相关产品推荐更多 >
万千商家帮你免费找货
0 人在求购买到急需产品
- 详细信息
- 技术资料
- 库存:
22
- CAS号:
56-95-1
- 保质期:
详见说明书
- 供应商:
上海抚生
- 保存条件:
低温干燥通风保存
- 规格:
公斤
醋酸洗必泰56-95-1大货
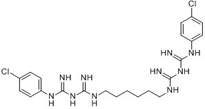
中文名: 醋酸洗必泰56-95-1大货
醋酸洗必泰;
1,1'-己基双[5-(对氯苯基)双胍]醋酸盐
英文名: Chlorhexidine acetate
别名: Chlorhexidine di(acetate);
1,6-Bis(N5-[p-chlorophenyl]-N1-biguanido)hexane;
1,1'-Hexamethylenebis(5-[p-chlorophenyl]biguanide)
分子结构:

分子式: C22H30Cl2N10.2(C2H4O2);C26H38Cl2N10O4
分子量: 625.55
CAS登录号:
56-95-1
EINECS登录号: 200-302-4
物理化学性质
熔点: 153-156oC
水溶性: 1.9G/100ML(20oC)
性质描述: 白色结晶性粉末。熔点154-155℃。20℃在水中溶解度为1.9g/100ml,溶于乙醇。洗必泰醋酸盐([3697-42-5)]在260-262℃分解。
醋酸洗必泰56-95-1大货订购说明:
库存:我们的库存里的产品数量会时有变动,若供货不足,则需要调货,中间会有点时间延续,还望客户理解,因此,若需要订购的,请提前来电联系我司销售部。
运输方式:不同的产品有不同的运输方式,本产品为大货型包装,可根据客户需求采取不同的方式托运。
价格:网页上展示的价格仅供参考,具体价格还请以咨询为准。
想要了解更多详细信息的,欢迎来电详询。
醋酸洗必泰56-95-1大货我国生产的化学试剂,按其纯度一般分为四级:
优级纯(GR),纯度高,杂质极少;
分析纯 (AR),为二级品,纯度略低于优级纯,杂质含量略高于优级纯;
化学纯(CP),为三级品,纯度较分析纯差;
实验试剂(LR),为四级品,纯度比化学纯差,但比工业品纯度高。
此外,还有光谱纯试剂等。
大鼠组织相容性抗原(HLA-1)试剂盒,ELISA分析检测试剂盒 Rat HLA-1 ELISA Kit 规格: 96T/48T 原装、分装
大鼠骨成型蛋白质7(BMP-7)试剂盒,ELISA分析检测试剂盒 Rat Bone morphogenetic protein 7 ELISA Kit 规格: 96T/48T 原装、分装
大鼠透明质酸(HA)试剂盒,ELISA分析检测试剂盒 Rat HA ELISA KIT 规格: 96T/48T 原装、分装
大鼠透明质酸(HA)试剂盒,ELISA分析检测试剂盒 Rat HA ELISA KIT 规格: 96T/48T 原装、分装
大鼠肌红蛋白(MYO)试剂盒,ELISA分析检测试剂盒 Rat Myoglobin ELISA Kit 规格: 96T/48T 原装、分装
大鼠血栓素(TXB2)试剂盒,ELISA分析检测试剂盒ELISA试剂盒 Rat Thromboxane B2 ELISA Kit 规格: 96T/48T 原装、分装
大鼠乙酰胆碱(Ach)试剂盒,ELISA分析检测试剂盒ELISA试剂盒 Rat acetylcholine ELISA Kit 规格: 96T/48T 原装、分装
特价促销Isoquercitrin 异槲皮苷 20mg C20H18NO4 336.36
特价促销Isorhamnetin 异鼠李素 20mg C21H18ClNO4 383.82
特价促销Isorhamnetin-3-O-galactoside 异鼠李素-3-O-半乳糖苷 20mg C15H26O 222.37
特价促销Isorhamnetin-3-O-nehesperidine 异鼠李素-3-O-新橙皮苷 10mg C12H9NO2 199.21
醋酸洗必泰56-95-1大货特价促销Isorhamnetin-3-O-β-D-Glucoside 异鼠李素--3-O-β-D-葡萄糖苷 20mg C21H18NO4+ 348.37192
特价促销Isorhychophylline 异钩藤碱 20mg C20H21NO4 339.39
特价促销Isoschaftoside 异夏佛塔苷 20mg C15H20O2 232.32
中文名: 醋酸洗必泰56-95-1大货
醋酸洗必泰;
1,1'-己基双[5-(对氯苯基)双胍]醋酸盐
英文名: Chlorhexidine acetate
别名: Chlorhexidine di(acetate);
1,6-Bis(N5-[p-chlorophenyl]-N1-biguanido)hexane;
1,1'-Hexamethylenebis(5-[p-chlorophenyl]biguanide)
分子结构:

分子式: C22H30Cl2N10.2(C2H4O2);C26H38Cl2N10O4
分子量: 625.55
CAS登录号:
56-95-1
EINECS登录号: 200-302-4
物理化学性质
熔点: 153-156oC
水溶性: 1.9G/100ML(20oC)
性质描述: 白色结晶性粉末。熔点154-155℃。20℃在水中溶解度为1.9g/100ml,溶于乙醇。洗必泰醋酸盐([3697-42-5)]在260-262℃分解。
醋酸洗必泰56-95-1大货订购说明:
库存:我们的库存里的产品数量会时有变动,若供货不足,则需要调货,中间会有点时间延续,还望客户理解,因此,若需要订购的,请提前来电联系我司销售部。
运输方式:不同的产品有不同的运输方式,本产品为大货型包装,可根据客户需求采取不同的方式托运。
价格:网页上展示的价格仅供参考,具体价格还请以咨询为准。
想要了解更多详细信息的,欢迎来电详询。
醋酸洗必泰56-95-1大货我国生产的化学试剂,按其纯度一般分为四级:
优级纯(GR),纯度高,杂质极少;
分析纯 (AR),为二级品,纯度略低于优级纯,杂质含量略高于优级纯;
化学纯(CP),为三级品,纯度较分析纯差;
实验试剂(LR),为四级品,纯度比化学纯差,但比工业品纯度高。
此外,还有光谱纯试剂等。
大鼠组织相容性抗原(HLA-1)试剂盒,ELISA分析检测试剂盒 Rat HLA-1 ELISA Kit 规格: 96T/48T 原装、分装
大鼠骨成型蛋白质7(BMP-7)试剂盒,ELISA分析检测试剂盒 Rat Bone morphogenetic protein 7 ELISA Kit 规格: 96T/48T 原装、分装
大鼠透明质酸(HA)试剂盒,ELISA分析检测试剂盒 Rat HA ELISA KIT 规格: 96T/48T 原装、分装
大鼠透明质酸(HA)试剂盒,ELISA分析检测试剂盒 Rat HA ELISA KIT 规格: 96T/48T 原装、分装
大鼠肌红蛋白(MYO)试剂盒,ELISA分析检测试剂盒 Rat Myoglobin ELISA Kit 规格: 96T/48T 原装、分装
大鼠血栓素(TXB2)试剂盒,ELISA分析检测试剂盒ELISA试剂盒 Rat Thromboxane B2 ELISA Kit 规格: 96T/48T 原装、分装
大鼠乙酰胆碱(Ach)试剂盒,ELISA分析检测试剂盒ELISA试剂盒 Rat acetylcholine ELISA Kit 规格: 96T/48T 原装、分装
特价促销Isoquercitrin 异槲皮苷 20mg C20H18NO4 336.36
特价促销Isorhamnetin 异鼠李素 20mg C21H18ClNO4 383.82
特价促销Isorhamnetin-3-O-galactoside 异鼠李素-3-O-半乳糖苷 20mg C15H26O 222.37
特价促销Isorhamnetin-3-O-nehesperidine 异鼠李素-3-O-新橙皮苷 10mg C12H9NO2 199.21
醋酸洗必泰56-95-1大货特价促销Isorhamnetin-3-O-β-D-Glucoside 异鼠李素--3-O-β-D-葡萄糖苷 20mg C21H18NO4+ 348.37192
特价促销Isorhychophylline 异钩藤碱 20mg C20H21NO4 339.39
特价促销Isoschaftoside 异夏佛塔苷 20mg C15H20O2 232.32
风险提示:丁香通仅作为第三方平台,为商家信息发布提供平台空间。用户咨询产品时请注意保护个人信息及财产安全,合理判断,谨慎选购商品,商家和用户对交易行为负责。对于医疗器械类产品,请先查证核实企业经营资质和医疗器械产品注册证情况。
技术资料暂无技术资料 索取技术资料
醋酸洗必泰56-95-1 大货
询价










