万千商家帮你免费找货
0 人在求购买到急需产品
- 详细信息
- 技术资料
- 保存条件:
冷藏
- 保质期:
长期
- 英文名:
Cefaclor
- 库存:
357
- 供应商:
北京百奥莱博科技有限公司
- CAS号:
70356-03-5
特别声明:本产品及我公司所售其他产品均为科研类试剂产品,严禁用于药物、医疗及其他非科研用途。
北京百奥莱博公司供应包括头孢克洛对照品促销在内的化学标准品,化学对照品,杂志对照品,HPLC标准品,UV标准品等高品质标准品、对照品
名称:头孢克洛对照品促销
品牌:百奥莱博
产地:国产|进口
英文名:Cefaclor
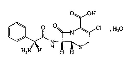
本品为头孢克洛化学对照品,供HPLC法含量测定用,以C15H14ClN3O4S计,含量为94.4%,使用前不需干燥处理。
CAS号:70356-03-5
分子式:C15H14ClN3O4S·H2O
分子量:385.82
结构式:

包装:安瓿
规格:约100mg/支
储存条件:2-8℃保存
注意事项:本品建议打开包装一次性使用完毕。注意避光
除头孢克洛对照品促销外,我公司正在打折促销以下产品:
ARB12469 大鼠胆固醇7α-羟化酶(CYP7A1)酶标法分析
BL1343 PH值标准液(PH6.86)
BL0905 FITC标记羊抗鸡IgG抗体
植物胞质蛋白提取试剂盒 50T|100T
ARB12911 小鼠白介素3(IL-3)定量分析 Mouse interleukin 3,IL-3 ELISA KIT
异抗坏血酸* Metronidazole 6381-77-7
碘乙酰胺 10mg/ml 10ml
11081-40-6 Sephadex G-15 medium(葡聚糖凝胶G-15)
BL0840 羊抗人C3纯化抗体
ARB10173 人XC趋化因子受体1(XCR1)Elisa定量检测 Human xc-chemokine receptor 1,xcr1 ELISA KIT
BFD010 猪弓形体病毒抗体检测试剂盒
9003-98-9 Deoxyribonuelease I
BTN100841 β-巯基乙醇 β-Mercaptoethanol,EG
无水葡萄糖 G-6-P-Na3 50-99-7
BTN100601 细胞核微量制备试剂盒 Nuclei Miniprep Kit
人工小肠液(无菌) 500ml
羧肽酶B(猪胰) Soy protein isolate 9025-24-5
ARB11985 大鼠HepAssocIn(HPS)代做ELISA实验
植物总糖和还原糖检测试剂盒(硝基水杨酸法) 50T|100T
头孢克洛对照品促销关键词:Cefaclor,70356-03-5,头孢克洛
羟丙基甲基纤维素 Sodium ascorbate 9004-65-3
PY04-053 印度墨汁 50ml/瓶 见使用说明书 炭疽杆菌检测用配套试剂
ARB14103 小鼠瘦素(LEP)酶免分析
BOC-D-脯*酸 EDTA-MgNa2 37784-17-1
糊精 Sodium 4-aminohippurate 9004-53-9
F020229 羊抗鸡IgY IgG抗体 Goat Anti-Chicken IgY(IgG)
ARB12157 大鼠白介素1可溶性受体Ⅱ(IL-1sRⅡ)含量测试 Rat soluble interleukin-1 receptor Ⅱ,IL-1srⅡ ELISA KIT
BL0913 FITC标记人IgG抗体
血浆蛋白提取试剂盒(2D电泳用) 50T|100T
产物纯化试剂盒(96孔板)
D-果糖-1,6-二磷酸三* EGTA 38099-82-0
ARB11210 人细胞色素b561(cytb561)ELISA检测服务 Human lipocalin 2,lcn2 ELISA KIT
4-乙基*酚 Acid red 66 123-07-9
CYB162029 羊抗人IgG、A、M(抗血清) 0.5ml
头孢克洛对照品促销关键词:Cefaclor,70356-03-5,头孢克洛
我公司是集科研和生产为一体的专业化生物工程公司。特别是ELISA研发,代测,技术服务这一产品已使百奥莱博成为中国知名公司。 公司产品涵盖ELISA研发、细胞培养,各种生化试剂、各种酶类、分子生物学试剂盒、头孢克洛、培养基等。我们进一步加强人才经营、产品经营,不断提升企业的核心竟争力,实现具有高科技产业体系、知识化创业团队的国际化的公司,服务于生命科学领域,迎接世界经济一体化所带来的机遇与挑战。
F020228 兔抗绵羊IgG抗体 Rabbit Anti-Sheep IgG
ARB12206 大鼠丝*酸/苏*酸蛋白*(代"磷")酸酶(STK)酶标法分析 reat serine/threonine protein kinase,stk ELISA KIT
ARB12648 大鼠酪*酸激酶B(TrkB)含量分析 Rat tyrosine kinase b,trk b ELISA KIT
碘化丙啶PI染色液(RNA染色) 50ug/ml 10ml
SJ0231 DMEM (低)
*三乙酸 Aspartic aminotransferase 139-13-9
ARB10393 人可溶性血纤蛋白单体复合物(SFMC)ELISA代测服务 Human soluble fibrin monomer complex,sfmc ELISA KIT
BTN100912 长效期SDS-PAGE电泳液(干粉) Stable SDS-PAGE Running Buffer
BTN80701 TG1感受态细胞 TG1 Competent Cell
BTN130873 TEV蛋白酶 TEV Protease
PY04-071 柠檬酸铁铵 0.1125g/支×10支 每支添加于225mlFraser增菌液中制成FraserⅠ培养基,用于李斯特氏菌选择性增菌培养
6-糠*基嘌呤 Gly-lleu 525-79-1
头孢克洛的纯度及用途:纯度高质含量低,适用于研究和配制标准液; 纯度较高,杂质含量较低,适用于定性和定量分析 重量略低于二级试剂,用途近似二级试剂 化学试剂按纯度由低到高可分为工业纯、实验纯(LR)、化学纯(CP)、分析纯(AR)、优级纯(GR)和超纯等多种规格。
我公司所售商品均为100%厂家供货,品质保证,价格优惠!
1.试剂包装:1g、5g、10g、25g、100g、500g等不同包装,欢迎来电咨询:头孢克洛,生化试剂
2.试剂纯度:97%-99%以上
3.库存均有现货。
4.产品订购以订货当日最新价格为准。
5.所有产品为确保质量,出库均复检。
我公司生产供应销*(代"售")的标准品对照品正全品类优惠促销,十分期待您的咨询选购头孢克洛对照品促销。
风险提示:丁香通仅作为第三方平台,为商家信息发布提供平台空间。用户咨询产品时请注意保护个人信息及财产安全,合理判断,谨慎选购商品,商家和用户对交易行为负责。对于医疗器械类产品,请先查证核实企业经营资质和医疗器械产品注册证情况。
技术资料暂无技术资料 索取技术资料









