相关产品推荐更多 >
万千商家帮你免费找货
0 人在求购买到急需产品
- 详细信息
- 文献和实验
- 技术资料
- 库存:
929
- 英文名:
Naproxen Sodium
- 保质期:
长期
- 供应商:
北京百奥莱博科技有限公司
- 保存条件:
遮光、10~30℃
特别声明:本产品及我公司所售其他产品均为科研类试剂产品,严禁用于药物、医疗及其他非科研用途。
北京百奥莱博公司供应包括*普生*对照品打折促销在内的化学标准品,化学对照品,杂志对照品,HPLC标准品,UV标准品等高品质标准品、对照品
名称:*普生*对照品打折促销
英文名:Naproxen Sodium
规格:100mg/支
产地:国产|进口
品牌:百奥莱博
本品为*普生*的化学对照品,105℃干燥2小时后使用,供UV法含量测定用,按C14H13NaO3计,含量为100.0%。
分子式:C14H13NaO3
结构式:

分子量:252.25
包装:棕色西林瓶
规格:约100毫克/支
储存条件:遮光、10~30℃干燥处密闭保存。
注意事项:本品有引湿性,建议RH50%以下使用。
我公司的*普生*对照品打折促销,性价比高,货期短,送货上门,欢迎您来电咨询购买,另外,我公司还生产供应销*(代"售")下列产品:
BL1389 SABC兔IgG-FITC kit
ARB13143 小鼠总胆固醇(TC)ELISA检测服务
BL1176 研磨杵(研磨棒)
F030618 FITC标记兔抗猪IgG抗体 Rabbit Anti-Pig IgG*FITC
4197-25-5 Sundan BlackB 苏丹黑B
Taq Plantinum PCR MasterMix
F030437 胶体金标记山羊抗人IgG FC抗体 Polyclonal Goat Anti-Human IgG FC*GOLD
ARB10113 人I型胶原蛋白(COL-1)Elisa方法检测 Human collagen type i,col-1 ELISA KIT
ARB13353 牛布病(BrucellosIs)含量分析
BTN130509 磁珠血液DNAOUT MAG Blood DNAOUT
D-酒石酸 Berberine chloride hydrate 147-71-7
ARB10969 人免疫球蛋白G Fc段受体I(FcγRI/CD64)血清中含量检测 Human receptorifor the fc region of immunoglobulin g,fcγri ELISA KIT
TEN缓冲液(1×,pH7.2) 500ml
F030435 胶体金标记山羊抗鸡IgY IgG抗体 Polyclonal Goat Anti-Chicken IgY(IgG)*GOLD
ARB14213 鹅白细胞介素6(IL-6)酶免分析
PY01-139 胎牛血清 200克
组蛋白A(小牛胸腺) TAME 9064-47-5
*普生*对照品打折促销关键词:*普生*,BP0265,Naproxen Sodium
·盐*(代"酸")奥昔布宁
编号:BP0423
英文名称:Oxybutynin Hydrochloride
规格:100mg
·哌喹
编号:BP0747
英文名称:Piperaquine
规格:100mg
·烟酸
编号:BP0342
英文名称:Nicotinic Acid
规格:100mg/支
本品为烟酸化学对照品,供含量测定用,使用前不需干燥处理。按C6H5NO2计,含量为99.8%。
分子式:C6H5NO2
分子量:123.11
CAS号:59-67-6
包装:棕色西林瓶装。
装量:约100毫克/支。
储存条件:遮光密闭,10~30℃干燥处保存。
·甲基橙皮苷
编号:BP1222
英文名称:Methyl Hesperidin
规格:50mg
本品为烟酸化学对照品,供含量测定用,使用前不需干燥处理。按C6H5NO2计,含量为99.8%。
分子式:C6H5NO2
分子量:123.11
CAS号:59-67-6
包装:棕色西林瓶装。
装量:约100毫克/支。
储存条件:遮光密闭,10~30℃干燥处保存。
·α-*甘*酸
编号:BP1601
英文名称:α-Phenylglycine
规格:50mg
本品为α-*甘*酸标准品,供头孢*苄品种有关物质测定用。含量按α-*甘*酸C8H9NO2计。
使用方法:精密称取本品适量,按相关质量标准的规定,溶解并稀释至所需浓度的溶液,立即使用。
储存条件:置 5℃以下低温避光保存。开启安瓿后严密保持干燥,以防吸水。
注意事项:使用前不需干燥处理。
·卡莫*
编号:BP0283
英文名称:Carmofur
规格:100mg
本品为卡莫*的化学对照品,供HPLC法含量测定用,按C11H16FN3O3计,含量为99.8%。
分子式:C11H16FN3O3
分子量:257.26
CAS号:61422-45-5
包装及装量:棕色小瓶装,每支约100毫克。
储存条件:遮光,充氩气,密封保存。
注意事项:对照品溶液临用新制。
*普生*对照品打折促销关键词:*普生*,BP0265,Naproxen Sodium
*普生*怎样保存?
一般试剂可保存在玻璃瓶内; 对玻璃有强烈腐蚀作用的试剂,如**酸、*氧化*应保存在聚乙*(代"烯")塑料瓶内; 易被空气氧化、分化、潮解的试剂应密封保存;易感光分解的试剂应用有色玻璃瓶贮存并藏于暗处; 易受热分解及低沸点溶剂,应存于冷处; 剧毒试剂应存于保险箱; 有放射性的试剂应存于铅罐中。如果化学试剂保管不当,就会失效变质,影响实验的效果,并造成物质的浪费,甚至有时还会发生事故。因此,科学地保管好试剂对于保证实验顺利进行,获得 可靠的实验数据具有非常重要的意义。
·N-甲基帕罗西汀
编号:BP0833
英文名称:N-Methylparoxetine
规格:50mg
·利福昔明
编号:BP1685
英文名称:Rifaximin
规格:100mg
本品为利福昔明化学对照品,供含量测定用,含量以利福昔明C43H51N3O11计,使用前不需干燥处理。
CAS号:80621-81-4
分子式:C43H51N3O11
分子量:785.89
结构式:

包装:棕色安瓿
规格:约100毫克/支
储存条件:2-8℃保存
·矛头蝮蛇血凝酶标准品
编号:BP1914
英文名称:Hemocoagulase Bothrops Atrox
规格:101单位/瓶
本品为矛头蝮蛇血凝酶标准品,供效价测定用。本品效价为101单位/瓶,开封后一次性使用。
包装:2ml白色西林瓶
规格:101单位/瓶
储存条件:-20℃保存
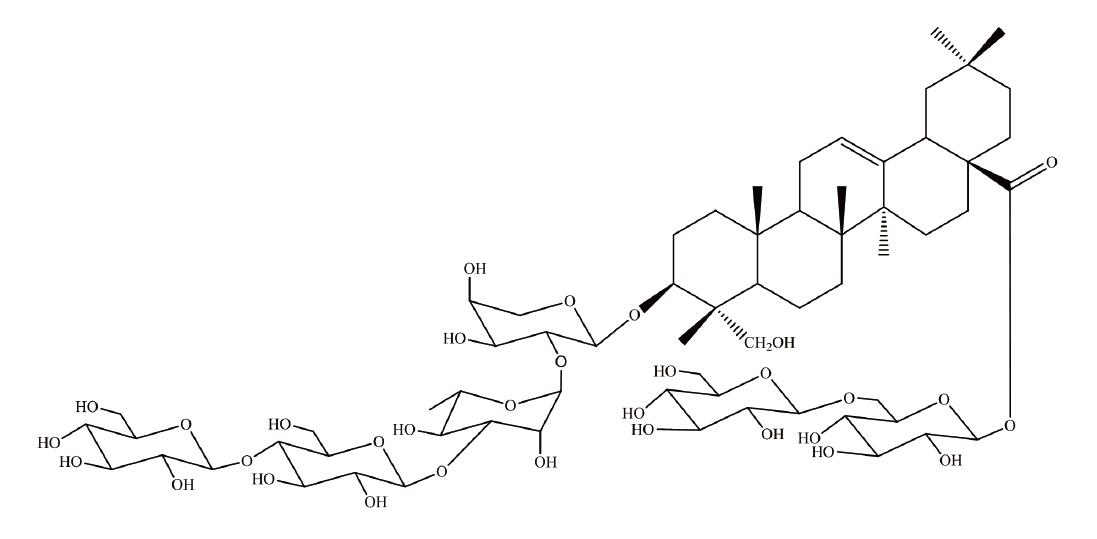
·灰毡毛忍冬皂苷乙
编号:BP1383
英文名称:Macranthoidin B
规格:20mg/支
本品为灰毡毛忍冬皂苷乙化学对照品,供含量测定用,含量以94.4%计,使用前不需干燥处理。
CAS号:136849-88-2
分子式:C65H106O32
分子量:1399.52
结构式:

包装:棕色安瓿瓶
规格:约20mg/支
储存条件:冷冻(-20℃)保存
注意事项:本品具有引湿性,建议打开包装一次性使用完。
·大豆磷脂酰胆碱
编号:BP1985
英文名称:Soybean phosphatidylcholine
规格:50mg/支
本品为大豆磷脂酰胆碱化学对照品,供大豆磷脂和大豆磷脂含量测定用,含量以92.5%计。
CAS号:8002-43-5
结构式:

R1, R2 为脂肪酸链
包装:棕色安瓿装。
规格:约50mg/瓶。
储存条件:遮光,密闭,于-20℃保存。
我公司专业供应高品质 elisa试剂盒,血清,抗体,培养基,标准品,*普生*,生物试剂,实验耗材,公司位于北京市海淀区,是一家专业从事“产品研发生产、市场销*(代"售")、技术服务”为一体的高科技生物技术公司。
我公司提供多种购买方式:登陆网站联*(代"系")客服查询!(您可通过电话/传真/QQ/邮件等方式咨询,订购或索取*普生*最新报价)
我们专业供应科研试剂多年,品质保证 售前,售中,售后服务一条*(代"龙"),无效果、免费退换。您只需告诉我们您的需要或要求,我们的客户服务代表将会给您提供专业的咨询和解答。优质服务让您更省心,更舒心,更放心。敬请关注!
北京百莱博科技有限公司是标准品对照品产品的专业生产供应销*(代"售")商,恭候您的咨询选购*普生*对照品打折促销。
风险提示:丁香通仅作为第三方平台,为商家信息发布提供平台空间。用户咨询产品时请注意保护个人信息及财产安全,合理判断,谨慎选购商品,商家和用户对交易行为负责。对于医疗器械类产品,请先查证核实企业经营资质和医疗器械产品注册证情况。
文献和实验回收试剂盒,用抽滤的方法替代离心,使得实验可以连续进行,特别适合批量进行的需要――想象看,你只要将溶胶液加入装配好的抽滤管中,哗一下就抽干了,再加洗涤的试剂,哗一下又好了,多快呀!节约很多时间和功夫,不需要在离心机前面拿进拿出。以后的全自动操作模式就是这样的啦! 看到这里可能大家都会说Qiagen的东西好是好,但是就是贵,一般的实验室都舍不得平时用,往往留着关键时刻做,不错,好东西自然不便宜,不过他们有时候也会打折促销。
技术资料暂无技术资料 索取技术资料









