相关产品推荐更多 >
万千商家帮你免费找货
0 人在求购买到急需产品
- 详细信息
- 文献和实验
- 技术资料
- 保存条件:
冷藏
- 保质期:
长期
- 英文名:
Neucoccin
- 库存:
928
- 供应商:
北京百奥莱博科技有限公司
- CAS号:
2611-82-7
特别声明:本产品及我公司所售其他产品均为科研类试剂产品,严禁用于药物、医疗及其他非科研用途。
北京百奥莱博公司供应包括北京胭脂红标准品大量库存促销在内的化学标准品,化学对照品,杂志对照品,HPLC标准品,UV标准品等高品质标准品、对照品
北京百奥莱博科技有限公司专业生产供应北京胭脂红标准品大量库存促销,产品信息:
类别:标准品对照品
英文名:Neucoccin
| 产品名 | CAS号 | 包装规格 |
| 胭脂红 | 2611-82-7 | 约20mg/支 |
产地:国产|进口
编号:BP1350
规格:约20mg/支
本品为胭脂红化学对照品,供检查项对照用。
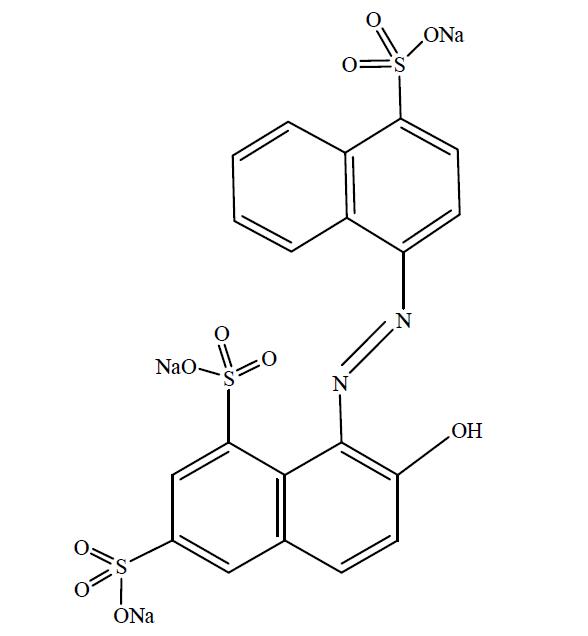
CAS号:2611-82-7
分子式:C20H11N2O10S3·3Na
分子量:604.47
结构式:

包装:棕色瓶
规格:约20mg/支
储存条件:阴凉处
北京胭脂红标准品大量库存促销专业优质供应商:北京百奥莱博科技有限公司
关键词:2611-82-7,Neucoccin,胭脂红
胭脂红怎样保存?
一般试剂可保存在玻璃瓶内; 对玻璃有强烈腐蚀作用的试剂,如**酸、*氧化*应保存在聚乙*(代"烯")塑料瓶内; 易被空气氧化、分化、潮解的试剂应密封保存;易感光分解的试剂应用有色玻璃瓶贮存并藏于暗处; 易受热分解及低沸点溶剂,应存于冷处; 剧毒试剂应存于保险箱; 有放射性的试剂应存于铅罐中。如果化学试剂保管不当,就会失效变质,影响实验的效果,并造成物质的浪费,甚至有时还会发生事故。因此,科学地保管好试剂对于保证实验顺利进行,获得 可靠的实验数据具有非常重要的意义。
北京胭脂红标准品大量库存促销极具性价比,此外,我公司正火爆促销以下产品:
| 编号 | 名称 | 英文名称 |
| BP0376 | 4-*基丁酸 | 4-Aminobutanoic Acid |
| BP1573 | 罗红霉素 | Roxithromycin |
| BP0345 | 对*基水杨酸异烟肼 | Pasiniazid(Isoniazid Aminosalicylate) |
| BP1914 | 矛头蝮蛇血凝酶标准品 | Hemocoagulase Bothrops Atrox |
| BP1829 | 甲硫*酸 | Methionone |
| BP0970 | 罗库*铵杂质II | Rocuronium Bromide Impurity II(2β-(morpholin-4-yl)-16β-(pyrrolidin-1-yl)-5α-androstane-3α,17β-diol) |
| BP1300 | 异阿魏酸 | Isoferulic acid |
| BP0706 | 雌三醇 | Estriol |
| BP0626 | 盐*(代"酸")*替芬 | Naftifine Hydrochloride |
| BP0886 | 胸苷 | Thymidine |
| BP0093 | 丙*(代"酸")倍*米松 | Beclometasone Dipropionate |
| BP0996 | 依地酸**[乙二*(代"胺")四醋酸*二*水合物] | Calcium Disodiu*(代"m") Edetate[Calcium Disodiu*(代"m") Ethylenediaminetetraacete Hydrate] |
| BP1909 | 2’,3’-二去氧-2’,3’-二去*肌苷 | 2’,3’-dideoxy-2’,3’-didehydroinosine |
| BP1257 | 马钱苷 | Loganin |
| BP2038 | 壳聚糖 | Chitosan |
| BP1823 | 胞磷胆碱* | Citicoline Sodium |
| BP0550 | 盐*(代"酸")*环壬酯 | Phecynonate Hydrochloride |
| BP1361 | 3, 5-O-二咖啡酰基奎宁酸 | 3, 5-O-Dicaffeoylquinic acid |
| BP0975 | 盐*(代"酸")米多君杂质I | Midodrine Hydrochloride Impurity I [2-amino-1-(2,5-dimethoxyphenyl)ethanol] |
| BP2063 | 水杨醛吖嗪 | Salicylaldehyde azine |
| BP1391 | 盐*(代"酸")益母草碱 | Leonurine Hydrochloride |
| BP1660 | 头孢他美酯 | Cefetamet Pivoxil |
我公司生产供应销*(代"售")的标准品对照品正全品类优惠促销,十分期待您的咨询选购北京胭脂红标准品大量库存促销。
风险提示:丁香通仅作为第三方平台,为商家信息发布提供平台空间。用户咨询产品时请注意保护个人信息及财产安全,合理判断,谨慎选购商品,商家和用户对交易行为负责。对于医疗器械类产品,请先查证核实企业经营资质和医疗器械产品注册证情况。
文献和实验食品色素又称食用染料、着色剂,是以食品着色为目的的食品添加剂。食品色素按来源可分为天然食用色素和人工合成食用色素。我国允许在食品中用的合成色素有胭脂红、柠檬黄、靛蓝、赤藓红、晚霞黄和亮蓝等色素,它们都是合成偶氮染料,对其使用国家有严格的卫生标准。丽春红2R 和3R 曾用作食品染色剂,也作为药品和化妆品染色。由于丽春红染色效果好,使食品色泽鲜亮,富有新鲜感,能激起人们的食欲,也被当做食品染料。 查阅相关文献,徐业平等利用丙酮、石油醚提取样品,紫外光谱仪测定吸光度的方法来定量
技术资料暂无技术资料 索取技术资料










