万千商家帮你免费找货
0 人在求购买到急需产品
- 详细信息
- 文献和实验
- 技术资料
- 保存条件:
冷藏
- 保质期:
长期
- 英文名:
(all E)-9-(4-methoxy-2,3,6-trimethylphenyl)-3-ethyl-7- methylnona-2,4,6,8-tetraenoic acid
- 库存:
312
- 供应商:
北京百奥莱博科技有限公司
- CAS号:
1313741-10-4
特别声明:本产品及我公司所售其他产品均为科研类试剂产品,严禁用于药物、医疗及其他非科研用途。
北京百奥莱博公司供应包括13-乙基阿维A标准品厂家现货在内的化学标准品,化学对照品,杂志对照品,HPLC标准品,UV标准品等高品质标准品、对照品
名称:13-乙基阿维A标准品厂家现货
产地:国产|进口
品牌:百奥莱博
英文名:(all E)-9-(4-methoxy-2,3,6-trimethylphenyl)-3-ethyl-7- methylnona-2,4,6,8-tetraenoic acid
规格:10mg/支
编号:BP0882
本品为13-乙基阿维A化学对照品,供检查用,使用前不需干燥处理,供HPLC法测定,按C22H28O3计,含量为100%。冷处保存,避光操作。
CAS号:1313741-10-4
分子式:C22H28O3
分子量:340.46
包装及装量:安瓿瓶,充氮熔封,每支约10毫克。
储存条件:遮光,密封,冷处保存。
注意事项:使用前不需干燥处理。
欲咨询购买13-乙基阿维A标准品厂家现货,请致电北京百奥莱博科技有限公司,为您提供最全面周到的产品服务,除此之外,我公司正在促销以下产品:
总胆红素(TBIL)检测试剂盒(改良Jendrassik-Grof微板法) 100T
ARB11028 人迟现抗原4(VLA4)elisa检测操作说明书 Human very late appearing antigen 4,vla4 ELISA KIT
L-(-)樟脑磺酸 D-Serine methyl ester hydrochloride 35963-20-3
PY04-079 头孢菌素 1.5mg/支×10支 每支添加于95ml CIN-I培养基基础中
ARB12036 大鼠γ*基丁酸(GABA)代做ELISA实验 Rat gamma-aminobutyric acid,gaba ELISA KIT
BL0287 M199/EBSS
ARB11468 人胰岛素受体底物2(IRS-2)血清中含量检测 Human insulin receptor substRate 2,irs-2 ELISA KIT
抗酸染色液(Ziehl-Neelsen热染法) 3×50ml|3×100ml
BTN80932 一步法96孔板单菌落质粒DNAOUT(离心法) One-Step 96 Microwell Plate Single Colony Plasmid DNAOUT
BL0926 RBITC标记羊抗小鼠IgG抗体
ARB10580 人吖啶橙(AO)ELISA代测服务 Human acrine orange,ao ELISA KIT
3,5-二甲基-2-吡*(代"咯")甲醛 Clotrimazole 2199-58-8
ARB13719 兔诱导型NO合酶(INOS)Elisa方法检测 Rabbit inducible nitric oxide synthase,inos ELISA KIT
ARB13361 牛抑肽酶(AP)elisa检测操作说明书
BL0285 MEM/EBSS
13-乙基阿维A标准品厂家现货关键词:1313741-10-4,(all E)-9-(4-methoxy-2,3,6-trimethylphenyl)-3-ethy,13-乙基阿维A
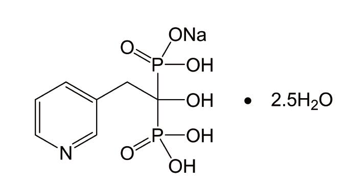
·利塞膦酸*
编号:BP0474
英文名称:Sodium Risedronate
规格:100mg
本品为利塞膦酸*化学对照品,供含量测定用,使用前不需干燥处理,供UV法测定,按C7H10NO7P2Na计,含量为87.6%。
CAS号:115436-72-1
分子式:C7H10NO7P2Na·2.5H2O
分子量:350.14
结构式:

包装及装量:棕色西林瓶,约100mg/支
储存条件:遮光,密封保存
·盐*(代"酸")金刚乙*(代"胺")
编号:BP0725
英文名称:Rimantadine Hydrochloride
规格:100mg
本品为盐*(代"酸")金刚乙*(代"胺")化学对照品,供UV法测定,按C12H21N·HCl计,含量为100.0%。
CAS号:1501-84-4
分子式:C12H21N·HCl
分子量:215.76
包装及装量:棕色小瓶装,每支约100毫克。
储存条件:遮光,阴凉处密封保存。
注意事项:使用前不需干燥处理。
·拖拉塞米杂质A
编号:BP0604
英文名称:4-(3-methyphenyl)amino-3-prridinesulfonamide
规格:50mg
本品为盐*(代"酸")金刚乙*(代"胺")化学对照品,供UV法测定,按C12H21N·HCl计,含量为100.0%。
CAS号:1501-84-4
分子式:C12H21N·HCl
分子量:215.76
包装及装量:棕色小瓶装,每支约100毫克。
储存条件:遮光,阴凉处密封保存。
注意事项:使用前不需干燥处理。
·12-氧硬脂酸甲酯
编号:BP2012
英文名称:Methyl 12-oxooctadecanoate
规格:25mg/瓶
本品为12-氧硬脂酸甲酯化学对照品,供*化蓖麻油品种检查用,使用前不需干燥处理。
CAS号:2380-27-0
分子式:C19H36O3
分子量:312.49
包装:西林瓶装。
规格:约25mg/支
储存条件:-20℃保存
13-乙基阿维A标准品厂家现货关键词:1313741-10-4,(all E)-9-(4-methoxy-2,3,6-trimethylphenyl)-3-ethy,13-乙基阿维A
我公司依托国内外技术研发人才的优势,公司的销*(代"售")额保持高速增长,企业规模不断扩大,拥有专业的技术研发团队,长期致力于ELISA试剂盒、生物试剂(包括)的研发,为客户提供引物设计与合成、免疫组化、PCR定量服务等一系列实验代测服务。
俾氏麦棕Y 2′-dC?HC1 10114-58-6
ARB11836 人凝血因子Ⅱ(FⅡ)Elisa方法检测 Human coagulation factor Ⅱ,fⅡ ELISA KIT
丙*(代"酮")酸脱羧酶 Sodium thioglycolate 9024-43-5
ARB13199 小鼠脂蛋白脂酶(LPL)代做ELISA实验 Mouse lipoprotein lipase,lpl ELISA KIT
乙酸*缓冲液(0.2mol/L,pH3.6-5.8) 500ml
ARB13058 小鼠肾上腺素能A1A受体(ADRA1A)血清中含量检测 Mouse adrenergic alpha-1a receptor,adra1a ELISA KIT
沙黄复染液 100ml
PY02-400 YSG培养基 250克
J0102 猪抗口蹄疫病毒(FMDV)血清 10000ml/25000ml
ARB10589 人血小板因子3(PF-3)ELISA代测服务 Human platelet factor 3, pf3 ELISA KIT
9001-37-0 葡萄糖氧化酶 Glucose oxidase
乙二*(代"胺")四乙酸二*铜盐 Eosin Y free acid alcohol soluble 39208-15-6
BTN51207 Pfu DNA聚合酶 Pfu DNA Polymerase
ARB13648 兔子葡萄糖依赖性胰岛素释放多肽(GIP)含量分析 Rabbit glucose dependent insulin releasing polyPeptide,gip ELISA KIT
ARB13946 猪食欲素/阿立新B(OX-B)Elisa分析 Porcine orexin b,ox-b ELISA KIT
N-苄基甘*酸乙酯 Monensin sodiu*(代"m") 6436-90-4
我公司提供多种购买方式:登陆网站联系客服查询!(您可通过电话/传真/QQ/邮件等方式咨询,订购或索取13-乙基阿维A最新报价)
我们专业供应科研试剂多年,品质保证 售前,售中,售后服务一条*(代"龙"),无效果、免费退换。您只需告诉我们您的需要或要求,我们的客户服务代表将会给您提供专业的咨询和解答。优质服务让您更省心,更舒心,更放心。敬请关注!
我公司先后与天津中医学院、北京军区总医院、复旦大学、北京大学、上海交通大学、华东师范大学、第二军医大学、南京大学、清华大学、复兴医院、南京工业大学、301医院、中科院上海分院等多家单位建立了良好的合作关系。本公司可为您提供高品质的13-乙基阿维A等科研试剂。 公司秉承“专注品质、信守承诺、积极沟通、创新服务”的企业文化积极参与生物领域的技术创新和技术服务,力求为我国科研事业更好的,更专业的服务!
北京百莱博科技有限公司是标准品对照品产品的专业生产供应销*(代"售")商,恭候您的咨询选购13-乙基阿维A标准品厂家现货。
风险提示:丁香通仅作为第三方平台,为商家信息发布提供平台空间。用户咨询产品时请注意保护个人信息及财产安全,合理判断,谨慎选购商品,商家和用户对交易行为负责。对于医疗器械类产品,请先查证核实企业经营资质和医疗器械产品注册证情况。
文献和实验清白蛋白。 二、各等级BSA 说明 1、 等级最低的BSA,这个是普通意义上的BSA,只要主要成分是BSA的产品都可以成为牛血清白蛋白,所以他也涵盖了其他等级的BSA,所以客户要注意其纯度。 作用:一般是工业生产用。 2、 牛血清白蛋白第五组分,英文名称:BSAV,这个是生物技术级的产品,适用范围是最广的,有些厂家的BSAV脂肪酸和内毒素很低,可直接用于细胞培养,纯度高甚至可以用于任何相关实验。常用的有Roche公司的10735078001,Sigma公司
清白蛋白第五组分,英文名称:BSAV,这个是生物技术级的产品,适用范围是最广的,有些厂家的BSAV脂肪酸和内毒素很低,可直接用于细胞培养,纯度高甚至可以用于任何相关实验。常用的有Roche公司的10735078001,Sigma公司的A7906,Amresco公司的0332。 作用:Elisa实验,WB实验,因BSA分子量为66KDa,纯度高的还可用作蛋白质marker。 3、 牛血清白蛋白(无必须脂肪酸),脂肪酸含量极低,脂肪酸含量≤
结果。因此,测定系统包括测定原理、试剂、仪器、校准品四要素。如果我们想要得到准确可靠的测定结果,而该结果又具有与国际、国内其他实验室的可比性,应该自己建立一个标准测定系统。在全自动生化分析仪上使用配套的试剂和标准品,即日立7170使用宝灵曼的试剂和校准品(c.f.a.s),在贝克曼CX-7生化分析仪上使用贝克曼的试剂和校准品等。各仪器厂家均有自己的标准测定系统。对于校准品不能乱用,如绝对不能用贝克曼的校准品校准日立生化仪,同样也不能用宝灵曼的校准品去校准贝克曼生化仪。三、 校准品和质控品校准
技术资料暂无技术资料 索取技术资料










