相关产品推荐更多 >
万千商家帮你免费找货
0 人在求购买到急需产品
- 详细信息
- 文献和实验
- 技术资料
- 保存条件:
室温
- 保质期:
长期
- 英文名:
Complanatoside A
- 库存:
749
- 供应商:
北京百奥莱博科技有限公司
- CAS号:
146501-37-3
特别声明:本产品及我公司所售其他产品均为科研类试剂产品,严禁用于药物、医疗及其他非科研用途。
百奥莱博公司致力于为全国科研单位提供药典标准品、对照品、标准溶液、标准样品、对照培养基、国家标准品等可靠标准物质,其中北京现货沙苑子苷A对照品品牌的品质过硬,在广大科研人员中有口皆碑!
名称:北京现货沙苑子苷A对照品品牌
英文名:Complanatoside A
产地:国产|进口
品牌:百奥莱博
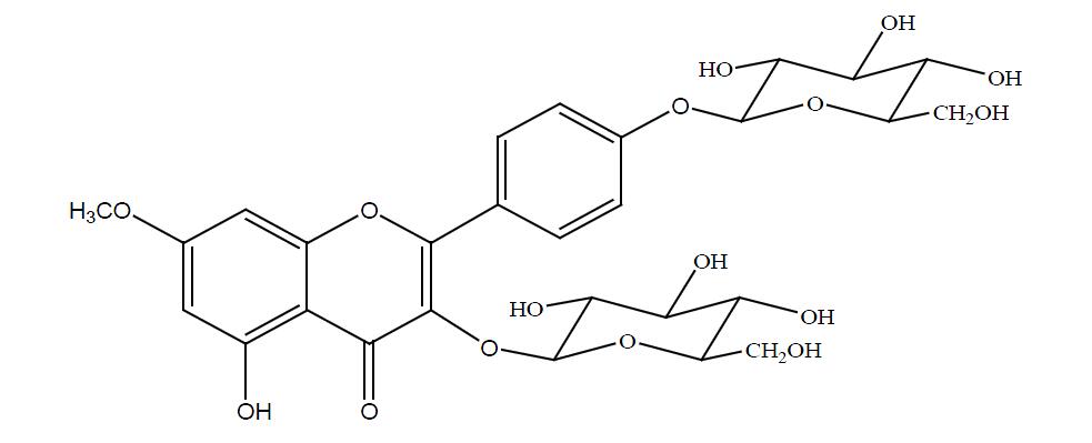
本品为沙苑子苷A化学对照品,供鉴别和含量测定用,含量以97.6%计,使用前不需干燥处理。
CAS号:146501-37-3
分子式:C28H32O16
分子量:624.54
结构式:

包装:棕色安瓿
装量:约20mg/支
储存条件:常温贮存
北京现货沙苑子苷A对照品品牌正在火爆热销,除此之外,为您推荐下别热销产品:
·盐*(代"酸")*西汀杂质 C
编号:BP0595
英文名称:Fluoxetine Hydrochloride Impurity C
规格:10mg
·6,7-二甲氧基香豆素
编号:BP1331
英文名称:6,7-dimethoxycoumarin
规格:20mg
·异鼠李素
编号:BP1136
英文名称:Isorhamnetin
规格:20mg/支
本品为异鼠李素化学对照品,供鉴别或含量测定用,含量以99.8%计,使用前不需干燥处理。
CAS号:480-19-3
分子式:C16H12O7
分子量:316.26
结构式:

包装:棕色安瓿瓶
规格:约20mg/支
储存条件:冷处(2-10℃)保存
·阿德福韦酯杂质(阿德福韦)
编号:BP0966
英文名称:Adefovir Dipivoxil Impurity (Adefovir)
规格:50mg/支
本品为阿德福韦酯杂质化学对照品,供检查用,使用前不需干燥处理。供HPLC法检查,以C8H12N5O4P计,含量为100%。
CAS号:106941-25-7
分子式:C8H12N5O4P
分子量:273.19
规格:约50mg/支
储存条件:遮光,密闭,2~8℃保存
·薯蓣皂苷元
编号:BP1193
英文名称:Diosgenin
规格:20mg
本品为薯蓣皂苷元化学对照品,供鉴别或含量测定用。
分子式:C27H42O3
分子量:414.63
结构式:

包装及装量:棕色瓶。
储存条件:干燥密闭保存。
注意事项:置五氧化二磷减压干燥器中干燥12小时后使用。
·D-核糖
编号:BP1816
英文名称:D-Ribose
规格:50mg
本品为D-核糖化学对照品,含量为99.6%,供转移因子含量测定用。
CAS号:50-69-1
分子式:C5H10O5
分子量:150.13
结构式:

包装及装量:2ml棕色西林瓶扎铝盖,50mg/瓶。
储存条件:常温保存。
注意事项:使用前不需干燥处理。
北京现货沙苑子苷A对照品品牌关键词:沙苑子苷A,146501-37-3,Complanatoside A
我公司依托国内外技术研发人才的优势,公司的销*(代"售")额保持高速增长,企业规模不断扩大,拥有专业的技术研发团队,长期致力于ELISA试剂盒、生物试剂(包括)的研发,为客户提供引物设计与合成、免疫组化、PCR定量服务等一系列实验代测服务。
ARB14185 小鼠糖皮质激素(GC)ELISA检测服务
ARB10317 人中性粒细胞弹性蛋白酶(NE)elisa检测说明书 Human neutrophil elastase,ne ELISA KIT
ARB14204 小鼠组蛋白H3(Histone-H3)检测服务
ARB11034 人妊娠特异性β1糖蛋白(SP1/PSβ1-G)酶联免疫定量检测 Human pregnancy specificβ1glycoprotein,sp1/psβ1-g ELISA KIT
ARB11978 大鼠D-乳酸免费代测 Rat d-lactate dehydrogenase,d-ldh ELISA KIT
ARB12168 大鼠白介素32(IL-32)ELISA代测服务 Rat interleukin 32,IL-32 ELISA KIT
ARB13258 小鼠嗜酸粒细胞趋化因子(ECF)elisa测定使用说明书 Mouse eosinophil chemotactic factor,ecf ELISA KIT
硫*(代"酸")酯酶 Sodium taurocholate hydrate 9016-17-5
BTN100807 杜氏PBS溶液,10× Dulbecco PBS Buffer,10×
ARB12155 大鼠白介素1β(IL-1β)尿液中含量检测 Rat interleukin 1β,IL-1β ELISA KIT
ARB12601 大鼠基质溶素(MAT)代做ELISA实验 Rat matrilysin,mat ELISA KIT
BL0950 胶体金标记羊抗人IgM(a链特异)抗体
ARB12582 大鼠烟酰胺腺嘌呤二核苷酸磷酸(NADPH)Elisa方法检测 Rat nicotinamide adenine dinucleotide phosphate,NaDPH ELISA KIT
ARB11114 人乳腺癌易感蛋白2(BRCA-2)含量检测 Human breast cancer susceptibility protein 2,brca-2 ELISA KIT
BL0827 HRP标记兔抗Dig抗体
ARB10532 人鸟*酸*基甲酰转移酶(OCT)elisa测定使用说明书 Human ornithine carbamoyl transferase,oct ELISA KIT
BTN100604 鲑鱼精DNA溶液 Salmon Sperm DNA Solution
比布里希猩红 Eugenol 4196-99-0
ARB11447 人破骨细胞分化因子(ODF)尿液中含量检测 Human osteoclast differentiation factor,odf ELISA KIT
北京现货沙苑子苷A对照品品牌关键词:沙苑子苷A,146501-37-3,Complanatoside A
我公司为您您提供沙苑子苷A相关的所有信息,如:第二名称、CAS号、规格、熔点、MSDS、用途、作用、毒性、价格等。规格包装,现货供应,极速发货,实验即可安排,试剂随叫随到,无需等待!
BL0804 山羊IgG抗原干粉(原装)
BTN130828 DNA去磷酸化试剂盒 DNA Dephosphorylation Kit
(不需DNA酶消化)"
CYB167065 兔抗狗IgG
普鲁兰糖 1-Thioglycerol 9057-02-7
HC0022 96孔PCR板
ARB10376 人甘露糖受体(MR)elisa检测说明书 Human mannose receptor,mr ELISA KIT
PY08-060 3%*化*碱性蛋白胨水(APW) 225ml 20瓶/箱,用于副溶血性弧菌增菌培养
ARB13183 小鼠胰岛素自身抗体(IAA)含量分析 Mouse insulin autoantibodies,iaa ELISA KIT
ARB12136 大鼠甲种胎儿球蛋白/甲胎蛋白(AFP)ELISA检测服务 Rat alpha-fetoprotein,afp ELISA KIT
胶原酶 Sephadex G-10 9001-12-1
CYB164030 兔抗牛IgG(1:500~1000)-HRP
F030410 胶体金标记山羊抗小鼠IgM抗体 Goat Anti-Mouse IgM*GOLD
BTN131101 生物素化蛋白L Biotin-Protein L
ARB13940 猪*-葡萄糖共转运载体1(SGLT1)酶联免疫定量检测 Porcine sodiu*(代"m")-glucose cotransporter 1,sglt1 ELISA KIT
BL1340 PH计电极保存液
N-乙基-N-(3-磺丙基)-3-甲基**(代"胺")*盐 Ethyl cellulose 40567-80-4
BL1303 BSA标准品(5mg/ml)
PY02-342 改良EC培养基基础 250克
9032-75-1 Snailase 蜗牛酶
我公司是一家生物高新技术企业,主要从事免疫学、分子生物学和常规生化试剂的研发、销*(代"售")。致力于为广大高校、科研院所和企事业单位提供一流的科研试剂和完善的技术服务,满足生物化学、分子生物学 、沙苑子苷A、细胞生物学、免疫学ELISA试剂盒等生物科技实验需求。我们诚以100%的热情换您100%的满意!
北京百莱博科技有限公司专业生产标准品对照品产品,欢迎来电咨询选购北京现货沙苑子苷A对照品品牌。
风险提示:丁香通仅作为第三方平台,为商家信息发布提供平台空间。用户咨询产品时请注意保护个人信息及财产安全,合理判断,谨慎选购商品,商家和用户对交易行为负责。对于医疗器械类产品,请先查证核实企业经营资质和医疗器械产品注册证情况。
文献和实验受的时候是做p21抗体,整整半年,从丁香园淘了五个品牌的抗体,都做不出来。最后逼着导师买cst的抗体,还是不出,那时候正好是2008年雪灾,抗体在公路上走了半个月,我收到抗体是大年初二,兴奋地上样,转膜,还是没有,当时我感觉自己就好像浸没在冰窖里。宿舍里暖气不好,第二天我起床时,房子里的洗脸水都已结冰,和我的心绪一模一样。好在上海吉泰是一级代理,让我投诉,cst美国总部发回来他们的蛋白阳性对照品,再试,p21出来了,技术支持是个印度人,一眼就看出来我没有用超声波裂解。我们实验室没有这个东东,我怎么就想不到
师妹们。 Biorad的一套系统得两万多,西部能玩得起伯乐的还真不多。好在咱中国人聪明,上海天能的外观和构造和伯乐的MINI3几乎一模一样,而且可以通用,不带电泳仪 是5千多一套,挺好用的。唯一的不足是塑料寿命不如伯乐,胶架容易断裂。不过仔细算算,三套天能也就是一套伯乐的价格,值了。北京六一的垂直槽很转移槽很好用,但垂直槽配胶不方便,玻板太厚,散热不好,但能用,六一的电泳仪(电源)还是很好用的。 3、Western Blot实验条件 Western Blot实验条件我基本
是有疲劳寿命的,估计日子一长,弹性就会改变,所以如果你们实验室刚买了MINI4,赶紧用,遭殃的肯定是某一级的师弟师妹们。 Biorad的一套系统得两万多,西部能玩得起伯乐的还真不多。好在咱中国人聪明,上海天能的外观和构造和伯乐的MINI3几乎一模一样,而且可以通用,不带电泳仪是5千多一套,挺好用的。唯一的不足是塑料寿命不如伯乐,胶架容易断裂。不过仔细算算,三套天能也就是一套伯乐的价格,值了。北京六一的垂直槽很转移槽很好用,但垂直槽配胶不方便,玻板太厚,散热不好,但能用,六一的电泳仪(电源
技术资料暂无技术资料 索取技术资料










