相关产品推荐更多 >
万千商家帮你免费找货
0 人在求购买到急需产品
- 详细信息
- 文献和实验
- 技术资料
- 保存条件:
冷藏
- 保质期:
长期
- 英文名:
Cattle encephalon glycoside ignotin
- 库存:
565
- 供应商:
北京百奥莱博科技有限公司
特别声明:本产品及我公司所售其他产品均为科研类试剂产品,严禁用于药物、医疗及其他非科研用途。
脑苷肌肽标准品打折促销是高品质的标准品对照品产品,由北京百奥莱博供应,用于科研实验,本产品质量好,且极具价格优势,深为用户称道,了解更多脑苷肌肽等标准品对照品产品请联系我司咨询订购。
名称:脑苷肌肽标准品打折促销
产地:国产|进口
英文名:Cattle encephalon glycoside ignotin
规格:2ml/支
品牌:百奥莱博
本品为脑苷肌肽化学对照品,供系统适用性试验用。
包装:白色安瓿
规格:2ml/支
储存条件:2~8℃保存
除脑苷肌肽标准品打折促销外,我公司正在打折促销以下产品:
硫*(代"酸")核糖霉素 HDBTU 53797-35-6
ARB13988 猪葡萄糖转运蛋白2(GLUT2)Elisa定量检测 Porcine glucose transporter 2,glut2 ELISA KIT
HEPES溶液(pH6.8-8.0,非无菌) 1mol/L 100ml|500ml
119-44-8 酵母粉 Yeast
BTN90212 高载量PCR片段纯化试剂盒 Maxi PCR Clean-Up Kit
硼*(代"酸")溶液 4mol/L 500ml
BTN130622 T4 RNA连接酶 1 T4 RNA Ligase 1
BL0883 兔抗狗IgG免疫血清 0.5ml
ARB11973 大鼠CXC趋化因子配体16(CXCL16)酶免分析 Rat cxc-chemokine ligand 16,cxcl16 ELISA KIT
BTN131019 无内毒素萤火虫荧光素 Endo-free Luciferin
ARB12691 大鼠凝血因子ⅩⅢ(FⅩⅢ)Elisa方法检测 Rat coagulation factor ⅩⅢ,fⅩⅢ ELISA KIT
磷酸二酯酶Ⅰ Span 80 9025-82-5
蔗糖磷酸化酶 TBA 9074-06-0
氧化型谷胱甘肽(GSSG)检测试剂盒(DTNB速率微板法) 100T
ARB10474 人白介素12(IL-12/P70)含量分析 Human interleukin 12,IL-12/p70 ELISA KIT
BTN130995 Cy3-dCTP溶液 Cy3-dCTP Solution
代谢性骨疾病固定液(pH7.35) 500ml
F030223 HRP标记兔抗猴IgG抗体 Rabbit Anti-monkey IgG*HRP
ARB12905 小鼠白介素18(IL-18)酶标法分析 Mouse interleukin 18,IL-18 ELISA KIT
4-乙*(代"烯")基*硼*(代"酸") (±)-Verapamil hydrochloride 2156-04-9
ARB12664 大鼠碱性成纤维细胞生长因子4(bFGF-4)Elisa定量检测 Rat basic fibroblast growth factor 4,bfgf-4 ELISA KIT
ARB12377 大鼠金属硫蛋白(MT)elisa检测操作说明书 Rat metallothionein,mt ELISA KIT
脑苷肌肽标准品打折促销关键词:Cattle encephalon glycoside ignotin,BP1922,脑苷肌肽
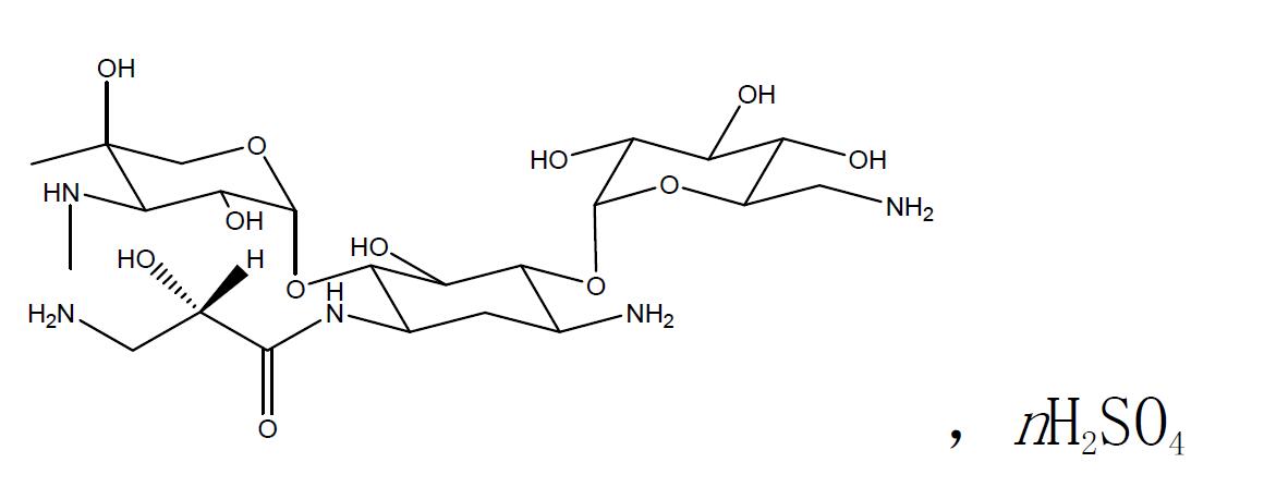
·异帕米星
编号:BP1714
英文名称:Isepamicin
规格:100mg/支
本品为异帕米星化学对照品,供高效液相含量测定用,含量以异帕米星(C22H43N5O12)计。
分子式:C22H43N5O12·nH2SO4(n≤2)
结构式:

包装:安瓿
装量:100mg/支
储存条件:置4℃以下条件低温保存。
·麝香草酚
编号:BP0394
英文名称:Thymol
规格:100毫克/支
本品为麝香草酚化学对照品,供含量测定用,使用前不需干燥处理,供GC法测定,按C10H14O计,含量为99.9%。
分子式:C10H14O
分子量:150.22
CAS号:89-83-8
包装:棕色西林瓶
规格:约100毫克/支
储存条件:遮光,密闭,10~30℃保存。
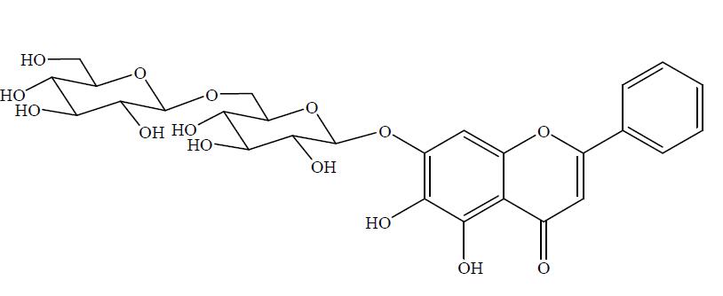
·木蝴蝶苷B
编号:BP1455
英文名称:Baicalein-7-O-diglucoside
规格:20mg/支
本品为木蝴蝶苷B化学对照品,供鉴别及含量测定用,含量以91.9%计,使用前不需干燥处理。
CAS号:114482-86-9
分子式:C27H30O15
分子量:594.16
结构式:

包装:棕色安瓿瓶
规格:约20mg/支
储存条件:冷处(2-10℃)保存
·妥布霉素
编号:BP1566
英文名称:Tobramycin
规格:100mg
本品为妥布霉素标准品,供抗生素微生物效价测定用,使用前不需干燥处理。
CAS号:32986-56-4
分子式:C18H37N5O9
分子量:467.52
结构式:

包装:白色安瓿
规格:约100毫克/支
储存条件:2-8℃保存
·枸橼酸
编号:BP0313
英文名称:Citric Acid
规格:200毫克/支
本品为枸橼酸化学对照品,供含量测定用。105℃干燥2小时后使用。按C6H8O7计,含量为100.0%。
CAS号:77-92-9
分子式:C6H8O7
分子量:192.12
包装:棕色西林瓶。
规格:约200毫克/支。
储存条件:遮光,密闭,10~30℃保存。
注意事项:本品高湿度易潮解,建议环境RH70%以下一次性使用完毕。
脑苷肌肽标准品打折促销关键词:Cattle encephalon glycoside ignotin,BP1922,脑苷肌肽
我公司始终坚持“创新,品质,服务,节约,敬业,感恩”的理念。吸收新创意,严把质量关口,全方位的服务跟踪,坚持做出高品质产品。本着“追求、员工、技术、精神、利益”的宗旨。现拥有一批精干的管理人员和一支高素质的专业技术队伍。我们以质量为生命、时间为信誉、价格为竞争力的经营信念,立足于国内外市场。目前已在全国各大院系,和研究单位均有销*(代"售"),也得到了客户的认可。百奥莱博生产的脑苷肌肽等试剂进入飞速发展期,为了更好的服务客户,公司长期储备海量库存,以此助推中国科技的快速发展,更好的造福人类!
BTN70702 分枝杆菌DNAOUT Myco DNAOUT
肉桂酸 Azlocillin sodiu*(代"m") 140-10-3
乙酸*溶液(3mol/L,pH5.6,RNase free) 500ml
3-*丙胺*化* Fmoc-Gly-OH 5003-71-4
PC3301 2 x SYBR Green qPCR Mix (Sybr green荧光染料法定量PCR)
DN3701 海洋动物组织基因组DNA快速提取试剂盒
ARB10110 人ICE蛋白酶激活因子(IRAP)含量分析 Human ice protease-activating factor,irap ELISA KIT
ARB13562 兔子可溶性P选择素(sP-Selectin)Elisa方法检测 Rabbit soluble P-Selectin,sP-Selectin ELISA KIT
CYB162023 兔抗鸡IgG(抗血清) 0.5ml
F030442 胶体金标记小鼠抗鸭IgY(IgG)抗体 Monoclonal Mouse Anti-Duck IgY*GOLD
miRNA cDNA第一链合成试剂盒
ARB10544 人半胱*酰白三烯(CysLTs)elisa测定使用说明书 Human cysteinyl leukotrienes,cyslts ELISA KIT
PY02-306 5%乳糖培养基 250克
*甲*(代"酚")绿-甲基红指示剂 100ml
F030205 HRP标记山羊抗小鼠IgG抗体 Goat Anti-Mouse IgG*HRP
脑苷肌肽上架一个月之内参与新品促销活动,新老客户订购此产品均可享受会员优惠,若您是我们的诚信会员,还可享受我司的VIP专线服务与优惠,欢迎来电咨询、订购您所需产品。
我公司立足北京,辐射全国。随着产品战略的不断延伸,产品理念的不断完善,百奥莱博将逐步成长为一流的生化试剂供应商,并一如既往的为您提供优质的脑苷肌肽和完善的售后服务,与您一起携手整合各自的优势资源,竭尽全力支持您的事业,为中国生命科学的发展贡献一份力量。
我公司正在优惠促销标准品对照品等系列产品,期待您的咨询选购脑苷肌肽标准品打折促销。
风险提示:丁香通仅作为第三方平台,为商家信息发布提供平台空间。用户咨询产品时请注意保护个人信息及财产安全,合理判断,谨慎选购商品,商家和用户对交易行为负责。对于医疗器械类产品,请先查证核实企业经营资质和医疗器械产品注册证情况。
文献和实验近几年,从科学研究到临床检测,从「非洲猪瘟」检测到「新冠病毒」检测,荧光定量 PCR 仪器已成为分子生物学研究的常规设备。检测方法的迅速发展,检测任务的紧急也对检测人员提出了更高的要求,需要他们具备熟练判断数据结果的能力。对于荧光定量 PCR 的结果的判断,最直观的判断就是看扩增曲线是否正常。很多老师在平时实验中会遇到异常扩增曲线的困扰,比如打折的扩增曲线、复孔间重复性不好、阴性样本扩增曲线抬升等。面对异常的扩增曲线,大家也不用担心,接下来我们会结合几个实例,带着大家一起来看一下比较常见的异常
回收试剂盒,用抽滤的方法替代离心,使得实验可以连续进行,特别适合批量进行的需要――想象看,你只要将溶胶液加入装配好的抽滤管中,哗一下就抽干了,再加洗涤的试剂,哗一下又好了,多快呀!节约很多时间和功夫,不需要在离心机前面拿进拿出。以后的全自动操作模式就是这样的啦! 看到这里可能大家都会说Qiagen的东西好是好,但是就是贵,一般的实验室都舍不得平时用,往往留着关键时刻做,不错,好东西自然不便宜,不过他们有时候也会打折促销。
我最近在网上看到有公司在ELISA试剂盒的促销,好划算啊 我想把这个好消息,好资源与大家分享 几年来,博士德的ELISA试剂盒以优良的品质、卓越的性价比和良好的售后服务受到广大科研工作者的青睐。更因其品种齐全、操作简单、检测时间短、所需样品少而成为细胞因子检测的经典产品。公司生产的近270多种 ELISA 试剂盒,涉及分子生物学、分子免疫学、细胞生物学等生命科学研究的各个领域。公司总部位于武汉,代理商经销商遍及全国各地,形成了覆盖全国的有效服务网络,训练有素的专业人员能为客户提供技术
技术资料暂无技术资料 索取技术资料










