相关产品推荐更多 >
万千商家帮你免费找货
0 人在求购买到急需产品
- 详细信息
- 文献和实验
- 技术资料
- 库存:
335
- 英文名:
Biotin-AP
- 保质期:
一年
- 供应商:
北京百奥莱博科技有限公司
- 保存条件:
低温运输,-20℃
特别声明:本产品及我公司所售其他产品均为科研类试剂产品,严禁用于药物、医疗及其他非科研用途。
北京现货生物素化的碱性磷酸酶特价促销由老牌试剂供应北京百奥莱博供货并提供技术支持,本产品用于科研实验,本产品质量好,且极具价格优势,深为用户称道,了解更多生物素化的碱性磷酸酶等蛋白质研究产品请联*(代"系")我司咨询订购。
名称:北京现货生物素化的碱性磷酸酶特价促销
规格:1mg
产地:国产|进口
编号:BTN131096
品牌:百奥莱博
英文名:Biotin-AP
本产品为生物素标记的碱性磷酸酶,其灵敏性高,推荐用于利用亲和素、链亲和素或中性亲和素蛋白的三明治技术。
储存条件:低温运输,-20℃保存,有效期一年。
活性单位定义:一个单位定义为在25℃每分钟在特定缓冲体系中将1.0μmol的对硝基酚磷酸盐水解需要的蛋白量。反应缓冲液为:0.1M 甘*酸,1.0mM ZnCl2,1.0mM MgCl2,6mM PNPP,pH10.4。
北京现货生物素化的碱性磷酸酶特价促销正在火爆热销,除此之外,为您推荐下别热销产品:
·Afu尿嘧啶-DNA糖基化酶
编号:BTN130648
英文名称:Afu Uracil-DNA Glycosylase
规格:200U
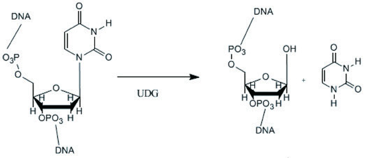
Afu尿嘧啶-DNA糖基化酶(Afu UDG)是E.coli尿嘧啶-DNA糖基化酶(UDG)热稳定的同源蛋白,来源于闪烁古生球菌。该酶从含尿嘧啶的DNA上催化释放尿嘧啶,能有效地水解双链和单链DNA上的尿嘧啶。其反应示意图如下:

产品特点:
1.热稳定;
2.从双链或单链DNA上切下尿嘧啶。
储存条件:低温运输,-20℃保存,有效期一年。
活性定义:1单位指每分钟从含尿嘧啶双链DNA上催化释放60pmol尿嘧啶所需要的酶量。
北京现货生物素化的碱性磷酸酶特价促销关键词:Biotin-AP,生物素化的碱性磷酸酶,BTN131096
·石蜡包埋组织蛋白提取试剂盒
编号:BTN130888
英文名称:FFPE Total Protein Extraction Kit
规格:50次
石蜡包埋组织是很重要的临床材料,研究其正常细胞和疾病相关的细胞,特别是癌细胞中标记蛋白的差异表达水平,对于判断癌化的进展,癌症的类型的判定,以方便于诊断和治疗有重要的意义,然而体外培养的细胞的蛋白差异表达水平并不能够真实反映体内细胞的真实状况,因此从石蜡包埋组织中提取蛋白并且加以研究有很重要的意义,本试剂盒通过特殊的快速脱蜡试剂和蛋白质抽提试剂,在两种不同的温度条件下温育,可以将被铰链的蛋白质释放出来,经过简单的离心步骤,上清中含有的蛋白经过沉淀洗涤和溶解后,可以用于Western Blot 、SDS-PAGE、ELISA、2D电泳或蛋白质芯片分析等,本试剂盒可以使用50次左右。
产品特点:
1. 不含有去污试剂,适用于非染色的标本。
2.可以适用于甲醛浸泡的组织标本。
3. 不需要超速离心,可以同时处理多个标本。
试剂盒组成:
| 成份 | 规格 |
| 预处理试剂A | 100mL |
| 预处理试剂B | 5mL |
| 提取试剂 | 5mL |
| 沉淀试剂 | 75mL |
| DTT干粉 | 80mg |
| 使用手册 | 1份 |
储存条件:常温下运输和保存,但DTT和提取试剂需要4℃保存,盛装预处理试剂A的瓶子已经密封,请在使用后,将剩余的预处理试剂A倒入一个有内盖的瓶中,同时盖紧内外盖,以防止挥发。盛装预处理试剂A,B和沉淀试剂的瓶盖要盖紧,同时避免火源。
使用方法:
1. 取两块大约10-15μm厚,100mm2石蜡包埋组织切片到1.5mL的干净离心管中,加入1mL预处理试剂A,高速涡悬震荡30 sec,室温静置5 min,期间偶尔颠倒离心管数次。
2. 加入100μL预处理试剂B,涡悬震荡10sec,再10000rpm(10000g)离心2min,移去上下两层的液体。
3. 用500μL的超纯水清洗脱蜡的组织两次,离心并尽量吸去液体,保留组织块沉淀。
4. 加入100μL提取试剂(用前需要将DTT全部加入到装提取试剂的瓶中,摇晃混匀,未用完的提取试剂需要4℃放置),盖上盖子,涡悬震荡数秒。
5.在水浴锅中100℃加热20 min,短暂离心一下,再用组织研磨棒将切片组织磨碎。
6.在水浴锅中60℃加热2 hour,期间大约每20 min取出,震荡一次。
7. 4℃,12000rpm(12830 g)离心15 min,小心将上清转移到一个新的1.5mL的干净离心管中。注意:在上清中的蛋白质可以在4℃的环境条件下保存一个星期,如果需要长期保存,请放置在-20℃的环境中,同时避免 反复冻溶,也可以使用我公司生产的非干扰型蛋白浓度测定试剂盒对上清中的蛋白质直接定量。
8. 加入1mL的沉淀试剂,涡悬震荡10 sec,在4℃的环境中保持10 min。
9. 4℃,12000rpm离心15 min,去除上清,保留沉淀。
10. 加入0.5mL的沉淀试剂,涡悬震荡10 sec,在4℃的环境中保持10 min,再4℃,12000rpm离心15 min,去除上清,保留沉淀,在通风橱中将试管倒置在滤纸上,让残余的液体挥发干净。
11. 将固体沉淀溶解于合适的自备的缓冲液中,再4℃,12000rpm离心5 min,收集上清,用于SDS-PAGE,Western blot等实验。注意:此上清中含有DNA,RNA 残留,所以溶液有些发粘,加入少量的micrococcal nuclease,benzonase等消化,有助于减少粘性,但是即使不处理一般不会影响后续实验,用枪头将沉淀捣碎。建议使用含有Thiourea ,Urea,NDSB-201或其它强溶解能力的去污试剂的缓冲液有利于沉淀的完全溶解。
注意事项:
1. 为提高石蜡包埋组织中蛋白质的回收效率,必须尽量减少在切片制作过程中甲醛固定时间,同时在石蜡包埋前彻底脱水,甲醛固定的时间越长,蛋白质的提取回收效率越低。
2. 尽量取用从石蜡包埋组织块中切取的薄片,或没有封闭到载玻片上的没有经过苏木精等染色的切片。
3. 材料越新鲜或甲醛固定时间越短,蛋白质的回收效率越高。
4. 提取试剂中含有含有刺激性的化合物,操作时要戴好乳胶手套,避免沾染皮肤、眼睛和衣服,防止吸入口鼻,沾染皮肤 眼睛后,立即用清水或生理盐水冲洗,必要时寻求医生的帮助。
5. 对于甲醛浸泡的组织样本,每次可以取5-10mg的组织样本,用双蒸水洗涤离心收集后后,直接从步骤4开始操作。
6. 提取的蛋白沉淀如果用于ELISA、RIA等免疫实验,可能需要先进行抗原修复程序,但是如果用Western Blot或Dot blot实验,一般情况下没有必要。
7. 本试剂盒只能够用于体外实验,不能够用于临床、治疗和动物体内实验等,由此产生的后果概不承担责任。
北京现货生物素化的碱性磷酸酶特价促销关键词:Biotin-AP,生物素化的碱性磷酸酶,BTN131096
9001-42-7 α-葡萄糖苷酶 α-Glucosidase
BTN90318 柱式DNA清除剂 Column DNA Erasol
BTN131120 盐*(代"酸")胍溶液 Guanidine?HCl Solution
PY01-161 磷酸*二*(无水) 500克
BL1115 Hoechst 33342染色液(即用型)
ARB12418 大鼠细胞间粘附分子3(ICAM-3/CD50)Elisa方法检测 Rat intercellular adhesion molecule 3,icam-3 ELISA KIT
3-硝基*(代"*")磺酸* Alcohol dehydrogenase 127-68-4
59-67-6 Nicotinic acid 烟酸
MES buffer(0.1mol/L,pH6.5) 100ml
3-羟基*甲醛 2,6-Dichlorophenolindophenolsodiu*(代"m") salt 100-83-4
ARB11916 人鳞状癌(SCC)酶免分析
ARB13476 鸡转化生长因子β1(TGF-β1)ELISA检测服务 Chicken transforming growth factor β1,tgf-β1 ELISA KIT
ARB10931 人吡*(代"啶")酚(PYD)Elisa定量检测 Human pyridinoline,pyd ELISA KIT
我公司正在火爆促销蛋白质研究系列产品,欢迎您的垂询选购北京现货生物素化的碱性磷酸酶特价促销。
风险提示:丁香通仅作为第三方平台,为商家信息发布提供平台空间。用户咨询产品时请注意保护个人信息及财产安全,合理判断,谨慎选购商品,商家和用户对交易行为负责。对于医疗器械类产品,请先查证核实企业经营资质和医疗器械产品注册证情况。
文献和实验北京天来生物医学科技有限公司 极限低价,全面促销!!! 价格一步到位, 何必再谈折扣! 无与伦比的低价, 绝不亚于同类产品的质量! 效果不理想,无条件退货! 一. DNA分子量标准每支(50次)---------仅售 58元!!! 二. PCR反应混合液(PCR MasterMix)----500ul 68元 三. 质粒小提每次1.58元 胶回收每次1.78元 四. 中范围蛋白质分子量标准(14.3-97.2KD)(50次)------每支78元 预染的宽范围蛋白
。博士德部分现货ELISA产品超低价促销! 供应以上产品均为现货。特价产品如下: h.Activin A 1000元/96T h.MIP-1a 1500元/96T m.IL-4 1000元/96T h.BDNF 1000元/96Th.MIP-3a 1500元/96T m.IL-5 1000元/96T h.BMP-2 1500元/96Th.MCP-1 1000元/96T m.IL-6 1000元/96T h.CD54 1500元/96Th.MMP
的DNP抗体,由于检测中用抗体替代链霉亲合抗体检测,这些探针在原位杂交中的背景比生物素标记的探针要低。光敏DNP的缺点是由于应用抗体检测,检测时间较长。 2 直接标记法 将特定酶或蛋白质直接标记在DNA分子上,然后以酶促显色反应或特异性蛋白质染色何等检测系统,现多用碱性磷酸酶和辣根过氧化物酶。 还有以将蛋白质,如组蛋白直接标记到DNA分子上做探针,以印度墨水(India Ink)染色来检查杂交带。 3 生物素标记法 将生物素(Biotin)连接在核酸探针上,利用亲和素对生物素有极高亲和
技术资料暂无技术资料 索取技术资料










