相关产品推荐更多 >
万千商家帮你免费找货
0 人在求购买到急需产品
- 详细信息
- 文献和实验
- 技术资料
- 库存:
326
- 英文名:
Biotin-Protein L
- 保质期:
长期
- 供应商:
北京百奥莱博科技有限公司
- 保存条件:
低温运输
特别声明:本产品及我公司所售其他产品均为科研类试剂产品,严禁用于药物、医疗及其他非科研用途。
百奥莱博专业生产供应生物素化蛋白L厂家现货,我公司销*(代"售")全品类的分子生物学试剂,价格优惠,欢迎广大科研工作者垂询订购。
名称:生物素化蛋白L厂家现货
产地:国产|进口
品牌:百奥莱博
编号:BTN131101
英文名:Biotin-Protein L
本产品为生物素标记的蛋白L,可以结合含有特别kappa轻链的所有种类的IgG(IgG,IgM,IgA,IgE和IgD),与kappa轻链结合而不干扰抗原的结合。其还可以结合单链抗体可变区基因片段(ScFv)。
储存条件:低温运输,-20℃保存,有效期一年。
生物素化蛋白L厂家现货极具性价比,此外,我公司正火爆促销以下产品:
·Afu尿嘧啶-DNA糖基化酶
编号:BTN130648
英文名称:Afu Uracil-DNA Glycosylase
规格:200U
Afu尿嘧啶-DNA糖基化酶(Afu UDG)是E.coli尿嘧啶-DNA糖基化酶(UDG)热稳定的同源蛋白,来源于闪烁古生球菌。该酶从含尿嘧啶的DNA上催化释放尿嘧啶,能有效地水解双链和单链DNA上的尿嘧啶。其反应示意图如下:

产品特点:
1.热稳定;
2.从双链或单链DNA上切下尿嘧啶。
储存条件:低温运输,-20℃保存,有效期一年。
活性定义:1单位指每分钟从含尿嘧啶双链DNA上催化释放60pmol尿嘧啶所需要的酶量。
生物素化蛋白L厂家现货关键词:BTN131101,生物素化蛋白L,Biotin-Protein L
·λ核酸外切酶
编号:BTN130628
英文名称:Lambda Exonulease
规格:1000U
λ核酸外切酶作用于双链DNA,沿 5´→3´方向逐步切去 5´单核苷酸。最适底物是5´磷酸化的双链DNA,也能缓慢降解单链DNA和非磷酸化底物。该酶不能从 DNA的切刻或缺口处起始消化。
产品特点:
1.高效5´→3´核酸外切酶;
2.切下双链DNA的5´单核苷酸。
储存条件:低温运输,-20℃保存,有效期半年。
活性定义:1单位指在50μl反应体系中,37℃条件下,30分钟内能从双链DNA底物上催化产生10nmol酸溶性脱氧核糖核苷酸所需的酶量。
备注:5´-0H端的切割速度比5´-PO4端慢20倍。单链DNA比双链DNA慢100倍。
·pNPP干粉
编号:BTN131116
英文名称:p-nitrophenyl phosphate,disodiu*(代"m") salt
规格:1g
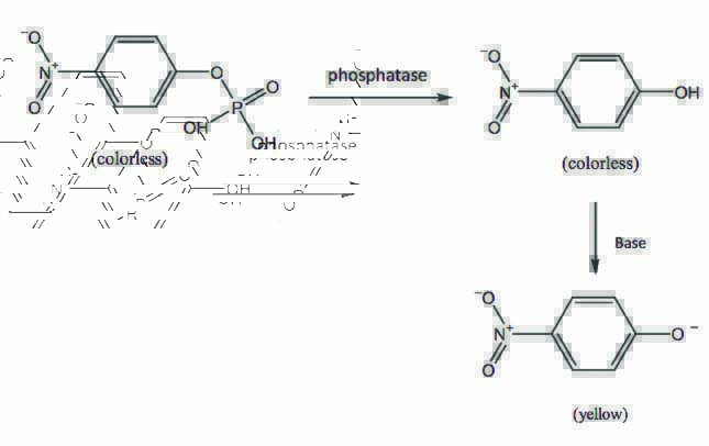
pNPP在ELISA应用中作为检测碱性磷酸酶的底物而被广泛使用。当碱性磷酸酶与PNPP反应后,形成黄色水溶性反应产物。该产物在405nm有光吸收,并可使用传统方法终止反应。其反应原理如下:

储存条件:常温运输,避光保存,有效期一年。
生物素化蛋白L厂家现货关键词:BTN131101,生物素化蛋白L,Biotin-Protein L
·乙酰化牛血清白蛋白
编号:BTN131017
英文名称:Bovine Serum Albumin, Acetylated
规格:400μL
乙酰化牛血清白蛋白可以用作酶的稳定剂或作为一种载体蛋白。本产品为浓度为它是利用经过改良的Gonzalez等的方法制备的,并通过去离子水充分透析除去杂质,无DNA酶及RNA酶活性。
储存条件:低温运输,-20℃保存,有效期一年。
·His标签蛋白专用蛋白酶抑制剂
编号:BTN130530
英文名称:Protease Inhibitor for His-tagged Protein
规格:10mL
His-Ni亲和层析是目前分离纯化重组表达蛋白质的重要方法,纯化过程中,为防止各种蛋白酶降解重组蛋白,需要加入足够、特异的蛋白酶抑制剂。本产品即为优化的His标签蛋白蛋白酶抑制剂混合液。专门用于纯化His标签蛋白时,抑制各种内源和外源蛋白酶活性,防止重组表达蛋白质降解。本品抑制谱广,能特异性抑制丝*酸蛋白酶、半胱*酸蛋白酶、天门冬*酸蛋白酶、嗜热菌蛋白酶样蛋白酶和*基肽酶等各种蛋白酶活性。本产品为DMSO溶液。与各种细菌细胞裂解液兼容,在裂解液中加入1/100体积即可。
储存条件:低温运输,-20℃保存,有效期两年。
·液相内毒素清除剂
编号:BTN60607
英文名称:Liquid endotoxin scavenger
规格:100次
去除液体生物样品(包括质粒DNA样品)中污染的内毒素(endotoxin)具有重要的临床意义,因为内毒素对原代细胞、传代细胞和整体动物均具有显著的毒性作用。由于内毒素(化学本质为脂多糖,即lipopolysaccharides)是包括E.coli在内的革兰氏阴性细菌细胞壁的主要组成成分,并且带电性跟DNA 类似,所以从E.coli细胞中提取的质粒DNA和重组蛋白质药物中常常含有大量的内毒素污染,并且很难用用常规方法(包括硅胶膜吸附,离子交换吸附、凝胶排阻过滤、*化铯超速离心)去除。本产品就是专门用于高效去除生物样品中的内毒素污染。
产品特点:
1. 简单快速,一次处理只需要20分钟左右,不需要复杂仪器设备。
2.高效,一次处理可以去除90%以上的内毒素,经过三次重复抽提可将内毒素的水平降低到0.2 EU(endotoxin unit,约0.1 ng LPS)/mL以下。
3.适用范围广,可用于DNA、RNA、蛋白质或其他生物样品。
4. 不影响DNA和绝大部分蛋白质的活性,处理过的质粒DNA可用于转染实验。
5. 既可小规模使用(在1.5mL离心管内),也可放量使用。
储存条件:常温运输,4℃保存,有效期一年。
使用方法:
如果使用前本产品有分层,冰浴后振荡混匀。
一:用于体积小于500μl的DNA/RNA样品
1.在一干净的离心管中加入500μl的样品。如果不足500μl,可以用水或TE补足。
2. 加入50μl的3 M 醋酸*(pH5.2),混匀后冰浴5分钟。
3. 加入50μl预冷的本产品,充分混匀后冰浴10分钟。
4. 65℃水浴直到溶液变浊或出现分层为止(一般需要1-5分钟)
5.室温12000~15000×g离心2分钟(不能低温离心),离心后上层为无色透明,下层为淡蓝色。
6. 将上清转移到新的离心管中。
7. 如果需要,可以重复步骤3~6。
8. 加1倍体积的异丙醇或两倍体积的乙醇,混匀,12000~15000×g离心30分钟。
9. 弃上清后用70%酒精洗2次。
10. 空气干燥沉淀后加入100μl 无内毒素的水或TE缓冲液溶解沉淀。
11. 测定DNA和内毒素的含量,与未纯化的样品比较。
二:用于体积大于500μl的DNA/RNA样品
整个操作同上,只是在15或50mL塑料离心管中进行,离心速度不能超过离心管的承受力。
三:整合到碱变性法质粒DNA 制备过程中
整个操作同上,只是:
1.样品必须是加溶液III离心后得到的上清液或最后得到的质粒溶液。
2. 如果处理的是加溶液III离心后得到的上清液,可以略去第2 步操作。
3.处理后的溶液需要用试剂盒提供的或自备的上柱液调整盐离子浓度,然后上柱,以后的操作按试剂盒提供的操作手册进行。
4. 洗脱DNA 所用水或溶液必须无内毒素污染。
四:对蛋白质和其它生物样品
整个操作同上,只是:
1. 略去第2 步操作,加3 M 醋酸*(pH5.2)只为沉淀核酸。
2. 第4 步改为37℃保温以免蛋白质变性,溶液呈混浊状或分相一般需要20-30分钟。
3. 略去第8 步和以后操作。
疑难解答:
Q:为何用常规的方法很难去除生物样品中的内毒素?
A:因为内毒素带电性跟DNA和部分蛋白质相同,所以基于带电性的分离方法(如硅胶膜吸附,离子交换吸附)不能将它们分开;同时内毒素又是双性分子(类似于细胞膜的磷脂分子),能够形成大小不等的聚合物,跟质粒DNA和蛋白质大小接近,所以基于分子量大小的分离方法(如凝胶排阻过滤和*化铯超速离心)也不能将其有效分离。
北京百莱博科技有限公司专业生产蛋白质研究产品,欢迎来电咨询选购生物素化蛋白L厂家现货。
风险提示:丁香通仅作为第三方平台,为商家信息发布提供平台空间。用户咨询产品时请注意保护个人信息及财产安全,合理判断,谨慎选购商品,商家和用户对交易行为负责。对于医疗器械类产品,请先查证核实企业经营资质和医疗器械产品注册证情况。
文献和实验清白蛋白第五组分,英文名称:BSAV,这个是生物技术级的产品,适用范围是最广的,有些厂家的BSAV脂肪酸和内毒素很低,可直接用于细胞培养,纯度高甚至可以用于任何相关实验。常用的有Roche公司的10735078001,Sigma公司的A7906,Amresco公司的0332。 作用:Elisa实验,WB实验,因BSA分子量为66KDa,纯度高的还可用作蛋白质marker。 3、 牛血清白蛋白(无必须脂肪酸),脂肪酸含量极低,脂肪酸含量≤
清白蛋白。 二、各等级BSA 说明 1、 等级最低的BSA,这个是普通意义上的BSA,只要主要成分是BSA的产品都可以成为牛血清白蛋白,所以他也涵盖了其他等级的BSA,所以客户要注意其纯度。 作用:一般是工业生产用。 2、 牛血清白蛋白第五组分,英文名称:BSAV,这个是生物技术级的产品,适用范围是最广的,有些厂家的BSAV脂肪酸和内毒素很低,可直接用于细胞培养,纯度高甚至可以用于任何相关实验。常用的有Roche公司的10735078001,Sigma公司
本文主要介绍 ELISA 试剂盒、实验样本、相关问题,帮助大家更好地开展实验 试剂盒 Q1:科研试剂盒与临床试剂盒的区别 ? A1:临床试剂是经过权威机构认可的,如 FDA、CFDA 等;而科研试剂一般是厂家自主研制,不需要通过权威机构验证。 经营临床诊断类产品的机构需要取得《医疗器械经营企业许可证》;经营科研试剂的机构不需要此证件。 临床试剂盒一般仅用于检测人血清/血浆等较为单一的分泌性样本类型;科研试剂盒的样本检测种类、检测范围则比临床试剂盒宽广得多。但一般来说,临床试剂盒的质量
技术资料暂无技术资料 索取技术资料










