】 1223.36
【Chemotaxonomic Group】 三萜类 Triterpenoids

相关标准品-对照品列表:
| HZ20533-20mg | 虎杖苷 | Polydatin | 27208-80-6 | HPLC≥98% | 20mg | 100.00 |
| HZ20534-20mg | 琥珀酸 | Succinic acid | 110-15-6 | HPLC≥98% | 20mg | 100.00 |
| HZ20535-10mg | 花柏醛 | chamigHZenal | 19912-84-6 | HPLC≥98% | 10mg | 0.00 |
| HZ20536-10mg | 花柏烯酸 | β-chamigHZenic acid | \N | HPLC≥98% | 10mg | 0.00 |
| HZ20537-200mg | 花椒毒酚 | Xanthotol | 2009-24-7 | HPLC≥98% | 200mg | 2280.00 |
| HZ20537-20mg | 花椒毒酚 | Xanthotol | 2009-24-7 | HPLC≥98% | 20mg | 380.00 |
| HZ20538-20mg | 花椒毒素 | 8-MethoxypsoHZalen | 298-81-7 | HPLC≥98% | 20mg | 300.00 |
| HZ20539-20mg | 花旗松素 | Taxifolin | 480-18-2 | HPLC≥98% | 20mg | 180.00 |
| HZ20540-20mg | 花生四烯酸 | AHZachidonic acid | 506-32-1 | GC≥99% | 20mg | 480.00 |
风险提示:丁香通仅作为第三方平台,为商家信息发布提供平台空间。用户咨询产品时请注意保护个人信息及财产安全,合理判断,谨慎选购商品,商家和用户对交易行为负责。对于医疗器械类产品,请先查证核实企业经营资质和医疗器械产品注册证情况。
技术资料暂无技术资料 索取技术资料
瓜子金皂苷V(162857-65-0)
¥350 - 800






![[(1(10)E,2R,4R)]-2-Methoxy-8,12-epoxygemacra-1(10),7,11-trien-6-one(75412-95-2)](https://img1.dxycdn.com/2018/0608/931/3282256843506230658-14.jpg!wh200)


