相关产品推荐更多 >
万千商家帮你免费找货
0 人在求购买到急需产品
- 详细信息
- 文献和实验
- 技术资料
- 库存:
901
- 供应商:
北京百奥莱博科技有限公司
- 英文名:
Poly-L-lysine, Mw 150,000-300,000
特别声明:本产品及我公司所售其他产品均为科研类试剂产品,严禁用于药物、医疗及其他非科研用途。
北京百奥莱博专注于生命科学和生物技术领域,致力于为客户提供包括北京现货多聚L-赖*酸(分子量15万~30万)厂家在内的一系列分子生物学试剂产品,并提供一系列相关的技术服务。
名称:北京现货多聚L-赖*酸(分子量15万~30万)厂家
英文名:Poly-L-lysine, Mw 150,000-300,000
编号:SY0461
规格:25mg
产地:国产|进口
品牌:百奥莱博
本品为多聚-L-赖*酸(Poly-L-lysine),分子量为150,000-300,000,适用于细胞培养。另外,以**酸(HBr)的形式提供,约1个赖*酸残基结合1分子的**酸,使其以稳定的结晶固体形式提供,并具有更强的水溶性。用作细胞培养基质,推荐使用量为:对于25cm2的培养板需要0.1mg/ml的聚赖*酸溶液约0.5ml-1.0ml。
多聚赖*酸(poly-lysine)是一种带正电荷的*基酸聚合物,能够结合于DNA,红细胞膜或任何带负电荷蛋白,是一种非特异性的细胞粘附因子,促进细胞吸附到固相基质上。作用机理在于其可增强细胞膜表面的负电荷离子和固相基质表面(如细胞培养皿,载玻片等)的静电相互作用。当吸附到培养表面后,多聚赖*酸提高用于细胞结合的阳离子结合位点数。多聚赖*酸分子量的大小与粘度相关,即分子量较低,粘度较低;分子量较高,粘度较高,提供的粘附位点也较多。分子量>30,000的聚赖*酸适用于促进细胞粘附到固体基质。
多聚赖*酸(poly-lysine)有两种常见亚型,D-和L-型。由于多聚赖*酸是细胞结合的非特异性粘附因子,因此两种亚型都可用作包被固体基质,在细胞培养中都可促进细胞的贴壁生长。
中文别名:多聚赖*酸溶液(L型)
英文别名:Poly-L-lysine Solution; PLL; Poly-L-lysine hydrobromide Solution
CAS:25988-63-0
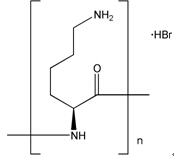
分子式:L-Lys-(L-Lys)n-L-Lys·xHBr
分子量:150,000-300,000
外观:白色至类白色粉末
溶解性:溶于水(50mg/ml)
储存条件:-20℃干燥,有效期4年
结构式

注意事项
1)注意在细胞培养相关应用中,某些细胞会消化多聚 L-赖*酸并吸收,摄入过多的多聚 L-赖*酸会产生一定的细胞毒性。因此,遇到这种情况需选用多聚 D-赖*酸(Poly-D-lysine),如多聚D-赖*酸(5 mg/ml),分子量:150,000-300,000,细胞培养级,货号:SY0464。
2)将若想去除本品中的HBr,可将本品溶于中性缓冲液,可透析除去盐离子。
3)为了您的安全和健康,请穿实验服并戴一次性手套操作。
北京现货多聚L-赖*酸(分子量15万~30万)厂家正在火爆热销,除此之外,为您推荐下别热销产品:
ARB13755 骆驼内皮素1(ET-1)elisa检测 Camel endothelin 1,et-1 ELISA KIT
ARB11421 人载脂蛋白A5(Apo-A5)酶免分析 Human apoprotein a5,apo-a5 ELISA KIT
SJ0539 Sephadex LH-60 (葡聚糖凝胶LH-60)
PY01-143 脱氧胆酸 25克
盐*(代"酸")三甲胺 L-Aspartic acid dimethyl ester hydrochloride 593-81-7
ARB11978 大鼠D-乳酸定量分析 Rat d-lactate dehydrogenase,d-ldh ELISA KIT
L0101 小鼠单克隆抗体Ig类/亚类鉴定血清中含量检测
ARB13185 小鼠胰岛素样生长因子1(IGF-1)代做ELISA实验 Mouse insulin-like growth factor 1,igf-1 ELISA KIT
天青Ⅱ曙红 Guanidine carbonate 53092-85-6
紫外法蛋白定量试剂盒 250T|500T
ARB11108 人乳头瘤病毒(HPV)Elisa分析 Human papillomavirus,hpv ELISA KIT
DP330 石蜡包埋组织基因组快速提取试剂盒
C0701 绵羊血清(无菌过滤)
PY02-196 碱性琼脂 250克
BTN70202 柱式酵母质粒DNAOUT Yeast Plasmid DNAOUT
BL0964 正常人血清
F040321 猫IgG抗原 The cat IgG
碘化丙啶PI染色液(RNA染色) 50ug/ml 10ml
BL0978 豚鼠外周血淋巴细胞分离液
BTN100604 鲑鱼精DNA溶液 Salmon Sperm DNA Solution
北京现货多聚L-赖*酸(分子量15万~30万)厂家关键词:多聚L-赖*酸,分子量15万~30万,25988-63-0,多聚赖*酸溶液(L型)
乙酸盐缓冲液(0.05mol/L,pH5.0) 500ml
CYB164032 兔抗鸡IgG(1:500~1000)-HRP
F030426 胶体金标记兔抗大鼠IgG抗体 Rabbit Anti-Rat IgG*GOLD
ARB10929 人吡哆醛/吡哆醇维生素B6磷酸酶(PDXP)代做ELISA实验 Human pyridoxal/pyridoxine vitamin b6-phosphatase,pdxp ELISA KIT
1390-65-4 洋红 Carmine
PY02-415 WORT琼脂 250克
F020101 兔抗人血清白蛋白抗体 Rabbit Anti-HSA
F040319 豚鼠IgG抗原 Guinea Pig IgG
酮康唑 Mucicarmine 65277-42-1
淀粉样物质染色液(甲紫法) 2×50ml
68157-60-8 Forchior fennron *吡*脲
ARB12674 大鼠雌激素(E2)elisa检测 Rat estradiol,e2 ELISA KIT
9003-98-9 脱氧核糖核酸酶 DNAseⅠ
ARB11908 人癌胚抗原(CEA/CD66)elisa检测操作说明书 Human carcinoembryonic antign,cea ELISA KIT
SJ0435 N,N-二环己基碳二亚胺
PBST(pH7.5) 1×|10× 500ml
FMOC-D-甲硫*酸 5′-CDP,Na 112883-40-6
ARB12597 大鼠基质金属蛋白酶抑制因子3(TIMP-3)酶免分析 Rat tissue inhibitors of metalloproteinase 3,timp-3 ELISA KIT
北京现货多聚L-赖*酸(分子量15万~30万)厂家关键词:多聚L-赖*酸,分子量15万~30万,25988-63-0,多聚赖*酸溶液(L型)
·罗丹明标记兔抗山羊IgG(H+L)
编号:SY0712
英文名称:Rhodamine(TRITC) affiniPure rabbit anti-goat IgG (H+L)
规格:100μl
本品是由Rhodamine(TRITC)标记的兔抗山羊IgG(H+L),使用抗原偶联的琼脂糖微珠从兔抗血清内亲和色谱纯化所得。免疫电泳和/或ELISA法检测显示本品特异性结合完整的山羊IgG分子,也会与其他山羊免疫球蛋白的轻链结合。可能会与其他物种免疫球蛋白发生交叉反应,但不会识别非免疫球蛋白类的血清蛋白。
Rhodamine(TRITC)的光谱性质类似于Cy3,Amax(最大激发波长)为550nm,Emax(最大发射波长)为570nm。本品适合做单标实验。要做多标(multiple-labeling)实验,建议使用经过与相近物种血清蛋白或者免疫球蛋白预先经过亲和吸附处理的二抗。
浓度:0.75 mg/ml
缓冲液:0.005M 磷酸*,0.125M *化*, pH 7.6
荧光素:TRITC, Amax=550, Emax=570
稳定剂:7.5mg/ml BSA(无IgG,蛋白酶),50% 甘油
防腐剂:0.025% 叠氮化*
推荐稀释比例:1:25~100(适合多数实验)
储存条件:-20℃,避免反复冻融,有效期一年。
北京百莱博科技有限公司专业生产供应销*(代"售")生物试剂、化学试剂、抗原抗体、血清血浆、Elisa试剂盒,更多试剂产品需求,欢迎来电咨询选购北京现货多聚L-赖*酸(分子量15万~30万)厂家。
风险提示:丁香通仅作为第三方平台,为商家信息发布提供平台空间。用户咨询产品时请注意保护个人信息及财产安全,合理判断,谨慎选购商品,商家和用户对交易行为负责。对于医疗器械类产品,请先查证核实企业经营资质和医疗器械产品注册证情况。
文献和实验多聚赖氨酸(Poly-L-Lysine)的配制、保存、使用总结
,我都是放一夜,第二天吸掉晾干就用,当然要紫外消一下.我觉得时间长点没什么大碍。 我们这里的老师说,多聚赖氨酸不能用紫外线照射。 1.用赖氨酸包被培养板和培养瓶时,应该选用多聚左旋赖氨酸(分子量为15-30万) ; 2.感觉你“浓度为50ng/1ml”有些低,我一般最后多聚赖氨酸使用浓度达到20-30ug/ml; 3.包被时间一般为6-7h,或者过夜也可; 4.使用时应该先用灭菌水洗三次+PBS(起平衡盐作用)洗一次,洗液的量应该大于包被液的量; 5.“多聚赖氨酸可以在培养瓶中放多长
,加入培养板或培养瓶能均匀覆盖底部就可,放置在无菌操作台中过夜。第二天早上用时先用双蒸水冲洗三遍再用。 十八、我的问题是多聚赖氨酸可以在培养瓶中放多长时间,太长了会有影响吗? 答:我曾用过多聚赖氨酸包被培养瓶,但浓度是0.1mg/ml,我都是放一夜,第二天吸掉晾干就用,当然要紫外消一下.我觉得时间长点没什么大碍。 我们这里的老师说,多聚赖氨酸不能用紫外线照射。 1.用赖氨酸包被培养板和培养瓶时,应该选用多聚左旋赖氨酸(分子量为15-30万
。 我们这里的老师说,多聚赖氨酸不能用紫外线照射。 1.用赖氨酸包被培养板和培养瓶时,应该选用多聚左旋赖氨酸(分子量为15-30万) ; 2.感觉你“浓度为50ng/1ml”有些低,我一般最后多聚赖氨酸使用浓度达到20-30ug/ml; 3.包被时间一般为6-7h,或者过夜也可; 4.使用时应该先用灭菌水洗三次+PBS(起平衡盐作用)洗一次,洗液的量应该大于包被液的量; 5.“多聚赖氨酸可以在培养瓶中放多长
技术资料暂无技术资料 索取技术资料









