万千商家帮你免费找货
0 人在求购买到急需产品
- 详细信息
- 文献和实验
- 技术资料
- 库存:
977
- 英文名:
Methyl Laurate
- CAS号:
111-82-0
- 保质期:
长期
- 供应商:
北京百奥莱博科技有限公司
- 保存条件:
遮光、常温
特别声明:本产品及我公司所售其他产品均为科研类试剂产品,严禁用于药物、医疗及其他非科研用途。
北京百奥莱博公司供应包括月桂酸甲酯标准品厂家现货在内的化学标准品,化学对照品,杂志对照品,HPLC标准品,UV标准品等高品质标准品、对照品
名称:月桂酸甲酯标准品厂家现货
产地:国产|进口
规格:1ml/支
英文名:Methyl Laurate
编号:BP2081
本品为月桂酸甲酯化学对照品,仅供月桂山梨坦(司盘20)品种项下脂肪酸组成检查用,使用前不需干燥处理。
CAS号:111-82-0
分子式:C13H26O2
分子量:214.3
包装:棕色安瓿
规格:约1ml/支
储存条件:遮光、常温保存
除月桂酸甲酯标准品厂家现货外,我公司正在打折促销以下产品:
ARB13348 牛三碘甲状腺原*酸(T3)elisa检测说明书
酵母质粒小提试剂盒
ARB10496 人白介素9(IL-9)含量分析 Human interleukin 9,IL-9 ELISA KIT
ARB14215 鹅α干扰素(IFN-α)检测服务
HC0340 单道雷勃彩色移液器(半彩)
ARB12562 大鼠脂酰辅酶A合成酶(ACS)酶标法分析 Rat fatty acyl-coa synthetase,acs ELISA KIT
ARB12528 大鼠破骨细胞分化因子(ODF)elisa测定使用说明书 Rat osteoclast differentiation factor,odf ELISA KIT
PY02-371 M17肉汤 100克
75-12-7 去离子甲酰胺 Formamide,Deionized
5-*-4-*-3-吲哚-β-D-葡萄糖苷 5′-IDP,3Na 114162-64-0
ARB12244 大鼠血管生成素1(ANG-1)ELISA代测服务 Rat angiopoietin 1,ang-1 ELISA KIT
ARB10315 人中性粒细胞防御素1-3(HNP1-3)elisa检测说明书 Human neutrophil Peptide 1-3,hnp1-3 ELISA KIT
SJ0159 CTP Na2 5"-三磷酸胞苷二*
无酶细胞消化液 100ml
143-74-8 *酚红 Phenolsulfonphthalein
苋菜红 Testosterone 915-67-3
月桂酸甲酯标准品厂家现货关键词:Methyl Laurate,月桂酸甲酯,111-82-0
·麦芽酚
编号:BP2039
英文名称:Maltol
规格:200mg/瓶
本品为麦芽酚化学对照品,供麦芽酚品种红外鉴别和含量测定用对照品,使用前不需干燥处理,以C6H6O3计本品含量为99.6%。
CAS号:118-71-8
分子式:C6H6O3
分子量:126.11
包装:棕色安瓿
规格:约200毫克/支
储存条件:遮光、常温保存。
注意事项:建议打开包装一次性使用完。
·山嵛酸甘油酯
编号:BP2018
英文名称:Maltol
规格:500mg
本品为山嵛酸甘油酯化学对照品,供山嵛酸甘油酯品种薄层鉴别用。
包装及装量:棕色西林瓶装,每支约500毫克
储存条件:遮光,密封,于阴凉处保存。
注意事项:使用前不需干燥处理。
·磺胺二甲嘧啶
编号:BP0322
英文名称:Sulfadimidine
规格:100mg
本品为磺胺二甲嘧啶化学对照品。供含量测定用。
分子式:C12H14N4O2S
分子量:278.33
CAS号:57-68-1
包装及装量:棕色小瓶装,每支约100毫克。
储存条件:遮光,密封保存
注意事项:使用前不需干燥处理。
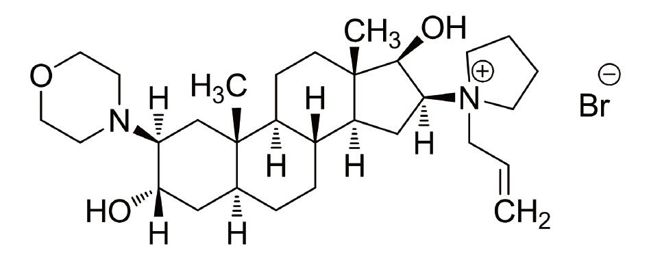
·罗库*铵杂质V
编号:BP0973
英文名称:Rocuronium Bromide Impurity V(1-[3α,17β-dihydroxy-2β-(morpholin-4-yl)-5α-androstan-16β-yl]-1-(prop-2-enyl)pyrrolidinium Bromide)
规格:约20毫克/支
本品为罗库*铵杂质V化学对照品,使用前不需干燥处理,供HPLC法系统适用性试验用。
CAS号:119302-86-2
分子式:C30H51BrN2O3
分子量:567.64
结构式:

包装:棕色西林瓶
规格:约20毫克/支
储存条件:遮光,2-8℃保存
月桂酸甲酯标准品厂家现货关键词:Methyl Laurate,月桂酸甲酯,111-82-0
月桂酸甲酯怎样保存?
一般试剂可保存在玻璃瓶内; 对玻璃有强烈腐蚀作用的试剂,如**酸、*氧化*应保存在聚乙*(代"烯")塑料瓶内; 易被空气氧化、分化、潮解的试剂应密封保存;易感光分解的试剂应用有色玻璃瓶贮存并藏于暗处; 易受热分解及低沸点溶剂,应存于冷处; 剧毒试剂应存于保险箱; 有放射性的试剂应存于铅罐中。如果化学试剂保管不当,就会失效变质,影响实验的效果,并造成物质的浪费,甚至有时还会发生事故。因此,科学地保管好试剂对于保证实验顺利进行,获得 可靠的实验数据具有非常重要的意义。
·五*利多
编号:BP1963
英文名称:Penfluridol
规格:100mg
本品为五*利多化学对照品,供高效液相色谱法鉴别和含量测定用。本品含五*利多以C28H27ClF5NO计,为100.0%。
CAS号:26864-56-2
分子式:C28H27ClF5NO
分子量:523.97
包装及装量:棕色瓶,约100mg/支
储存条件:遮光,密闭保存。
注意事项:使用前不需要干燥,可直接使用。
·他唑巴坦
编号:BP1659
英文名称:Tazobactam
规格:100mg
本品为他唑巴坦化学对照品,供高效液相含量测定用,含量以他唑巴坦(C10H12N4O5S)计。
使用方法:使用前不需要干燥处理。精密称取适量,按规定的方法,配制至所需浓度的对照品溶液,立即使用。
储存条件:置5℃以下条件低温避光保存。启开安瓿后严密保持干燥,以防吸水。
·三甲沙*(代"林")
编号:BP2186
英文名称:Trioxsalen
规格:30mg/支
本品为三甲沙*(代"林")化学对照品,供HPLC法含量测定用,以C14H12O3计,含量为99.2%,使用前不需干燥处理。
CAS号:3902-71-4
分子式:C14H12O3
分子量:228.24
包装及装量:棕色西林瓶装,每支约30毫克。
储存条件:遮光
·蒿甲醚杂质II
编号:BP0937
英文名称:Artemether Impurity II{2-[4-methyl-2-oxo-3-(3-oxobutyl)cyclohexyl]propanal}
规格:50mg
本品为蒿甲醚杂质II化学对照品,供检查用,以C14H22O3计,含量为100%,使用前不需干燥处理。
分子式:C14H22O3
分子量:238.32
包装:棕色安瓿瓶
规格:约50毫克/支
储存条件:遮光,2-8℃保存
我公司依托国内外技术研发人才的优势,公司的销*(代"售")额保持高速增长,企业规模不断扩大,拥有专业的技术研发团队,长期致力于ELISA试剂盒、生物试剂(包括)的研发,为客户提供引物设计与合成、免疫组化、PCR定量服务等一系列实验代测服务。
我公司向您保证所售月桂酸甲酯等产品均为正品,并开具正规机打增值税普通发票,请您放心订购!
我公司正在火爆促销标准品对照品系列产品,欢迎您的垂询选购月桂酸甲酯标准品厂家现货。
风险提示:丁香通仅作为第三方平台,为商家信息发布提供平台空间。用户咨询产品时请注意保护个人信息及财产安全,合理判断,谨慎选购商品,商家和用户对交易行为负责。对于医疗器械类产品,请先查证核实企业经营资质和医疗器械产品注册证情况。
文献和实验本文主要介绍 ELISA 试剂盒、实验样本、相关问题,帮助大家更好地开展实验 试剂盒 Q1:科研试剂盒与临床试剂盒的区别 ? A1:临床试剂是经过权威机构认可的,如 FDA、CFDA 等;而科研试剂一般是厂家自主研制,不需要通过权威机构验证。 经营临床诊断类产品的机构需要取得《医疗器械经营企业许可证》;经营科研试剂的机构不需要此证件。 临床试剂盒一般仅用于检测人血清/血浆等较为单一的分泌性样本类型;科研试剂盒的样本检测种类、检测范围则比临床试剂盒宽广得多。但一般来说,临床试剂盒的质量
清白蛋白。 二、各等级BSA 说明 1、 等级最低的BSA,这个是普通意义上的BSA,只要主要成分是BSA的产品都可以成为牛血清白蛋白,所以他也涵盖了其他等级的BSA,所以客户要注意其纯度。 作用:一般是工业生产用。 2、 牛血清白蛋白第五组分,英文名称:BSAV,这个是生物技术级的产品,适用范围是最广的,有些厂家的BSAV脂肪酸和内毒素很低,可直接用于细胞培养,纯度高甚至可以用于任何相关实验。常用的有Roche公司的10735078001,Sigma公司
清白蛋白第五组分,英文名称:BSAV,这个是生物技术级的产品,适用范围是最广的,有些厂家的BSAV脂肪酸和内毒素很低,可直接用于细胞培养,纯度高甚至可以用于任何相关实验。常用的有Roche公司的10735078001,Sigma公司的A7906,Amresco公司的0332。 作用:Elisa实验,WB实验,因BSA分子量为66KDa,纯度高的还可用作蛋白质marker。 3、 牛血清白蛋白(无必须脂肪酸),脂肪酸含量极低,脂肪酸含量≤
技术资料暂无技术资料 索取技术资料










