相关产品推荐更多 >
万千商家帮你免费找货
0 人在求购买到急需产品
- 详细信息
- 文献和实验
- 技术资料
- 库存:
897
- 英文名:
Afu Uracil-DNA Glycosylase
- 保质期:
长期
- 供应商:
北京百奥莱博科技有限公司
- 保存条件:
低温运输
特别声明:本产品及我公司所售其他产品均为科研类试剂产品,严禁用于药物、医疗及其他非科研用途。
百奥莱博专业生产销*(代"售")Afu尿嘧啶-DNA糖基化酶怎么卖,我公司供应的分子生物学试剂品类齐全,且具有优势价格,欢迎新老客户垂询订购。
名称:Afu尿嘧啶-DNA糖基化酶怎么卖
编号:BTN130648
品牌:百奥莱博
产地:国产|进口
英文名:Afu Uracil-DNA Glycosylase
规格:200U
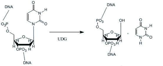
Afu尿嘧啶-DNA糖基化酶(Afu UDG)是E.coli尿嘧啶-DNA糖基化酶(UDG)热稳定的同源蛋白,来源于闪烁古生球菌。该酶从含尿嘧啶的DNA上催化释放尿嘧啶,能有效地水解双链和单链DNA上的尿嘧啶。其反应示意图如下:

产品特点:
1.热稳定;
2.从双链或单链DNA上切下尿嘧啶。
储存条件:低温运输,-20℃保存,有效期一年。
活性定义:1单位指每分钟从含尿嘧啶双链DNA上催化释放60pmol尿嘧啶所需要的酶量。
更多有关Afu尿嘧啶-DNA糖基化酶怎么卖的价格及使用说明等,请联*(代"系")我们的业务经理王欣女士咨询,我公司还销*(代"售")以下产品:
ARB12694 大鼠凝血酶抗凝血酶复合物(TAT)尿液中含量检测 Rat thrombin-antithrombin complex,tat ELISA KIT
高香草酸 DL3000 306-08-1
尿素溶液(9.5mol/L) 100ml
中性福尔马林固定液(10%,含DEPC) 500ml
288-32-4 Imidazoie 咪唑
BTN120408 绿豆核酸酶 Mung Bean Nuclease
BTN90303 硅胶膜DNA离心吸附柱(大提) Silica Spin Column For Maxiprep
PY02-371 M17肉汤 100克
*基酸螯合铁 β-Cyclodextrin
ARB14196 山羊Toll样受体3(TLR3)elisa检测说明书
BFD037 磺胺三合一检测试剂盒
β-丙*酸 3-Nitrobenzaldehyde 107-95-9
熬和树脂 xylo-oligosaccharides
2-脱氧-2-*-D-葡萄糖 Diethyl acetamidomalonate 29702-43-0
顺式-D-羟脯*酸 D-allo-Isoleucine 2584-71-6
ARB13433 鸡可溶性E选择素(sE-selectIn)酶免分析 Chicken soluble e-selectin,se-selectin ELISA KIT
PY02-035A 平板计数琼脂(SN) 250克
ARB13970 猪胰岛素样生长因子结合蛋白3(IGFBP-3)ELISA检测服务 Porcine insulin-like growth factors binding protein 3,igfbp-3 ELISA KIT
BTN101101 线状DNA清除剂 Linear DNA Erasol
Afu尿嘧啶-DNA糖基化酶怎么卖关键词:BTN130648,Afu尿嘧啶-DNA糖基化酶,Afu Uracil-DNA Glycosylase
·ATP溶液,1mM
编号:BTN131013
英文名称:ATP adenosine triphosphate Solution,1 mM
规格:1mL
本产品为浓度为1mM的ATP溶液,可以直接用作ATP发光法细胞活力检测试剂盒的底物使用。三磷酸腺苷是由腺嘌呤、核糖和3个磷酸基团连接而成,水解时释放出能量较多,是生物体内最直接的能量来源。
储存条件:低温运输,-20℃保存,有效期一年。
·长片段Taq DNA聚合酶
编号:BTN130910
英文名称:Long-Taq DNA Polymerase
规格:500U
本产品由在普通Taq DNA聚合酶进行基因工程优化的快速DNA聚合酶基础商制成的混合酶,配以专为长片段PCR优化的反应缓冲液,特别适合对长片段的扩增。LF-Taq扩增性能优异,能在短时间内完成高效的PCR扩增.用普通Taq DNA聚合酶的进行PCR反应延伸时间一般为1kb/min,快速DNA聚合酶为1kb/10-15 sec,进行8kb产物的PCR反应可在1小时内完成。LF-Taq对简单模板的扩增可达40kb,对复杂模板的扩增也可达20kb.本制品使用国际领先生产工艺生产,经过两次过柱纯化,纯化>98%,完全去除外源蛋白和核酸污染。
产品特点:
1.为长片段扩增特别优化,使用常规PCR Buffer即可扩增8-10kb,使用超长Buffer扩增长度可达20-40kb。
2.反应速度快,聚合速度高达10-15sec/kb,可为科研人员节约多达70%的实验时间。
3.扩增效率高,同等条件下产量远高于普通Taq酶,在扩增片段时优势尤其明显。
4.比活性高,分子量小于普通Taq酶。在相同酶量下有更高的酶活性。
5.低背景,显著减少非特异性条带和引物二聚体。
6.高稳定性,耐热性能,Long-Taq酶的T1/2=2.5-3小时(100℃),12小时(95℃),普通Taq酶的T1/2=1.6小时(95℃),特别适合对高GC含量的模板的扩增。
产品组成:
| 组分 | 规格 |
| Taq DNA聚合酶(5U/μL) | 0.1mL |
| 10×PCR Buffer | 1mL |
| 使用手册 | 1份 |
储存条件:低温运输,-20℃保存,保存期为一年。
Afu尿嘧啶-DNA糖基化酶怎么卖关键词:BTN130648,Afu尿嘧啶-DNA糖基化酶,Afu Uracil-DNA Glycosylase
·遗传霉素(G418)干粉
编号:BTN100838
英文名称:G418 Sulfate (Geneticin) Powder
规格:100mg
G418又叫Geneticin(遗传霉素),分子式为C20H40N4O10·2H2SO4,分子量为692.71,CAS号为108321-42-2,白色结晶,溶于水。在分子遗传试验中,是稳定转染最常用的抗性筛选试剂。
结构式:
抗性机制:它通过干扰核糖体功能而阻断蛋白质合成,对原核和真核细胞都有毒性。真核细胞中表达细菌APH(*基糖苷磷酸转移酶)的基因(源自Tn5),可使G418失去作用。
储存条件:常温运输,4℃避光保存、有效期一年。
·Hoechst 33342干粉
编号:BTN130865
英文名称:Fluorescent Dye Hoechst 33342,Powder
规格:10mg
Hoechst 33342是一种可透过细胞膜并对DNA染色的细胞核染色试剂,它在嵌入双链DNA后释放强烈的蓝色荧光。Hoechst 33342常用于细胞凋亡检测,染色后用荧光显微镜观察或流式细胞仪检测。Hoechst 33342-DNA的激发和发射波长分别为350nm和460nm。
CAS号:23491-52-3
分子式:C27H28N6O·3HCl
分子量:561.93
储存条件:低温运输,-20℃干燥避光保存,有效期一年。
北京百莱博科技有限公司是工具酶产品的专业生产供应销*(代"售")商,恭候您的咨询选购Afu尿嘧啶-DNA糖基化酶怎么卖。
风险提示:丁香通仅作为第三方平台,为商家信息发布提供平台空间。用户咨询产品时请注意保护个人信息及财产安全,合理判断,谨慎选购商品,商家和用户对交易行为负责。对于医疗器械类产品,请先查证核实企业经营资质和医疗器械产品注册证情况。
文献和实验」和「扩增区」分割开 PCR 体系配置和 PCR 扩增实验。如果不具备这样的条件,首先要避免荧光定量 PCR 实验结束之后开盖,以防扩增产物形成气溶胶对后续实验造成污染。少量意外开盖不能避免时,可以使用含有 UNG 酶(uracil-N-glycoslyase, 尿嘧啶 DNA 糖基化酶)的扩增预混液。如果在 PCR 反应中以 dUTP 代替 dTTP 参入到 PCR 产物中,形成了含有 dUTP 的扩增产物,UNG 酶能选择性断裂单链和双链 DNA 中 U 碱基的糖苷键, 降解 PCR 扩增
”基因,削弱T细胞对肿瘤的反应,使T细胞衰竭。Anjana Rao教授作为美国科学院院士,在免疫研究领域功成名就,并且在表观遗传领域也取得了许多傲人的成绩。原文检索:TOX and TOX2 cooperate with NR4A transcription factors to impose CD8+T cell exhaustion⑥中山大学生科院Nature子刊发现非典型尿嘧啶DNA糖基化酶UdgX的催化过程在自然界中,绝大多数生物都是以DNA为遗传物质,其完整性对于生物体至关重要。DNA损伤
Primer-BLAST:NCBI的引物设计和特异性检验工具
数据库覆盖NCBI所有的物种。 实例分析 用人尿嘧啶DNA糖基化酶(uracil-DNA glycosylase genes, UNG, GeneID: 7374)的两个转录 本序列作为一个例子来分析。UNG1的序列长一点(NM_003362),UNG2的序列短一点(NM_080911,注:拿这两个基因的序列ClustalW一下就可以了)。这里用UNG2的序列设计引物,选择RefSeq mRNA database,物种是Human,其它默认。结果如下图A-B
技术资料暂无技术资料 索取技术资料










