相关产品推荐更多 >
万千商家帮你免费找货
0 人在求购买到急需产品
- 详细信息
- 文献和实验
- 技术资料
- 保存条件:
2-10℃
- 保质期:
长期
- 英文名:
Deoxyschizandrin
- 库存:
373
- 供应商:
北京百奥莱博科技有限公司
- CAS号:
61281-38-7
特别声明:本产品及我公司所售其他产品均为科研类试剂产品,严禁用于药物、医疗及其他非科研用途。
五味子甲素标准品价格厂家由专业试剂供应商北京百奥莱博提供,用于生化研究,本产品质量好,且极具价格优势,深为用户称道,了解更多五味子甲素等标准品对照品产品请联系我司咨询订购。
名称:五味子甲素
规格:20mg/支
品牌:百奥莱博
编号:BP1061
产地:国产|进口
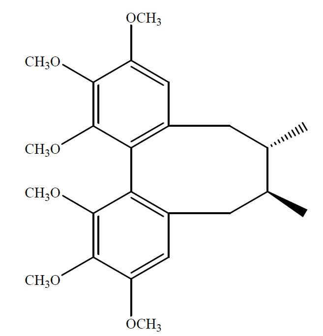
本品为五味子甲素化学对照品,供薄层鉴别及含量测定用,使用前不需干燥处理,含量以99.3%计。
CAS号:61281-38-7
分子式:C24H32O6
分子量:416.50
结构式:

包装:棕色安瓿瓶
装量:约20mg/支
储存条件:冷处(2-10℃)保存
关键词:五味子甲素,61281-38-7,Deoxyschizandrin
五味子甲素标准品价格厂家正在火爆热销,除此之外,为您推荐下别热销产品:
| 编号 | 名称 |
| BP0814 | 二甘醇 |
| BP0742 | *丁美酮 |
| BP0865 | 金刚烷 |
| BP1598 | 头孢哌酮S异构体 |
| BP1499 | 4-萜品醇 |
| BP2153 | 甲醚化双环醇(双环醇杂质II) |
| BP1151 | 土荆皮乙酸 |
| BP0332 | 盐*(代"酸")异丙嗪 |
| BP0472 | 三*双脒 |
| BP1986 | 蛋黄磷脂酰胆碱 |
| BP2192 | 二乙*基前他达拉非 |
| BP0793 | 磷酸奥司他韦 |
| BP0021 | 格隆*铵 |
| BP0455 | 异丁司特 |
| BP0589 | 替尼泊苷前体 |
| BP1600 | 3-甲酰利福霉素SV |
| BP1645 | 头孢克洛δ-3异构体 |
| BP1188 | 岩白菜素 |
| BP0875 | 呫吨酮 |
| BP0804 | 2,3-二甲基**(代"胺") |
| BP1518 | 甲基氧化偶氮甲醇樱草糖苷 |
| BP1836 | 盐*(代"酸")组*酸 |
| BP1489 | 丝石竹皂苷元-3-O-β-D-葡萄糖醛酸甲酯 |
| BP0976 | 盐*(代"酸")曲美他嗪杂质(六水哌*(代"嗪")) |
| BP1723 | 环丙沙星杂质I |
| BP0134 | 盐*(代"酸")左旋咪唑 |
| BP1375 | 紫苏醛 |
| BP0316 | 盐*(代"酸")*己定 |
| BP0129 | 盐*(代"酸")丙米嗪 |
| BP0433 | 昔*酸沙美特罗 |
| BP0146 | 布洛芬 |
| BP0691 | 盐*(代"酸")*哌噻吨 |
| BP0904 | 美他沙酮 |
| BP0551 | 非洛地平 |
| BP1075 | 黄芪甲苷 |
| BP0378 | 盐*(代"酸")拉贝洛尔 |
| BP1734 | 利福昔明杂质A |
| BP1672 | **西林 |
| BP0510 | *诺昔康 |
| BP2023 | 聚甲丙*(代"烯")酸铵酯I |
| BP1048 | 贝母素乙 |
| BP1814 | 辅酶A |
| BP1703 | 头孢尼西 |
| BP0511 | 盐*(代"酸")关附甲素 |
风险提示:丁香通仅作为第三方平台,为商家信息发布提供平台空间。用户咨询产品时请注意保护个人信息及财产安全,合理判断,谨慎选购商品,商家和用户对交易行为负责。对于医疗器械类产品,请先查证核实企业经营资质和医疗器械产品注册证情况。
文献和实验一.目的要求 1掌握薄层荧光法的原理及操作。 2掌握薄层色谱法在中药制剂鉴别中的应用。 二.基本原理 更年安片由地黄、泽泻、五味子、制何首乌等药味组成,可利用薄层色谱法对五味子和制何首乌进行鉴别。五味子中主要有效成分为木脂素类,五味子甲素为其主要有效成分之一,可吸收UV光,在硅胶GF 254 薄层板上形成暗斑,用对照药材和对照
本文主要介绍 ELISA 试剂盒、实验样本、相关问题,帮助大家更好地开展实验 试剂盒 Q1:科研试剂盒与临床试剂盒的区别 ? A1:临床试剂是经过权威机构认可的,如 FDA、CFDA 等;而科研试剂一般是厂家自主研制,不需要通过权威机构验证。 经营临床诊断类产品的机构需要取得《医疗器械经营企业许可证》;经营科研试剂的机构不需要此证件。 临床试剂盒一般仅用于检测人血清/血浆等较为单一的分泌性样本类型;科研试剂盒的样本检测种类、检测范围则比临床试剂盒宽广得多。但一般来说,临床试剂盒的质量
大鼠 骨桥素(OPN ) 酶联免疫分析(ELISA ) 试剂盒使用说明书 本试剂仅供研究使用 目的:本试剂盒用于测定大鼠血清,血浆及相关液体样本 中 骨桥素(OPN ) 的 含量。 实验原理: 本试剂盒应用双抗体夹心法测定标本中 大鼠 骨桥素(OPN ) 水 平。用纯化的 大鼠 骨桥素(OPN ) 抗体 包被微孔板,制成固相抗体,往包被单抗的微孔中依次加入 骨桥素(OPN ) ,再与 HRP 标记
技术资料暂无技术资料 索取技术资料










