相关产品推荐更多 >
万千商家帮你免费找货
0 人在求购买到急需产品
- 详细信息
- 文献和实验
- 技术资料
- 库存:
215
- 英文名:
PCR Enhancer
- 保质期:
长期
- 供应商:
北京百奥莱博科技有限公司
- 保存条件:
-20℃
特别声明:本产品及我公司所售其他产品均为科研类试剂产品,严禁用于药物、医疗及其他非科研用途。
北京百奥莱博供应的SY0040型PCR增强剂厂商用于科研目的生化试验项目,本产品质量好,且极具价格优势,深为用户称道,了解更多PCR增强剂等核酸扩增(PCR)产品请联*(代"系")我司咨询订购。
名称:SY0040型PCR增强剂厂商
规格:1ml
编号:SY0040
品牌:百奥莱博
产地:国产|进口
PCR Enhancer是一种由多种成分组成的混合添加剂,在PCR反应中,PCR Enhancer能够有效降低高GC模板和具有复杂二级结构模板的解链温度,极大地减少DNA二级结构对PCR的影响,增加PCR反应的灵敏度和特异性,且兼容几乎所有DNA聚合酶的扩增体系。当优化PCR程序无法有效扩增目的片段时,加入PCR Enhancer往往能得到意想不到的结果。本产品可能会降低PCR的保真度。因此,在进行高保真PCR时慎用。
质量控制
核酸外切酶残留检测:10 μl本品和0.6 μg λ-Hind Ⅲ在74 ºC下反应1小时,DNA的电泳谱带不发生变化。
核酸内切酶残留检测:10 μl本品和0.6 μg Supercoiled pBR322 DNA在74 ºC下反应1小时,DNA的电泳谱带不发生变化。
使用方法:本产品为1×浓度,推荐终浓度为1×。如50 μl反应体系中,加入PCR Enhancer 10 μl。
储存条件:-20℃。
欲了解更多SY0040型PCR增强剂厂商的品牌、产地、价格及说明书等产品信息,请致电北京百奥莱博科技有限公司,我们将竭诚为您服务,另外,以下产品正在火爆促销:
胰蛋白酶溶液(含酚红) 0.05%|0.25% 100ml
PY02-080 明胶琼脂培养基 250克
草乙酸 DL-α-Glycerol phosphate magnesium salt hydrate 328-42-7
ARB13179 小鼠透明质酸(HA)尿液中含量检测 Mouse hyaluronic acid,ha ELISA KIT
(不需DNA酶消化)"
二**(代"胺")试剂(1%) 100ml
PP1201 RIPA裂解液
4-甲基伞形酮酰-β-D-吡喃葡糖酸苷 Ceftazidime 18997-57-4
BL1320 4×dNTPs(100mM)
BTN120720 柱式冻存血液DNAOUT Column Frozen Blood DNAOUT
ARB10821 人抗麦胶蛋白(AGA)ELISA代测服务 Human anti-gliadin antibody,aga ELISA KIT
BTN120513 即用型蓝白T载体C型(T7-T3,无MCS) Instant Blue-White Vector T,Type C
F050301 兔IgG抗体 Rabbit IgG
ARB11122 人肺炎支原体抗体(MP-Ab)血清中含量检测 Human mycoplasma pneumoniae antibody,mp-ab ELISA KIT
SY0040型PCR增强剂厂商关键词:SY0040,PCR Enhancer,PCR增强剂
·pCMV/myc/mito 线粒体定位表达载体(哺乳动物细胞)
编号:SY0023
规格:1μg
重组蛋白功能研究时,常需要将其在细胞内定位到具体的细胞器,例如细胞核( nucleus)内、细胞质( cytoplasm)内、线粒体(mitochondria)或内质网(endoplasmic reticulum)上等。而细胞内某种蛋白的存在部位取决于蛋白序列中的“定位序列”(targeting sequences)或“信号肽”,这些序列可能位于蛋白质的N端、C端或蛋白质内部。一旦蛋白质被转运到最终细胞部位,这些序列可能会被保留,也可能被切除。研究者可以根据自己的研究目的,将感兴趣的ORF片段构建到表达载体中进行研究。
pCMV/myc/mito线粒体定位表达载体是以pcDNA3.0为基本骨架改造的质粒,可进行哺乳动物细胞瞬转和稳转。具有多克隆位点,可将任何重组蛋白导向至线粒体内。
产品性质:
质粒类型:哺乳动物细胞表达
大小:4967
启动子类型:CMV
蛋白标签:C端Myc标签
抗性:Amp
储存条件:-20℃,有效期半年。
注意事项:
1)为了您的安全和健康,请穿实验服并戴一次性手套操作。
2)本载体在重组蛋白C端加有Myc标签,可用于检测重组蛋白表达。如果不要带有Myc标签,可在重组蛋白基因中加入终止密码子。
SY0040型PCR增强剂厂商关键词:SY0040,PCR Enhancer,PCR增强剂
·AEBSF
编号:SY0312
英文名称:AEBSF
规格:50mg
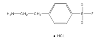
EBSF,英文名4-(2-Aminoethyl)benzenesulfonyl fluoride hydrochloride,中文名4-2-胺乙基*磺酰*盐*(代"酸")盐,是一种水溶性,不可逆的丝*酸蛋白酶抑制剂,广谱抑制胰蛋白酶、糜蛋白酶、纤溶酶、激肽释放酶和凝血酶活性。高产品蛋白纯化过程中往往需要蛋白酶抑制剂来预防蛋白降解,并提高蛋白制剂的纯度。AEBSF是传统蛋白酶抑制剂PMSF和DFP的替代物,因其毒性低,水溶性强,但水溶液稳定性更好。另外,AEBSF的抑制常数类似于 PMSF和DFP,且LD50(依小鼠的口服剂量)高于PMSF和DFP。近期报道发现AEBSF可以延长急性弓形虫感染小鼠的寿命,且在SNU-16人胃腺癌细胞中抑制TNF-α诱导的所有凋亡特征。
AEBSF已用于细胞培养及下游纯化,使用浓度可达 0.25 mM,推荐使用浓度为0.1-1 mM。
中文别名:4-(2-*乙基)*磺酰*盐*(代"酸")盐;;4-(2-*基乙基)**磺酰盐*(代"酸")盐
英文别名:AEBSF HCL; PEFABLOC SC;4-(2-Aminoethyl)benz;
分子式:C8H10FNO2S.HCl
分子量:239.7
CAS:30827-99-7
纯度:≥98%
外观:白色或灰白色结晶
熔点:180~182℃
溶解性:溶于水(50mg/ml),DMSO(50mg/ml)
结构式:

注意事项
1)AEBSF可诱导蛋白修饰,例如,可能影响蛋白的等电点。
2)AEBSF水溶液呈微弱酸性,4℃保持可维持其抑制活性高达6个月。而pH高于7.0水溶液稳定很弱。
3)为了您的安全和健康,请穿实验服并戴一次性手套操作。
储存条件:-20℃,有效期三年。
北京百莱博科技有限公司专业生产供应销*(代"售")生物试剂、化学试剂、抗原抗体、血清血浆、Elisa试剂盒,更多试剂产品需求,欢迎来电咨询选购SY0040型PCR增强剂厂商。
风险提示:丁香通仅作为第三方平台,为商家信息发布提供平台空间。用户咨询产品时请注意保护个人信息及财产安全,合理判断,谨慎选购商品,商家和用户对交易行为负责。对于医疗器械类产品,请先查证核实企业经营资质和医疗器械产品注册证情况。
文献和实验芥菜型油菜种皮转录组De Novo拼接及类黄酮生物合成基因的鉴定
芥菜型油菜作为一种广泛种植的作物,能产生不同颜色的种子。种子的着色是由于内皮细胞原花色素(proanthocyanidins,PA)的沉积,该终产物是通过一条类黄酮化合物合成的途径形成。为了进一步了解芥菜型油菜种子着色的基因信号网络,研究者采用Illumina/Solexa测序平台检测近交系黄籽种皮(SY)以及近等位基因系棕籽种皮(NILA)的转录组基因,对检测结果进行De Novo拼接,超过1.16亿个高质量的reads被组装成69,605个独立基因,其中以E value值为10-5为截点
次数、浸泡时间、冲洗压力、冲洗时间对洗涤效果的影响在以上研究中,有指导意义的是关于两个物理过程的分析,与残留量相关的直接稀释要求尽可能少的残留量,与反应相关的间接稀释,要求有一定的浸泡时间。另外,多次洗涤对效果有改进;底部冲洗由于距离近,冲力大,可改善洗涤效果。二、洗板机的发展状况洗板仪器的发展,可以大致分为三个阶段,简易型、自动型、集成环境式洗板机。1、简易型也可称为手动式洗板器,一般由负压泵与清洗头可完成最基本的吸液,也有可完成加液动作的装置。这类装置,由于成本极低,使用方便,工作量不大时可以使
末梢分泌能使肌肉收缩的乙酰胆碱,从而达到麻痹肌肉的效果。人们食入和吸收这种毒素后,神经系统将遭到破坏,将会出现头晕、呼吸困难和肌肉乏力等症状。新西兰乳制品巨头恒天然集团8月3日宣布,旗下部分婴儿奶粉和运动饮料等产品可能 “受到污染”,含有肉毒杆菌。多家食品厂商产品受到影响。RephiLe 技术人员根据《GB/T4789.12-2003食品中卫生微生物学检验肉毒杆菌及内毒素检验》和《SN/T 2525-2010 食品中肉毒梭菌的PCR 检测》总结出了对食品中肉毒杆菌进行初步检验的方法。 一、实验
技术资料暂无技术资料 索取技术资料









