相关产品推荐更多 >
万千商家帮你免费找货
0 人在求购买到急需产品
- 详细信息
- 文献和实验
- 技术资料
- 库存:
535
- 英文名:
L-(-)-Malic acid
- CAS号:
97-67-6
- 保质期:
长期
- 供应商:
北京百奥莱博科技有限公司
- 保存条件:
干燥,密闭,在4℃
特别声明:本产品及我公司所售其他产品均为科研类试剂产品,严禁用于药物、医疗及其他非科研用途。
北京百奥莱博公司供应包括北京现货L-苹果酸标准品批发在内的化学标准品,化学对照品,杂志对照品,HPLC标准品,UV标准品等高品质标准品、对照品
名称:北京现货L-苹果酸标准品批发
产地:国产|进口
英文名:L-(-)-Malic acid
编号:BP1991
品牌:百奥莱博
本品为L-苹果酸化学对照品,供L-苹果酸品种系统适用性试验用和红外鉴别用。
CAS号:97-67-6
分子式:C4H6O5
分子量:134.08
包装:棕色安瓿装
规格:每支约100mg
储存条件:干燥,密闭,在4℃保存。
注意事项:使用前不需干燥,本品易潮解。打开包装后一次使用完毕。
更多有关北京现货L-苹果酸标准品批发的价格及使用说明等,请联*(代"系")我们的业务经理王欣女士咨询,我公司还销*(代"售")以下产品:
·*吡格雷杂质I
编号:BP2164
英文名称:Clopidogrel Impurity I
规格:50mg/支
本品为*吡格雷杂质I化学对照品,供HPLC法测定,按C15H15Cl2NO2S计,含量为100%,使用前不需干燥处理。
CAS号:144750-42-5
分子式:C15H15Cl2NO2S
分子量:344.26
包装:棕色西林瓶
装量:约50mg/支
储存条件:遮光,密封保存。
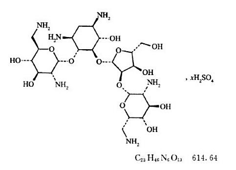
·新霉素
编号:BP1555
英文名称:Neomycin
规格:200mg/支
本品为新霉素标准品,供抗生素微生物效价测定用,含量以新霉素单位计,每毫克相当于652单位,使用前不需干燥处理。
CAS号:1405-10-3
分子式:C23H46N6O13·xH2SO4
结构式:

包装:白色安瓿
规格:约200mg/支
储存条件:2-8℃遮光保存
·叶酸
编号:BP0063
英文名称:Folic Acid
规格:100mg/支
本品为叶酸(FolicAcid)的化学对照品,按C19H19N7O6计,供HPLC法测定,含量为89.7%;供UV法测定,含量为92.3%。
分子式:C19H19N7O6
分子量:441.40
CAS号:59-30-3
包装及装量:棕色西林瓶装,每支约100毫克
储存条件:遮光,密封保存
注意事项:使用前不需干燥处理。
·特非那定
编号:BP0233
英文名称:Terfenadine
规格:100mg/支
本品为特非那定的化学对照品,供含量测定用,供HPLC法测定,按C32H41NO2计,含量为99.4%。
分子式:C32H41NO2
分子量:471.68
CAS号:50679-08-8
包装及装量:棕色西林瓶装,每支约100毫克
储存条件:遮光,密封保存
注意事项:使用前不需干燥处理。
北京现货L-苹果酸标准品批发关键词:97-67-6,L-苹果酸,L-(-)-Malic acid
我公司是一家集研发、销*(代"售")、实验室技术服务于一体的高科技企业。 多年来一直处于行业前沿。我们专业经营培养基、生化试剂、L-苹果酸、进口ELISA试剂盒、化工产品、实验室消耗品、实验室耗材以及实验室器材。产品涉及分子生物学、细胞生物学、细菌学、遗传学、免疫学、生物化学、蛋白质学、细胞治疗等领域。
·头孢吡肟E异构体
编号:BP1708
英文名称:Anti-Cefepime
规格:100mg
本品为头孢吡肟E异构体化学对照品,供HPLC法有关物质检查用,以C19H24N6O5S2计,含量为74.0%。使用前不需干燥处理。
CAS号:13183-79-4
分子式:C19H24N6O5S2
分子量:480.5
结构式:

包装:白色安瓿
规格:约100毫克/支
储存条件:2-8℃遮光保存
·阿司帕坦
编号:BP2158
英文名称:Aspartame
规格:100mg/支
本品为阿司帕坦化学对照品,供HPLC法检查用,使用前不需干燥处理。
CAS号:122839-47-0
分子式:C14H18N2O5
分子量:294.31
包装:棕色安瓿瓶装
装量:约100mg/支
储存条件:遮光,密封保存
·盐*(代"酸")关附甲素
编号:BP0511
英文名称:Aspartame
规格:50mg
本品为阿司帕坦化学对照品,供HPLC法检查用,使用前不需干燥处理。
CAS号:122839-47-0
分子式:C14H18N2O5
分子量:294.31
包装:棕色安瓿瓶装
装量:约100mg/支
储存条件:遮光,密封保存
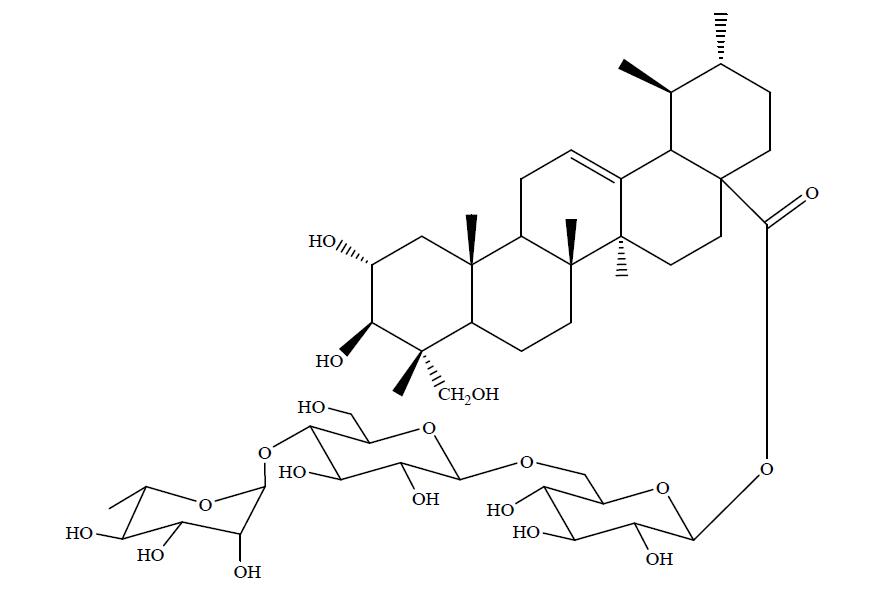
·积雪草苷
编号:BP1161
英文名称:Asiaticoside
规格:20mg/支
本品为积雪草苷化学对照品,供鉴别或含量测定用,含量以91.2%计,使用前不需干燥处理。
CAS号:16830-15-2
分子式:C48H78O19
分子量:959.12
结构式:

包装:棕色安瓿瓶
规格:约20mg/支
储存条件:冷处(2~10℃)保存
·硝酸布康唑
编号:BP0792
英文名称:Butoconazole Nitrate
规格:100mg
本品为积雪草苷化学对照品,供鉴别或含量测定用,含量以91.2%计,使用前不需干燥处理。
CAS号:16830-15-2
分子式:C48H78O19
分子量:959.12
结构式:

包装:棕色安瓿瓶
规格:约20mg/支
储存条件:冷处(2~10℃)保存
·劳拉西*(代"泮")杂质B
编号:BP1962
英文名称:2-Amino-2’5-dichlorobenzophenone
规格:100mg
本品为2-*基-2’,5-二*二*甲酮化学对照品,供HPLC法有关检查时,作对照用。含量C13H9ClNO以100%计。
分子式:C13H9ClNO
分子量:266.13
包装及装量:棕色西林瓶,每支约100mg
储存条件:室温,遮光、密闭保存。
注意事项:使用前不需要干燥,可直接使用。
北京现货L-苹果酸标准品批发关键词:97-67-6,L-苹果酸,L-(-)-Malic acid
我公司是一家生物高新技术企业,主要从事免疫学、分子生物学和常规生化试剂的研发、销*(代"售")。致力于为广大高校、科研院所和企事业单位提供一流的科研试剂和完善的技术服务,满足生物化学、分子生物学 、L-苹果酸、细胞生物学、免疫学ELISA试剂盒等生物科技实验需求。我们诚以100%的热情换您100%的满意!
Weigert弹力纤维染色液 3×50ml
BL0929 RBITC标记羊抗马IgG抗体
CYB163069 兔抗Avidin-FITC
HC0231 大龙8道手动移液器
ARB12610 大鼠羟基吲哚一氧一甲基转移酶(HIOMT)elisa测定使用说明书
PY02-243 亚利桑那菌琼脂(SA) 100克
葡萄糖脱*酶 Squalane 9028-53-9
9007-34-5 胶原蛋白Ⅰ型 Collagen TypeⅠ
ARB13211 小鼠高密度脂蛋白胆固醇(HDL-C)ELISA检测服务
SP葡聚糖凝胶C-50 L-Ornithine HCL 61374-06-9
ARB10881 人抗脊髓灰质炎病毒(PV-Ab)Elisa分析 Human anti-poliomyelitis virus antibody ELISA KIT
抗体稀释液 50ml|100ml
ARB10789 人抗中性粒细胞胞浆抗体(cANCA)酶联免疫定量检测 Human anti-neutrophil cytoplasmic antibody,canca ELISA KIT
DN3901 唾液DNA收集保存运输提取试剂盒
F050316 鸭IgY抗体 Duck IgY
XTT*盐 4-Hydroxycinnamic acid 111072-31-2
PY01-088 聚蛋白胨 250克
我公司向您保证所售L-苹果酸等产品均为正品,并开具正规机打增值税普通发票,请您放心订购!
我公司正在火爆促销标准品对照品系列产品,欢迎您的垂询选购北京现货L-苹果酸标准品批发。
风险提示:丁香通仅作为第三方平台,为商家信息发布提供平台空间。用户咨询产品时请注意保护个人信息及财产安全,合理判断,谨慎选购商品,商家和用户对交易行为负责。对于医疗器械类产品,请先查证核实企业经营资质和医疗器械产品注册证情况。
文献和实验作者:王旭, 何冰芳, 李霜, 韦萍, 欧阳平凯(南京工业大学制药与生命科学学院,江苏南京 210009) 常规Tris-甘氨酸-SDS-PAGE 电泳分析分辨大分子物质的相对分子质量范围在10~200 kDa , 对于相对分子质量小于10 kDa 的多肽分辨率低[1 ] 。Swank 等在含有SDS 的凝胶中加入8 mol·L-1的脲,但分离效果不甚理想, 且重现性较差。Lanzillo 等发
血中苯妥英钠和苯巴比妥钠药物, 为血中的药物定量监测提供参考。 1 材料与方法 1.1 仪 器 美国Beckman公司的5500型毛细管电泳仪, 配有紫外检测器(波长为200 nm), 486 微机及黄金软件; 石英毛细管空柱(河北永年光纤厂出品)为50 μm (ID), 长度分别为 67 、 47 和37 cm(有效分离长度分别为60、 40和30 cm)。 1.2 试 剂 苯妥英钠(PHT)、 苯巴比妥钠(PB)标准品为北京市神经外科研究所生化室提供。 十二
剂不能含有甲醇;2)不同的酮类化合物使用不同的标准品。可使用库仑法和容量法检测酮类产品,根据检测对象选择检测方法及适用试剂。 下面非活性羰基化合物可以使用含有甲醇的脱水溶剂(GEX/MS)直接滴定:对异丙基酮、樟脑、二苯酮、脱氧安息香、苄基、安息香、茜素、醌茜素、茚三酮。 其他物质,须使用酮类试剂。如下: 应用实例 1、容量法滴定 滴定剂:AQUAMICRON® Titrant SS-Z (or SS) 酮类脱水溶剂:AQUAMICRON ®
技术资料暂无技术资料 索取技术资料










